Electrical Engineering (EE) Exam  >  Electrical Engineering (EE) Notes  >  Control Systems  >  Polar Plots - Control Systems - Electrical Engineering (EE)

Polar Plots - Control Systems - Electrical Engineering (EE)

Polar plot is a graphical representation of the frequency response of a linear time-invariant system obtained by plotting the complex value of the open-loop transfer function G(jω) (or G(jω)H(jω)) in polar coordinates as the angular frequency ω varies from zero to infinity. The polar form of the frequency response is

G(jω)H(jω) = |G(jω)H(jω)| ∠ G(jω)H(jω)

Definition and basic idea

Polar plot of a sinusoidal transfer function is the locus of points whose radial coordinate equals the magnitude |G(jω)| and whose angular coordinate equals the phase ∠G(jω), for ω varying from 0 to . Each plotted point therefore gives both the magnitude and the phase of the frequency response at a particular frequency.

Polar sheet and interpretation

The polar plot is drawn on a polar sheet (polar graph paper) made of concentric circles and radial lines.

  • The concentric circles represent magnitude values.
  • The radial lines represent phase angles measured about the reference (0°) axis.
  • Each point on the polar plot simultaneously indicates the magnitude and the phase of the complex frequency response at a given ω.
Polar Graph SheetPolar Graph Sheet

MULTIPLE CHOICE QUESTION

Try yourself: Polar plot of sinusoidal transfer function is a plot of:

A

magnitude and phase angle

B

magnitude versus frequency

C

phase angle versus frequency

D

none of the above

Example of polar plotting conventions

Polar sheet and interpretation
  • Positive phase angles are measured anti-clockwise from the 0° reference axis; negative phase angles are measured clockwise.

Complex representation and separation

The frequency response in rectangular form is

G(jω) = GR(jω) + j GI(jω)

  • GR(jω) is the real part of G(jω).
  • GI(jω) is the imaginary part of G(jω).

Note: The polar plot is drawn as ω varies from 0 to ∞. Do not confuse a polar plot with a Nyquist plot: the Nyquist plot is the extension of the polar plot obtained by plotting the frequency response for ω from -∞ to +∞ (or by appending the symmetric negative-frequency locus to the positive-frequency polar locus).

Advantages and limitations

  • Advantage: A polar plot shows the entire frequency response (magnitude and phase) on a single curve for ω from 0 to ∞.
  • Limitation: Because the response is plotted as a single locus, the separate contributions of individual factors (poles, zeros, gains) in the open-loop transfer function are not explicitly separated on the plot; they must be inferred by analysis.

Simple factors: integrator and differentiator

The integrator and differentiator have characteristic loci on the imaginary axis.

  • Integrator: G(s) = 1/s. With s = jω, G(jω) = 1/(jω). This corresponds to a point on the negative imaginary axis (phase -90°) with magnitude ∝ 1/ω.
  • Differentiator: G(s) = s. With s = jω, G(jω) = jω. This corresponds to a point on the positive imaginary axis (phase +90°) with magnitude ∝ ω.

Effect of adding a pole or a zero

  • The addition of a single pole (first-order factor in the denominator) tends to rotate the end of the polar locus by about -90° as frequency increases from 0 to ∞.
  • The addition of a single zero (first-order factor in the numerator) tends to rotate the end of the polar locus by about +90° as frequency increases from 0 to ∞.

Type and order of the system and their effect on start and end angles

The system type (number of integrators or poles at the origin) determines the behaviour of the polar plot as ω → 0 (the start of the locus). The order (total number of poles) determines the net rotation of the plot as ω → ∞ (the end of the locus). Illustrations of start and end quadrants for various pole configurations are commonly used to anticipate locus direction.

Type and order of the system and their effect on start and end angles

Order of the system determines the quadrant where the polar plot ends; the final angle is the sum of contributions from all poles and zeros as ω → ∞.

Type and order of the system and their effect on start and end angles

Procedure to sketch a polar plot

  1. Determine the open-loop transfer function G(s).
  2. Substitute s = jω to obtain G(jω).
  3. Evaluate the magnitude |G(jω)| at ω = 0 and ω → ∞ to find the start and end radii of the locus.
    Procedure to sketch a polar plot
    Procedure to sketch a polar plot
  4. Evaluate the phase ∠G(jω) at ω = 0 and ω → ∞ to find the start and end angles.
    Procedure to sketch a polar plot 
    Procedure to sketch a polar plot
  5. Algebraically separate the real and imaginary parts of G(jω) by rationalising, so that G(jω) = GR(ω) + j GI(ω).
  6. Find frequencies where the imaginary part is zero (GI(ω) = 0). These ω give points where the locus intersects the real axis. Compute |G(jω)| at those ω to get the intersection points.
  7. Find frequencies where the real part is zero (GR(ω) = 0). These ω give points where the locus intersects the imaginary axis. Compute |G(jω)| at those ω to get the intersection points.
  8. Combine the start and end points, axis intersections and intermediate points to sketch the polar plot smoothly (respecting monotonic variation of phase and magnitude with ω).

Polar plots of some standard transfer functions

We classify examples by system type (number of integrators) and order (total pole count).

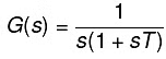
(a) Type 0 systems

Order 1

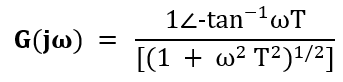
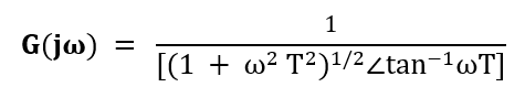
Let G(s) = 1/(1 + sT).

Substitute s = jω to obtain

G(jω) = 1/(1 + jωT)

Writing magnitude and phase explicitly,

|G(jω)| = 1 / sqrt(1 + ω² T²)

∠G(jω) = - tan⁻¹(ωT)

  • At ω = 0: |G| = 1, ∠G = 0°.
  • At ω → ∞: |G| → 0, ∠G → -90° (since tan⁻¹ ∞ = 90°).
Order 1
Order 1
Order 1

Order 2

Let G(s) = 1/(1 + sT1)(1 + sT2).

With s = jω,

|G(jω)| = 1 / [sqrt(1 + ω² T1²) sqrt(1 + ω² T2²)]

∠G(jω) = - tan⁻¹(ωT1) - tan⁻¹(ωT2)

  • At ω = 0: |G| = 1, ∠G = 0°.
  • At ω → ∞: |G| → 0, ∠G → -180° (sum of two × -90° contributions).
Order 2
Order 2
Order 2
Order 2

(b) Type 1 systems

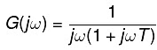
Order 1 (pure integrator)

Let G(s) = 1/s.

With s = jω,

G(jω) = 1/(jω) = (1/ω) ∠ -90°

  • At ω = 0: |G| → ∞, ∠G = -90°.
  • At ω → ∞: |G| → 0, ∠G = -90°.
Order 1 (pure integrator)

Order 2 (integrator plus one pole)

Let G(s) = 1/[s(1 + sT)].

With s = jω,

G(jω) = 1 / [jω (1 + jωT)]

Writing magnitude and phase,

|G(jω)| = 1 / [ω sqrt(1 + ω² T²)]

∠G(jω) = -90° - tan⁻¹(ωT)

  • At ω = 0: |G| → ∞, ∠G = -90°.
  • At ω → ∞: |G| → 0, ∠G → -180° (-90° from integrator and -90° from high-frequency pole contribution).
Order 2 (integrator plus one pole)
Order 2 (integrator plus one pole)

Order 3 (integrator plus two poles)

Let G(s) = 1/[s(1 + sT1)(1 + sT2)].

With s = jω,

|G(jω)| = 1 / [ω sqrt(1 + ω² T1²) sqrt(1 + ω² T2²)]

∠G(jω) = -90° - tan⁻¹(ωT1) - tan⁻¹(ωT2)

  • At ω = 0: |G| → ∞, ∠G = -90°.
  • At ω → ∞: |G| → 0, ∠G → -270° (-90° per pole at high frequency including the integrator).
Order 3 (integrator plus two poles)
Order 3 (integrator plus two poles)
Order 3 (integrator plus two poles)
Order 3 (integrator plus two poles)

(c) Type 2 systems

Order 4 (two integrators plus two poles)

Consider a typical Type 2 structure with two poles at origin and two additional poles of first order.

With s = jω, a factor j² gives ∠ -180° contribution from the two integrators at low frequency.

G(jω) = 1 / [ (jω)² (1 + jωT1)(1 + jωT2) ]

|G(jω)| = 1 / [ω² sqrt(1 + ω² T1²) sqrt(1 + ω² T2²)]

∠G(jω) = -180° - tan⁻¹(ωT1) - tan⁻¹(ωT2)

  • At ω = 0: |G| → ∞, ∠G = -180°.
  • At ω → ∞: |G| → 0, ∠G → -360° (sum of -180° from the two integrators and -90° from each of the two additional poles at high frequency).
Order 4 (two integrators plus two poles)
Order 4 (two integrators plus two poles)
Order 4 (two integrators plus two poles)
Order 4 (two integrators plus two poles)
Order 4 (two integrators plus two poles)

Gain margin and phase margin from polar plot

  • Phase crossover frequency: the frequency at which the polar plot crosses the line at ∠ = -180°.
  • Gain crossover frequency: the frequency at which the polar plot intersects the unit-magnitude circle (|G(jω)| = 1).
  • Gain margin (GM): if the polar plot crosses the -180° line at point B whose magnitude is GB, then the gain margin in linear scale is Kg = 1 / GB and in decibels is GM(dB) = -20 log10(GB). The gain margin is positive if point B lies inside the unit circle (GB < 1), otherwise
  • Phase margin (φm): at the gain crossover frequency the phase of G(jω) is φ (usually negative). The phase margin is φm = 180° + φ, where φ is the phase at the gain crossover frequency (φ is measured with sign conventions where anti-clockwise is positive).

MULTIPLE CHOICE QUESTION

Try yourself: System is said to be marginally stable, if:

A

Gain crossover frequency > Phase crossover frequency

B

Gain crossover frequency = Phase crossover frequency

C

Gain crossover frequency < Phase crossover frequency

D

Gain crossover frequency ≠ Phase crossover frequency

The gain margin is sometimes denoted by Kg and given by

Kg = 1 / GB

  • GB is the magnitude of G(jω) at the point where the locus crosses the -180° axis.
  • Kg > 1 (positive in dB) indicates the locus crosses -180° inside the unit circle; Kg < 1 (negative in db) indicates a crossing outside the unit

The phase margin is written as

φm = 180° + θ

  • Here θ is the phase (in degrees) of G(jω) at the gain crossover frequency (where magnitude equals unity). θ can be negative; evaluate φm accordingly.

Worked example

Example: The open loop transfer function of a unity-feedback system is

G(s) = 1 / [ s (s + 1) (2s + 1) ]

The transfer function can be recognised as a Type 1 system of total order 3 with factors that match the form

G(s) = 1 / [ s (1 + sT1) (1 + sT2) ]

Worked example
Worked example

Substitute s = jω to obtain

G(jω) = 1 / [ jω (jω + 1) (2 jω + 1) ]

Express magnitude and phase by separating each factor:

|G(jω)| = 1 / [ ω sqrt(1 + ω²) sqrt(1 + 4 ω²) ]

∠G(jω) = -90° - tan⁻¹(ω) - tan⁻¹(2ω)

Values at the extremes:

When ω = 0:

G(jω) → ∞ ∠ -90°

When ω → ∞:

G(jω) → 0 ∠ -270°

Compute |G(jω)| and ∠G(jω) at a range of ω values and plot the locus to obtain the polar plot.

Worked example
Worked example

After evaluating the locus for representative ω values (plotting magnitudes and phases), the polar plot appears as:

Worked example
Worked example

From the plotted polar locus identify the intersection with the -180° axis. In this example the magnitude at the -180° crossing is

GB = 0.7

Therefore the gain margin in linear scale is

Kg = 1 / GB

Kg = 1 / 0.7

Kg = 1.428

Next locate the point where the locus intersects the unit circle (|G(jω)| = 1). At that point measure the phase φ of the locus; in the plotted example the phase at the gain-crossover point is

φ = -168°

Thus the phase margin is

φm = 180° + φ

φm = 180° - 168°

φm = 12°

Hence for the given open-loop transfer function the gain margin is 1.428 (≈ 3.09 dB) and the phase margin is 12°.

Practical notes and tips for sketching polar plots

  • Always determine start (ω → 0) and end (ω → ∞) points by considering the lowest- and highest-power contributions of s.
  • Compute axis intersections by setting imaginary or real parts to zero after rationalising G(jω). These intersection points anchor the sketch.
  • Plot a number of intermediate frequency points (especially near corner frequencies 1/T, 1/(2T), etc.) to produce an accurate locus.
  • Use the monotonic nature of arctangent functions to determine how phase accumulates with increasing ω: each first-order pole contributes up to -90° and each first-order zero up to +90° as ω goes from 0 to ∞.
  • When estimating stability margins from the polar plot, remember that the Nyquist criterion (with the full Nyquist contour) is required for drawing firm conclusions about closed-loop stability when encirclements of -1 are possible; for many practical minimum-phase cases, margins read from the polar locus are sufficient guides.

Summary: A polar plot directly shows how magnitude and phase of an open-loop transfer function change with frequency. By analysing start and end angles, axis intersections, and crossings of the unit circle and the -180° line, one can determine important stability margins such as gain margin and phase margin. System type and order determine the characteristic start/end behaviour and are therefore useful checks when sketching or interpreting polar plots.

The document Polar Plots - Control Systems - Electrical Engineering (EE) is a part of the Electrical Engineering (EE) Course Control Systems.
All you need of Electrical Engineering (EE) at this link: Electrical Engineering (EE)
53 videos|116 docs|40 tests

FAQs on Polar Plots - Control Systems - Electrical Engineering (EE)

1. What is a polar plot in electrical engineering?
Ans. A polar plot is a graphical representation of the frequency response of a system in the frequency domain. It shows the magnitude and phase shift of the system's response as a function of frequency.
2. How is the gain margin related to the polar plot?
Ans. The gain margin is a measure of the stability of a system and is directly related to the polar plot. It is the amount of gain that can be added to the system before it becomes unstable. The gain margin can be determined from the polar plot by finding the frequency at which the phase shift is -180 degrees (or pi radians). At this frequency, the gain margin is the inverse of the magnitude of the system's response.
3. What is the phase margin in a polar plot?
Ans. The phase margin is another measure of the stability of a system, specifically its ability to respond to changes in phase shift. It is the amount of phase shift that can be added to the system before it becomes unstable. The phase margin can be determined from the polar plot by finding the frequency at which the magnitude of the system's response crosses the 0 dB line. At this frequency, the phase margin is the difference between the phase shift and -180 degrees (or pi radians).
4. How can the polar plot be sketched?
Ans. To sketch a polar plot, follow these steps: 1. Determine the transfer function of the system. 2. Convert the transfer function to polar form. 3. Identify the poles and zeros of the transfer function. 4. Plot the poles and zeros on a polar coordinate system. 5. Determine the magnitude and phase shift at various frequencies. 6. Plot the magnitude and phase shift on the polar plot. 7. Connect the points on the plot to create the polar plot.
5. What information can be obtained from a polar plot?
Ans. A polar plot provides information about the frequency response and stability of a system. It shows the magnitude and phase shift of the system's response at different frequencies. From the polar plot, one can determine the gain margin, phase margin, and stability of the system. It can also be used to analyze the system's frequency response characteristics and design control systems.
Related Searches
pdf , Polar Plots - Control Systems - Electrical Engineering (EE), mock tests for examination, practice quizzes, past year papers, Semester Notes, study material, Objective type Questions, Viva Questions, Summary, Exam, Important questions, Previous Year Questions with Solutions, Sample Paper, Extra Questions, Polar Plots - Control Systems - Electrical Engineering (EE), Polar Plots - Control Systems - Electrical Engineering (EE), video lectures, MCQs, Free, shortcuts and tricks, ppt;