Physics Exam  >  Physics Notes  >  Electricity & Magnetism  >  Coulomb's Law, Superposition Principle & Gauss's Law

Coulomb's Law, Superposition Principle & Gauss's Law | Electricity & Magnetism - Physics PDF Download

Coulomb’s Law and Superposition Principle

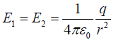
The electric force on a test charge Q due to a single point charge q , which is at rest and a distance R apart is given by Coulomb’s law:

Coulomb`s Law, Superposition Principle & Gauss`s Law | Electricity & Magnetism - Physics

Coulomb`s Law in Vector FormCoulomb's Law in Vector Form

The constant ε0 is called the permittivity of free space.

In mks units,
Coulomb`s Law, Superposition Principle & Gauss`s Law | Electricity & Magnetism - Physics

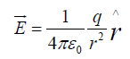
Coulomb`s Law, Superposition Principle & Gauss`s Law | Electricity & Magnetism - Physics is the separation vector from Coulomb`s Law, Superposition Principle & Gauss`s Law | Electricity & Magnetism - Physics (the location of q ) to Coulomb`s Law, Superposition Principle & Gauss`s Law | Electricity & Magnetism - Physics (the location of Q): 

Coulomb`s Law, Superposition Principle & Gauss`s Law | Electricity & Magnetism - Physics

R is its magnitude, and Coulomb`s Law, Superposition Principle & Gauss`s Law | Electricity & Magnetism - Physics is its direction. The force points along the line from q to Q; it is repulsive if q and Q have the same sign, and attractive if their signs are opposite.

Coulomb`s Law, Superposition Principle & Gauss`s Law | Electricity & Magnetism - Physics

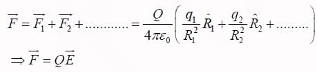
Electric Field

If we have many point charges q1,q2,...... at distances R1, R2, R3 ...... from test charge Q, then according to the principle of superposition the total force on Q is

Coulomb`s Law, Superposition Principle & Gauss`s Law | Electricity & Magnetism - Physics

where
Coulomb`s Law, Superposition Principle & Gauss`s Law | Electricity & Magnetism - Physics

Coulomb`s Law, Superposition Principle & Gauss`s Law | Electricity & Magnetism - Physics

Coulomb`s Law, Superposition Principle & Gauss`s Law | Electricity & Magnetism - Physicsis called the electric field of the source charges. Physically Coulomb`s Law, Superposition Principle & Gauss`s Law | Electricity & Magnetism - Physics is the force per unit charge that would be exerted on a test charge placed at P .

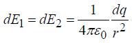
If charge is distributed continuously over some region, then

Coulomb`s Law, Superposition Principle & Gauss`s Law | Electricity & Magnetism - Physics

The electric field of a line charge is(dq = λ dl′)

Coulomb`s Law, Superposition Principle & Gauss`s Law | Electricity & Magnetism - Physics where λ is charge per unit length.
For surface charge (dq =σ da′)
Coulomb`s Law, Superposition Principle & Gauss`s Law | Electricity & Magnetism - Physics
where σ is charge per unit area.
For a volume charge (dq = ρdτ′)
Coulomb`s Law, Superposition Principle & Gauss`s Law | Electricity & Magnetism - Physics 
where ρ is charge per unit volume.
(a) Continuous distribution(a) Continuous distribution

(b)Line charge, λ(b)Line charge, λ


(c)Surface charge, σ(c)Surface charge, σ

(d)Volume charge, ρ(d)Volume charge, ρ

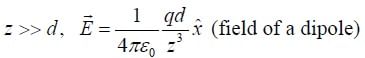
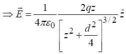
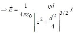
Example 1: (a) Find the Electric a distance z above the mid point between two equal charges, q , a distance d apart.
(b) Repeat part (a) after replacing right hand charge to −q .


Coulomb`s Law, Superposition Principle & Gauss`s Law | Electricity & Magnetism - Physics

(a)Coulomb`s Law, Superposition Principle & Gauss`s Law | Electricity & Magnetism - Physics

Coulomb`s Law, Superposition Principle & Gauss`s Law | Electricity & Magnetism - Physics
Horizontal components cancels and

Ez = E1 cosθ + E2 cosθ = 2Ecos θ

Since
Coulomb`s Law, Superposition Principle & Gauss`s Law | Electricity & Magnetism - Physics
Coulomb`s Law, Superposition Principle & Gauss`s Law | Electricity & Magnetism - Physics
When,
Coulomb`s Law, Superposition Principle & Gauss`s Law | Electricity & Magnetism - Physics (looks like a single charge 2q ).

(b)Coulomb`s Law, Superposition Principle & Gauss`s Law | Electricity & Magnetism - Physics
Component along z-direction cancel out.
Coulomb`s Law, Superposition Principle & Gauss`s Law | Electricity & Magnetism - Physics
Thus,

Coulomb`s Law, Superposition Principle & Gauss`s Law | Electricity & Magnetism - Physics

Coulomb`s Law, Superposition Principle & Gauss`s Law | Electricity & Magnetism - Physics
When,

Coulomb`s Law, Superposition Principle & Gauss`s Law | Electricity & Magnetism - Physics

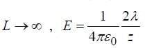
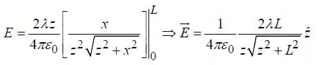
Example 2: Find the electric field a distance z above the midpoint of a straight line segment of length 2L , which carries a uniform line charge λ.

Horizontal components of two field cancels and the field of the two segment is
Coulomb`s Law, Superposition Principle & Gauss`s Law | Electricity & Magnetism - Physics
Net field is
Coulomb`s Law, Superposition Principle & Gauss`s Law | Electricity & Magnetism - Physics
Here

Coulomb`s Law, Superposition Principle & Gauss`s Law | Electricity & Magnetism - Physics

Coulomb`s Law, Superposition Principle & Gauss`s Law | Electricity & Magnetism - Physics

Thus
Coulomb`s Law, Superposition Principle & Gauss`s Law | Electricity & Magnetism - Physics
for

Coulomb`s Law, Superposition Principle & Gauss`s Law | Electricity & Magnetism - Physics
and when

Coulomb`s Law, Superposition Principle & Gauss`s Law | Electricity & Magnetism - Physics

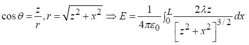
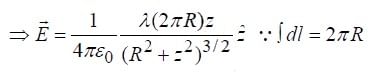
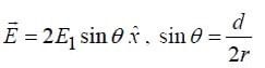
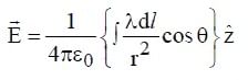
Example 3: Find the electric field a distance z above the center of a circular loop of radius r , which carries a uniform line charge λ .

Coulomb`s Law, Superposition Principle & Gauss`s Law | Electricity & Magnetism - Physics
“Horizontal” components cancel, leaving:
Coulomb`s Law, Superposition Principle & Gauss`s Law | Electricity & Magnetism - Physics
Here, r2 = R2 + z2, cos θ =z/r (both constants)

Coulomb`s Law, Superposition Principle & Gauss`s Law | Electricity & Magnetism - Physics

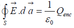
Gauss’s Law

Field Lines and Electric Flux

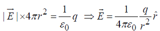
Consider that a point charge q is situated at the origin:
Coulomb`s Law, Superposition Principle & Gauss`s Law | Electricity & Magnetism - Physics
Coulomb`s Law, Superposition Principle & Gauss`s Law | Electricity & Magnetism - Physics

This field is depicted by the field line displayed in the figure below. The strength of the field is denoted by the density of the field lines: it is more intense near the center where the lines are closely packed, and less intense farther out where they are more spaced apart. The field strength (E) is directly proportional to the number of field lines per unit area (area perpendicular to the lines). The flux of E through a surface S,  Coulomb`s Law, Superposition Principle & Gauss`s Law | Electricity & Magnetism - Physics is a measure of the “number of field lines” passing through S.

Coulomb`s Law, Superposition Principle & Gauss`s Law | Electricity & Magnetism - Physics

 For the case of point charge at the origin, the flux of Coulomb`s Law, Superposition Principle & Gauss`s Law | Electricity & Magnetism - Physics through a sphere of radius r is
Coulomb`s Law, Superposition Principle & Gauss`s Law | Electricity & Magnetism - Physics
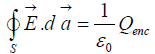
Note that, any surface whatever its shape, would trap the same number of field lines. So the flux through any surface enclosing the charge is q/ε0.

Now suppose that instead of a single charge at the origin, we have a bunch of charges scattered about. According to the principle of superposition, the total field is simply the (vector) sum of all the individual fields:
Coulomb`s Law, Superposition Principle & Gauss`s Law | Electricity & Magnetism - Physics
The flux through any surface that encloses them all, then, is
Coulomb`s Law, Superposition Principle & Gauss`s Law | Electricity & Magnetism - Physics
A charge outside the surface would contribute nothing to the total flux, since its field lines

go in one side and out the other. It follows, then, that for any closed surface,
Coulomb`s Law, Superposition Principle & Gauss`s Law | Electricity & Magnetism - Physics

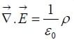
where Qenc is the total charge enclosed within the surface. This is Gauss’s law in integral form. We can convert Gauss’s law in integral form to differential form, for continuous charge

distributions, by applying the divergence theorem:
Coulomb`s Law, Superposition Principle & Gauss`s Law | Electricity & Magnetism - Physics
We can write Qenc in terms of the charge density ρ, we have
Coulomb`s Law, Superposition Principle & Gauss`s Law | Electricity & Magnetism - Physics
So Gauss’s law becomes
Coulomb`s Law, Superposition Principle & Gauss`s Law | Electricity & Magnetism - Physics
Since this holds for any volume, the integrands must be equal:
Coulomb`s Law, Superposition Principle & Gauss`s Law | Electricity & Magnetism - Physics

Applications of Gauss’s Law

​Gauss's law is universally valid, but its utility is limited to specific symmetrical scenarios:
1. Spherical Symmetry: Utilize a concentric sphere as your Gaussian surface.
2. Cylindrical Symmetry: Employ a coaxial cylinder as your Gaussian surface.
3. Plane Symmetry: Opt for a "pillbox" shape for your Gaussian surface, extending equally above and below the surface. ​

Coulomb`s Law, Superposition Principle & Gauss`s Law | Electricity & Magnetism - Physics

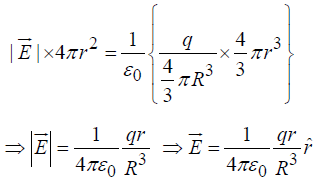
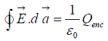
Example 4: Find the field inside and outside a uniformly charged solid sphere of radius R and total charge q.

Draw a spherical surface of radius r < R , which is called as “Gaussian surface”. According Gauss’s Law

Coulomb`s Law, Superposition Principle & Gauss`s Law | Electricity & Magnetism - Physics

Coulomb`s Law, Superposition Principle & Gauss`s Law | Electricity & Magnetism - Physics

Coulomb`s Law, Superposition Principle & Gauss`s Law | Electricity & Magnetism - Physics

Coulomb`s Law, Superposition Principle & Gauss`s Law | Electricity & Magnetism - Physics

For outside point, draw a spherical surface of radius r > R,

Coulomb`s Law, Superposition Principle & Gauss`s Law | Electricity & Magnetism - Physics

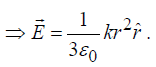
Example 5: A long cylinder carries a charge density that is proportional to the distance from the axis; ρ = kr , for some constant k . Find the electric field inside this cylinder.

Draw a Gaussian cylinder of length l and radius r .

Coulomb`s Law, Superposition Principle & Gauss`s Law | Electricity & Magnetism - Physics

For this surface, Gauss’s Law states:
Coulomb`s Law, Superposition Principle & Gauss`s Law | Electricity & Magnetism - Physics
Now,
Coulomb`s Law, Superposition Principle & Gauss`s Law | Electricity & Magnetism - Physics

Symmetry dictates that Coulomb`s Law, Superposition Principle & Gauss`s Law | Electricity & Magnetism - Physics must point radially outward and the two ends contribute nothing to electric flux as Coulomb`s Law, Superposition Principle & Gauss`s Law | Electricity & Magnetism - Physics

For curved portion
Coulomb`s Law, Superposition Principle & Gauss`s Law | Electricity & Magnetism - Physics
Coulomb`s Law, Superposition Principle & Gauss`s Law | Electricity & Magnetism - Physics

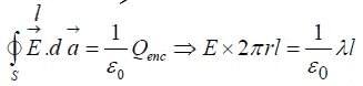
Example 6: Find the electric field a distance r from an infinitely long straight wire, which carries a uniform line charge λ .

Draw a Gaussian cylinder of length l and radius r .
Coulomb`s Law, Superposition Principle & Gauss`s Law | Electricity & Magnetism - Physics

For this surface, Gauss’s Law state:
Coulomb`s Law, Superposition Principle & Gauss`s Law | Electricity & Magnetism - Physics
Coulomb`s Law, Superposition Principle & Gauss`s Law | Electricity & Magnetism - Physics

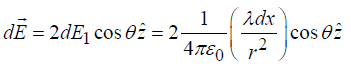
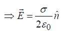
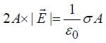
Example 7: An infinite plane carries a uniform surface charge σ . Find its electric field.

Draw a “Gaussian pill box”, extending equal distances above and below the plane.
Coulomb`s Law, Superposition Principle & Gauss`s Law | Electricity & Magnetism - Physics

Apply Gauss’s Law to this surface:
Coulomb`s Law, Superposition Principle & Gauss`s Law | Electricity & Magnetism - Physics
In this case, Qenc  = Aσ, where A is the area of the pill box. By symmetry, Coulomb`s Law, Superposition Principle & Gauss`s Law | Electricity & Magnetism - Physics points away from the plane (upward for the points above, downward for points below).
Thus Coulomb`s Law, Superposition Principle & Gauss`s Law | Electricity & Magnetism - Physics whereas sides contribute nothing. Thus
Coulomb`s Law, Superposition Principle & Gauss`s Law | Electricity & Magnetism - Physics
Coulomb`s Law, Superposition Principle & Gauss`s Law | Electricity & Magnetism - Physics 
where Coulomb`s Law, Superposition Principle & Gauss`s Law | Electricity & Magnetism - Physics is the unit vector pointing away from the surface 

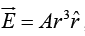
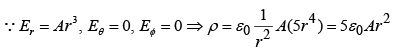
Example 8: Suppose the electric field in some region is found to be Coulomb`s Law, Superposition Principle & Gauss`s Law | Electricity & Magnetism - Physics in spherical coordinates ( A is some constant). 
(a) Find the charge density ρ . 
(b) Find the total charge contained in a sphere of radius R , centered at the origin. 

(a) 

Coulomb`s Law, Superposition Principle & Gauss`s Law | Electricity & Magnetism - Physics

Coulomb`s Law, Superposition Principle & Gauss`s Law | Electricity & Magnetism - Physics

(b) By Gauss's Law,
Coulomb`s Law, Superposition Principle & Gauss`s Law | Electricity & Magnetism - Physics 

Also,
Coulomb`s Law, Superposition Principle & Gauss`s Law | Electricity & Magnetism - Physics

Example 9: A charge q sits at the back corner of a cube as shown in figure. What is the flux of Coulomb`s Law, Superposition Principle & Gauss`s Law | Electricity & Magnetism - Physicsthrough the shaded side?

Coulomb`s Law, Superposition Principle & Gauss`s Law | Electricity & Magnetism - Physics

Think of this cube as one of 8 surrounding the charge. Each of the 24 squares which make up the surface of this larger cube gets the same flux as every other one. 

Coulomb`s Law, Superposition Principle & Gauss`s Law | Electricity & Magnetism - Physics

The document Coulomb's Law, Superposition Principle & Gauss's Law | Electricity & Magnetism - Physics is a part of the Physics Course Electricity & Magnetism.
All you need of Physics at this link: Physics
82 videos|32 docs|22 tests

FAQs on Coulomb's Law, Superposition Principle & Gauss's Law - Electricity & Magnetism - Physics

1. What is Coulomb's Law and how is it related to the electric field?
Ans. Coulomb's Law states that the force between two charged particles is directly proportional to the product of their charges and inversely proportional to the square of the distance between them. The electric field is a vector quantity that describes the force experienced by a test charge at any point in space due to other charges. Coulomb's Law can be used to calculate the electric field at a point in space.
2. What is the Superposition Principle in the context of electric charges and forces?
Ans. The Superposition Principle states that the total force on a charged particle due to multiple other charges is the vector sum of the individual forces that each charge would exert on the particle independently. This principle allows for the calculation of the net force on a charge in a system with multiple charges.
3. How does Gauss's Law relate to electric fields and charges?
Ans. Gauss's Law relates the electric flux through a closed surface to the total charge enclosed within that surface. It provides a convenient way to calculate the electric field due to a charge distribution by using symmetry arguments to simplify the calculations. Gauss's Law is a fundamental principle in the study of electrostatics.
4. Can Coulomb's Law be used to calculate the electric field in all situations?
Ans. Coulomb's Law can be used to calculate the electric field in situations where the charge distribution is known and can be treated as discrete point charges. In cases with continuous charge distributions or complex geometries, Gauss's Law is often a more effective tool for calculating the electric field.
5. How is the Superposition Principle applied in the context of Gauss's Law?
Ans. The Superposition Principle is often used in conjunction with Gauss's Law to calculate the electric field due to complex charge distributions. By breaking down a system into simpler components and applying Gauss's Law to each component individually, the total electric field can be found by superposing the individual electric fields.
Related Searches

Free

,

Semester Notes

,

Extra Questions

,

MCQs

,

study material

,

Superposition Principle & Gauss's Law | Electricity & Magnetism - Physics

,

Viva Questions

,

past year papers

,

video lectures

,

Previous Year Questions with Solutions

,

practice quizzes

,

Superposition Principle & Gauss's Law | Electricity & Magnetism - Physics

,

Coulomb's Law

,

Sample Paper

,

Coulomb's Law

,

pdf

,

Coulomb's Law

,

shortcuts and tricks

,

Important questions

,

Summary

,

Superposition Principle & Gauss's Law | Electricity & Magnetism - Physics

,

Objective type Questions

,

mock tests for examination

,

ppt

,

Exam

;