Physics Exam  >  Physics Notes  >  Oscillations, Waves & Optics  >  Damped Oscillator

Damped Oscillator | Oscillations, Waves & Optics - Physics PDF Download

Damped Harmonic Oscillation

The majority of the oscillatory systems in everyday life suffer some sort of irreversible energy loss due to frictional or viscous heat generation while they are oscillating. Their

amplitude of oscillation dies away with time. Such oscillation is called damped harmonic

oscillation.

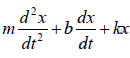
Consider the mass-spring system, body of mass m attached to spring with spring

constant k is released from position x0 (measured from equilibrium position) with

velocity v ; the mass is subject to a frictional damping force which opposes its motion,

and is directly proportional to its instantaneous velocity Fres = −bv

The quantity v is a positive constant, whose value depends on the properties of the

material providing the resistance. The minus sign indicates that the force resists the

motion, so it is directed opposite to the velocity.

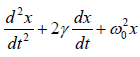
The total force on the body is the sum of the restoring force F = −kx , and the resistive

force

Fres: Fnet = F + Fres = −kx − bv

Using Newton second lawDamped Oscillator | Oscillations, Waves & Optics - Physics = 0 ⇒Damped Oscillator | Oscillations, Waves & Optics - Physics = 0

Here, we define the constant γ such that, 2γ = b/m called damping constant and

ω= √k /m is the natural frequency of undamped oscillator.

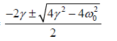
Assuming a solution of the form x(t) = Ceαt

On differentiation, we get Damped Oscillator | Oscillations, Waves & Optics - Physics = 0

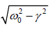
The solution (forω ) from the quadratic formula is: α = Damped Oscillator | Oscillations, Waves & Optics - Physics

⇒ α = Damped Oscillator | Oscillations, Waves & Optics - Physics

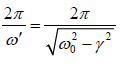
Thus the solution is x(t) = Damped Oscillator | Oscillations, Waves & Optics - Physics = Damped Oscillator | Oscillations, Waves & Optics - Physics where ω ' = Damped Oscillator | Oscillations, Waves & Optics - Physics

If we consider the quantity under the square root sign, we see that there are three

possibilities.

Case 1: Overdamped Case: If the damping coefficient is large, then γ >ω0 and ω′

will be imaginary. Hence x (t )will be a negative exponential function. It is shown in

figure (a).

Case 2: Critically Damped Case: If ω0 =γ , then the square root vanishes. In this case,

the solution is again a negative exponential function which goes to zero quicker than the

overdamped case, as shown in figure (b).

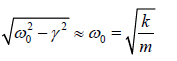
Case 3: Underdamped Case: If ω0  >γ then the quantity under the square root is

positive and we have a real number for ω ′ . The solution for ‘ x ’ is then

Damped Oscillator | Oscillations, Waves & Optics - Physics

This is the solution of the damped harmonic oscillator. The oscillatory motion is shown

in figure (c).

Damped Oscillator | Oscillations, Waves & Optics - Physics

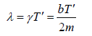
Time Period: of the damped harmonic oscillator is: T' = Damped Oscillator | Oscillations, Waves & Optics - Physics

This shows that due to damping the time period slightly increased.

Logarithmic Decrement: This measure the rate at which the amplitude decay

Damped Oscillator | Oscillations, Waves & Optics - Physics

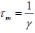
Mean Life time(τm)  : It is the time taken for the amplitude to decay to 1/e of the initial

value. When t = Damped Oscillator | Oscillations, Waves & Optics - Physics, Amplitude = A/e Damped Oscillator | Oscillations, Waves & Optics - Physics

Energy of the Damped Oscillator

Kinetic energy (K)

The displacement of a damped harmonic oscillator is x (t ) = Damped Oscillator | Oscillations, Waves & Optics - Physics

The instantaneous velocity is

u = Damped Oscillator | Oscillations, Waves & Optics - Physics

The approximation is done as  γ <<ω0

Thus, kinetic energy is K = 1/2mu2 = Damped Oscillator | Oscillations, Waves & Optics - Physics

Potential energy (U)

U = Damped Oscillator | Oscillations, Waves & Optics - Physics

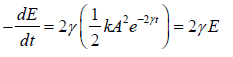
Total energy (E)

E = K + U = Damped Oscillator | Oscillations, Waves & Optics - Physics

⇒E = Damped Oscillator | Oscillations, Waves & Optics - Physics Since  γ <<ω0 thus ω′ = Damped Oscillator | Oscillations, Waves & Optics - Physics

This shows that the energy of the oscillator decreases with time, the exponential decay of

energy is show below.Damped Oscillator | Oscillations, Waves & Optics - Physics

Power Dissipation: It is the rate at which the energy is lost

P = Damped Oscillator | Oscillations, Waves & Optics - Physics

Relaxation Time: It is the time taken for the total energy to decay to 1/e of its initial value E0. If τ is the relaxation time, then at t =τ , we shall have E = Damped Oscillator | Oscillations, Waves & Optics - Physics.

Thus Damped Oscillator | Oscillations, Waves & Optics - Physics= Damped Oscillator | Oscillations, Waves & Optics - Physics This gives relaxation time τ = Damped Oscillator | Oscillations, Waves & Optics - Physics

Thus we can also write power dissipated as P = E/τ

and energy can be expressed as E(t) = Damped Oscillator | Oscillations, Waves & Optics - Physics.

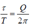
Quality Factor (Q): It is defined as the 2π times the ratio of the energy stored in the

system to the energy lost per period.

Q = Damped Oscillator | Oscillations, Waves & Optics - Physics

Energy stored in the system is E while the energy loss per period is PT , thus 

Damped Oscillator | Oscillations, Waves & Optics - Physics

This shows that, lower the damping, higher the value of Q.

Now energy can be written in term of Q as E(t) =  Damped Oscillator | Oscillations, Waves & Optics - Physics

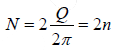
It means that Q is related to the number of oscillation over which the energy fall to 1/e of

its original value E0 , which is also called the relaxation time. This happens in time, t =τ ,

where τ is given by

Damped Oscillator | Oscillations, Waves & Optics - Physics

In one period (T ) number of oscillation is =1

In time τ the number of oscillation = n , then n = Damped Oscillator | Oscillations, Waves & Optics - Physics

Thus the energy falls to 1/e of its original value after n=  Q/2π = cycle of free oscillation.

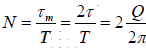
Relation between relaxation time, mean time and Quality factor:

Let N is the number of oscillation in time Damped Oscillator | Oscillations, Waves & Optics - Physics

While n is the number of oscillation in time τ = Damped Oscillator | Oscillations, Waves & Optics - Physics

Thus, relation between mean and relaxation time is  τm = 2t

In one period (T ) number of oscillation is =1

In time τm the number of oscillation = N

Damped Oscillator | Oscillations, Waves & Optics - Physics or Damped Oscillator | Oscillations, Waves & Optics - Physics

The document Damped Oscillator | Oscillations, Waves & Optics - Physics is a part of the Physics Course Oscillations, Waves & Optics.
All you need of Physics at this link: Physics
54 videos|22 docs|14 tests

FAQs on Damped Oscillator - Oscillations, Waves & Optics - Physics

1. What is damped harmonic oscillation?
Ans. Damped harmonic oscillation refers to the motion of a system that experiences a resistive force or damping, causing the amplitude of the oscillation to gradually decrease over time.
2. How is the energy of a damped oscillator affected?
Ans. The energy of a damped oscillator gradually decreases over time due to the dissipation of energy through damping. The resistive force opposes the motion and converts some of the mechanical energy into heat or other forms of energy.
3. What is the significance of the quality factor in a damped oscillator?
Ans. The quality factor (Q-factor) of a damped oscillator is a measure of the sharpness of the resonance. It indicates how quickly the oscillation decays and is inversely proportional to the damping. Higher Q-factor implies less damping and a longer oscillation period.
4. Can a damped oscillator exhibit oscillation without any external force?
Ans. No, a damped oscillator cannot exhibit oscillation without any external force. The damping force always acts against the motion, and without an external force to counterbalance it, the oscillation will gradually come to a stop.
5. How is the behavior of a damped oscillator different from that of an undamped oscillator?
Ans. In an undamped oscillator, the amplitude of the oscillation remains constant over time as there is no dissipation of energy. In contrast, a damped oscillator experiences a decrease in amplitude due to energy loss through damping. Additionally, the frequency of oscillation may also change in a damped oscillator due to the effect of damping.
Related Searches

Free

,

Waves & Optics - Physics

,

Waves & Optics - Physics

,

Extra Questions

,

Sample Paper

,

study material

,

Previous Year Questions with Solutions

,

Waves & Optics - Physics

,

shortcuts and tricks

,

Exam

,

ppt

,

Viva Questions

,

practice quizzes

,

video lectures

,

Important questions

,

Semester Notes

,

MCQs

,

Damped Oscillator | Oscillations

,

Objective type Questions

,

Summary

,

pdf

,

past year papers

,

mock tests for examination

,

Damped Oscillator | Oscillations

,

Damped Oscillator | Oscillations

;