Physics Exam  >  Physics Notes  >  Electricity & Magnetism  >  Polarisation & Boundary Condition: Assignment

Polarisation & Boundary Condition: Assignment | Electricity & Magnetism - Physics PDF Download

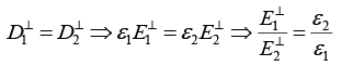
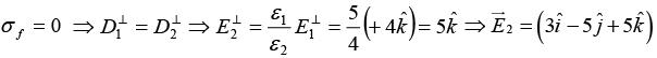
Q.1. Assume that z = 0 plane is the interface between two linear and homogenous dielectrics (see figure). The relative permittivities are εr = 5 for z > 0 and εr = 4 for z<0. The electric field in the region Polarisation & Boundary Condition: Assignment | Electricity & Magnetism - Physics Assume that there are no free charges on the interface.
Polarisation & Boundary Condition: Assignment | Electricity & Magnetism - Physics
(a) Find the electric field Polarisation & Boundary Condition: Assignment | Electricity & Magnetism - Physics in the region z < 0.
(b) Find the electric field Polarisation & Boundary Condition: Assignment | Electricity & Magnetism - Physicsin the region z < 0.

(a)Polarisation & Boundary Condition: Assignment | Electricity & Magnetism - Physics
and
Polarisation & Boundary Condition: Assignment | Electricity & Magnetism - Physics
(b)Polarisation & Boundary Condition: Assignment | Electricity & Magnetism - Physics


Q.2. A unit cube made of a dielectric material has a polarization Polarisation & Boundary Condition: Assignment | Electricity & Magnetism - Physicsunits. The edges of the cube are parallel to the Cartesian axes. Find
(a) the volume bound charge.
(b) the bound charge on both the surfaces parallel to the y - z plane.
(c) the bound charge on both the surfaces parallel to the x - z plane.

(a) Polarisation & Boundary Condition: Assignment | Electricity & Magnetism - Physics
(b) Polarisation & Boundary Condition: Assignment | Electricity & Magnetism - Physics
(c) Polarisation & Boundary Condition: Assignment | Electricity & Magnetism - Physics


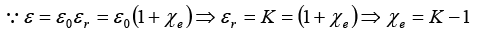
Q.3. The half space region x>0 and x<0 are filled with dielectric media of dielectric constants ε1 and ε2 respectively. There is a uniform electric field in each part. In the right half, the electric field makes an angle θ1 to the interface and the corresponding angle to the left half θ2. Show that ε1 tan θ1 = ε2 tan θ2 .

Polarisation & Boundary Condition: Assignment | Electricity & Magnetism - Physics

 Polarisation & Boundary Condition: Assignment | Electricity & Magnetism - Physics
Polarisation & Boundary Condition: Assignment | Electricity & Magnetism - Physics
Polarisation & Boundary Condition: Assignment | Electricity & Magnetism - Physics


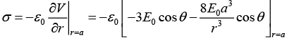
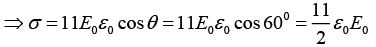
Q.4. A spherical conductor of radius a is placed in a uniform electric field Polarisation & Boundary Condition: Assignment | Electricity & Magnetism - Physics The potential at a point P(r ,q ) for r>a, is given by
Polarisation & Boundary Condition: Assignment | Electricity & Magnetism - Physics
where k is some constant.
Where r is the distance of P from the centre O of the sphere and θ is the angle OP makes with the z -axis. Find the charge density on the sphere at θ = 60º.

 Polarisation & Boundary Condition: Assignment | Electricity & Magnetism - Physics
Polarisation & Boundary Condition: Assignment | Electricity & Magnetism - Physics
Polarisation & Boundary Condition: Assignment | Electricity & Magnetism - Physics


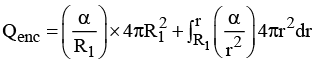
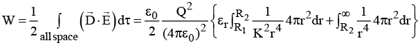
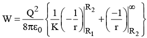
Q.5. A conducting spherical shell of radius Rcarries a total charge Q. A spherical layer of a linear, homogeneous and isotropic dielectric of dielectric constant K and outer radius R2 (>R1) covers the shell as shown in figure.
Polarisation & Boundary Condition: Assignment | Electricity & Magnetism - Physics(a) Find the electric field and the polarization vector Polarisation & Boundary Condition: Assignment | Electricity & Magnetism - Physics inside the dielectric. From this Polarisation & Boundary Condition: Assignment | Electricity & Magnetism - Physics, calculate the surface bound charge density, σb, on the outer surface of the dielectric layer and the volume bound charge density ρb, inside the dielectric.
(b) Calculate the electrostatic energy of the system

  Polarisation & Boundary Condition: Assignment | Electricity & Magnetism - Physics
(a) 
Polarisation & Boundary Condition: Assignment | Electricity & Magnetism - Physics
Polarisation & Boundary Condition: Assignment | Electricity & Magnetism - Physics
The surface bound charge density at r
Polarisation & Boundary Condition: Assignment | Electricity & Magnetism - Physics
Polarisation & Boundary Condition: Assignment | Electricity & Magnetism - Physics
(b)
Polarisation & Boundary Condition: Assignment | Electricity & Magnetism - Physics
Polarisation & Boundary Condition: Assignment | Electricity & Magnetism - Physics
Polarisation & Boundary Condition: Assignment | Electricity & Magnetism - Physics


Q.6. A polarized dielectric cube of side ℓ is kept on the x -y plane as shown. If the polarization in the cube is Polarisation & Boundary Condition: Assignment | Electricity & Magnetism - Physics where k is a positive constant, and then finds all the bound surface charge densities and volume charge density.
Polarisation & Boundary Condition: Assignment | Electricity & Magnetism - Physics

Polarisation & Boundary Condition: Assignment | Electricity & Magnetism - Physics
Volume charge density Polarisation & Boundary Condition: Assignment | Electricity & Magnetism - Physics
Bound surface charge density on the surface OADGO (y = 0 plane)
Polarisation & Boundary Condition: Assignment | Electricity & Magnetism - Physics
Bound surface charge density on the surface EBCFE (y = l plane)
Polarisation & Boundary Condition: Assignment | Electricity & Magnetism - Physics
Bound surface charge density on the surface OGFEO (x = 0 plane)
Polarisation & Boundary Condition: Assignment | Electricity & Magnetism - Physics
Bound surface charge density on the surface ADCBA (x = l plane);
Polarisation & Boundary Condition: Assignment | Electricity & Magnetism - Physics
Bound surface charge density on the surface OABEO (z = 0 plane)
Polarisation & Boundary Condition: Assignment | Electricity & Magnetism - Physics
Bound surface charge density on the surface GFCDG ( z = l plane)
Polarisation & Boundary Condition: Assignment | Electricity & Magnetism - Physics


Q.7. A ray of light inside Region 1 in the xy -plane is incident at the semicircular boundary that carries no free charges. The electric field at the point Polarisation & Boundary Condition: Assignment | Electricity & Magnetism - Physics in plane polar coordinates is Polarisation & Boundary Condition: Assignment | Electricity & Magnetism - Physics where Polarisation & Boundary Condition: Assignment | Electricity & Magnetism - Physics are the unit vectors. The emerging ray in Region 2 has the electric field Polarisation & Boundary Condition: Assignment | Electricity & Magnetism - Physics parallel to x -axis. If ε1 and ε2 are the dielectric constants of Region-1 and Region-2 respectively then find ε21.
Polarisation & Boundary Condition: Assignment | Electricity & Magnetism - Physics

Polarisation & Boundary Condition: Assignment | Electricity & Magnetism - Physics
Polarisation & Boundary Condition: Assignment | Electricity & Magnetism - Physics
Polarisation & Boundary Condition: Assignment | Electricity & Magnetism - Physics 
Thus Polarisation & Boundary Condition: Assignment | Electricity & Magnetism - Physics makes an angle
Polarisation & Boundary Condition: Assignment | Electricity & Magnetism - Physics
Polarisation & Boundary Condition: Assignment | Electricity & Magnetism - Physics


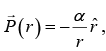
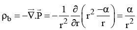
Q.8. A spherical shell of inner and outer radii R1 and R2, respectively, is made of a dielectric material with frozen polarization Polarisation & Boundary Condition: Assignment | Electricity & Magnetism - Physics where a is a constant and r is the distance from its centre. Find the electric field in the region R1 < r< R2.

 Polarisation & Boundary Condition: Assignment | Electricity & Magnetism - Physics and
Polarisation & Boundary Condition: Assignment | Electricity & Magnetism - Physics
For, R1 < r< R2 ;
Polarisation & Boundary Condition: Assignment | Electricity & Magnetism - Physics
⇒ Qenc = 4παR1 + 4πα(r - R1) = 4παr
Polarisation & Boundary Condition: Assignment | Electricity & Magnetism - Physics


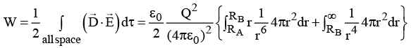
Q.9. A conducting sphere of radius RA has a charge Q. It is surrounded by a dielectric spherical shell of inner radius RA and outer radius RB (as shown in the figure below) having electrical permittivity ε(r ) = ε0r.
(a) Find the surface bound charge density at r =RB.
(b) Find the electrostatic energy of the system.
Polarisation & Boundary Condition: Assignment | Electricity & Magnetism - Physics 

 Polarisation & Boundary Condition: Assignment | Electricity & Magnetism - Physics
or
Polarisation & Boundary Condition: Assignment | Electricity & Magnetism - Physics
(a)
Polarisation & Boundary Condition: Assignment | Electricity & Magnetism - Physics
Polarisation & Boundary Condition: Assignment | Electricity & Magnetism - Physics
The surface bound charge density at r
Polarisation & Boundary Condition: Assignment | Electricity & Magnetism - Physics
(b)

Polarisation & Boundary Condition: Assignment | Electricity & Magnetism - Physics
Polarisation & Boundary Condition: Assignment | Electricity & Magnetism - Physics
Polarisation & Boundary Condition: Assignment | Electricity & Magnetism - Physics


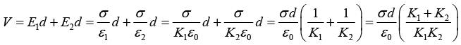
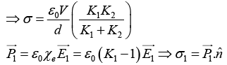
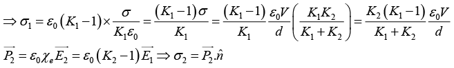
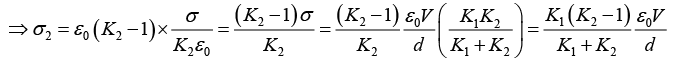
Q.10. In a parallel plate capacitor the distance between the plates is 2d. Two dielectric slabs of thickness d each and dielectric constants K1 and K2 respectively, are inserted between the plates. A potential of V is applied across the capacitor as shown in the figure. Show that the value of the net bound surface charge density at the interface of the two dielectrics is Polarisation & Boundary Condition: Assignment | Electricity & Magnetism - Physics
Polarisation & Boundary Condition: Assignment | Electricity & Magnetism - Physics

Polarisation & Boundary Condition: Assignment | Electricity & Magnetism - PhysicsPolarisation & Boundary Condition: Assignment | Electricity & Magnetism - Physics
Polarisation & Boundary Condition: Assignment | Electricity & Magnetism - Physics
Polarisation & Boundary Condition: Assignment | Electricity & Magnetism - Physics
Polarisation & Boundary Condition: Assignment | Electricity & Magnetism - Physics
Polarisation & Boundary Condition: Assignment | Electricity & Magnetism - Physics

The document Polarisation & Boundary Condition: Assignment | Electricity & Magnetism - Physics is a part of the Physics Course Electricity & Magnetism.
All you need of Physics at this link: Physics
82 videos|32 docs|22 tests

FAQs on Polarisation & Boundary Condition: Assignment - Electricity & Magnetism - Physics

1. What is polarization in the context of electromagnetic waves?
Ans. Polarization refers to the orientation of the electric field vector of an electromagnetic wave. It determines the direction in which the wave oscillates and can be linear, circular, or elliptical. In linear polarization, the electric field vector oscillates in a single plane, while in circular polarization, it rotates in a circular motion. Elliptical polarization is a combination of linear and circular polarizations.
2. How does polarization affect the transmission of light through materials?
Ans. The polarization of light can have a significant impact on its transmission through materials. When light passes through a polarizing filter, it allows only the electric field vector aligned with its transmission axis to pass through, blocking the perpendicular component. This selective transmission of light based on polarization helps in reducing glare, improving visibility, and enabling the use of 3D glasses. Materials can also exhibit polarization-dependent absorption, where certain polarizations are absorbed more than others.
3. What are the boundary conditions for the reflection and transmission of polarized light at an interface?
Ans. The boundary conditions for the reflection and transmission of polarized light at an interface are determined by the laws of reflection and refraction. When light passes from one medium to another, the angle of incidence, angle of reflection, and angle of refraction are related. For parallel polarization (TE mode), the electric field component parallel to the interface remains continuous, while for perpendicular polarization (TM mode), the magnetic field component parallel to the interface remains continuous. These conditions help in understanding the behavior of polarized light at interfaces.
4. Can the polarization of light be changed after reflection or transmission through a material?
Ans. Yes, the polarization of light can be changed after reflection or transmission through a material. When light reflects off a surface, the reflected light can become partially or completely polarized depending on the angle of incidence. This is known as Brewster's angle. Additionally, materials such as wave plates or polarization filters can be used to selectively change the polarization of light. These devices utilize the principles of birefringence or polarization filtering to alter the orientation of the electric field vector.
5. How is the concept of polarization applied in various fields and technologies?
Ans. The concept of polarization finds applications in various fields and technologies. In telecommunications, polarization is used to increase the capacity and quality of wireless communication systems. In photography and cinematography, polarizing filters are used to reduce reflections and enhance contrast. Polarized sunglasses help reduce glare and improve visual clarity. Polarization is also utilized in medical imaging techniques such as confocal microscopy and polarimetry. Additionally, it plays a crucial role in 3D display technologies and optical data storage systems.
Related Searches

pdf

,

shortcuts and tricks

,

Exam

,

MCQs

,

Polarisation & Boundary Condition: Assignment | Electricity & Magnetism - Physics

,

video lectures

,

Viva Questions

,

Polarisation & Boundary Condition: Assignment | Electricity & Magnetism - Physics

,

Extra Questions

,

mock tests for examination

,

Semester Notes

,

past year papers

,

Objective type Questions

,

ppt

,

Important questions

,

study material

,

Polarisation & Boundary Condition: Assignment | Electricity & Magnetism - Physics

,

Sample Paper

,

Free

,

practice quizzes

,

Previous Year Questions with Solutions

,

Summary

;