Physics Exam  >  Physics Notes  >  Mathematical Methods  >  Calculus of Single & Multiple Variables

Calculus of Single & Multiple Variables | Mathematical Methods - Physics PDF Download

Limits

The number A is said to be the limit of f (x) at x = a if for any arbitrary chosen positive

numbers, however small but not zero, there exists a corresponding number ε greater than zero such that
Calculus of Single & Multiple Variables | Mathematical Methods - Physics    For all values of x for which 0 Calculus of Single & Multiple Variables | Mathematical Methods - Physics

Right hand and Left hand Limit

If x approaches a from larger values of x than a, thenCalculus of Single & Multiple Variables | Mathematical Methods - Physics
"Put a + h for x in f(x) and make h approaches zero'’. In short, we have
Calculus of Single & Multiple Variables | Mathematical Methods - Physics
If x approaches a from smaller values of x than a, then Calculus of Single & Multiple Variables | Mathematical Methods - PhysicsIn this case  

Calculus of Single & Multiple Variables | Mathematical Methods - Physics
If both right hand and left hand limits of f(x), as x → a, exist and are equal in value, their common value, evidently, will be the limit of f(x), as x → a .

Theorem of Limits

If f (x) and g (x) are two functions then
1. Calculus of Single & Multiple Variables | Mathematical Methods - Physics
2. Calculus of Single & Multiple Variables | Mathematical Methods - Physics
3. Calculus of Single & Multiple Variables | Mathematical Methods - Physics
4. Calculus of Single & Multiple Variables | Mathematical Methods - Physics
5. Calculus of Single & Multiple Variables | Mathematical Methods - Physics
6. Calculus of Single & Multiple Variables | Mathematical Methods - Physics
7. Calculus of Single & Multiple Variables | Mathematical Methods - Physics

L’Hospital’s Rule

If a function f (x) takes the form Calculus of Single & Multiple Variables | Mathematical Methods - Physicsthen we say that f (x) is indeterminate at x = a. If ∅(x) and ψ(x) are functions of x such that ∅(a) = 0 and ψ(a) = 0, then
Calculus of Single & Multiple Variables | Mathematical Methods - Physics
Some Important Standard Limits
1. Calculus of Single & Multiple Variables | Mathematical Methods - Physics
2. Calculus of Single & Multiple Variables | Mathematical Methods - Physics
3. Calculus of Single & Multiple Variables | Mathematical Methods - Physics
4. Calculus of Single & Multiple Variables | Mathematical Methods - Physics
5. Calculus of Single & Multiple Variables | Mathematical Methods - Physics
6. Calculus of Single & Multiple Variables | Mathematical Methods - Physics
7. Calculus of Single & Multiple Variables | Mathematical Methods - Physics
8. Calculus of Single & Multiple Variables | Mathematical Methods - Physics
9. Calculus of Single & Multiple Variables | Mathematical Methods - Physics
10. Calculus of Single & Multiple Variables | Mathematical Methods - Physics
11. Calculus of Single & Multiple Variables | Mathematical Methods - Physics
12. Calculus of Single & Multiple Variables | Mathematical Methods - Physics
13. Calculus of Single & Multiple Variables | Mathematical Methods - Physics
14. Calculus of Single & Multiple Variables | Mathematical Methods - Physics
15. Calculus of Single & Multiple Variables | Mathematical Methods - Physics
16. Calculus of Single & Multiple Variables | Mathematical Methods - Physics
17. Calculus of Single & Multiple Variables | Mathematical Methods - Physics
18. Calculus of Single & Multiple Variables | Mathematical Methods - Physics
19. Calculus of Single & Multiple Variables | Mathematical Methods - Physics
20. Calculus of Single & Multiple Variables | Mathematical Methods - Physics
21. Calculus of Single & Multiple Variables | Mathematical Methods - Physics
22. Calculus of Single & Multiple Variables | Mathematical Methods - Physics
23. Calculus of Single & Multiple Variables | Mathematical Methods - Physics
24. Calculus of Single & Multiple Variables | Mathematical Methods - Physics
25. Calculus of Single & Multiple Variables | Mathematical Methods - Physics
26. Calculus of Single & Multiple Variables | Mathematical Methods - Physics
27. Calculus of Single & Multiple Variables | Mathematical Methods - Physics
28. Calculus of Single & Multiple Variables | Mathematical Methods - Physics
29. Calculus of Single & Multiple Variables | Mathematical Methods - Physics
30. Calculus of Single & Multiple Variables | Mathematical Methods - Physics
31. Calculus of Single & Multiple Variables | Mathematical Methods - Physics
32.Calculus of Single & Multiple Variables | Mathematical Methods - Physics
33. Calculus of Single & Multiple Variables | Mathematical Methods - Physics
34. Calculus of Single & Multiple Variables | Mathematical Methods - Physics
35. Calculus of Single & Multiple Variables | Mathematical Methods - Physics
36. Calculus of Single & Multiple Variables | Mathematical Methods - Physics
Example 1: Find the limit Calculus of Single & Multiple Variables | Mathematical Methods - Physics

Calculus of Single & Multiple Variables | Mathematical Methods - Physics

Example 2: Find the value of Calculus of Single & Multiple Variables | Mathematical Methods - Physics

Calculus of Single & Multiple Variables | Mathematical Methods - Physics

Continuity

f (x) is said to be continuous at x = a if R = L = V i.e.,
Calculus of Single & Multiple Variables | Mathematical Methods - Physics
In case a function is not defined at x = a , i.e. f(a) does not exist or in case

theR.H.L ≠ L.H.L , then we say that the function is discontinuous at x = a. Its graph will show a break at x = a.

Example:
(i)Calculus of Single & Multiple Variables | Mathematical Methods - Physics is discontinuous at x = a as f (a) does not exist.
(ii) Calculus of Single & Multiple Variables | Mathematical Methods - Physics is discontinuous at x = 0 because
Calculus of Single & Multiple Variables | Mathematical Methods - Physics
(iii) f (x) = 1 - cos e1x is discontinuous at x = 0 as f (0) = 1 - cos e1/0 is undefined. It is oscillating.
Example: Let the function f (x) be defined by
Calculus of Single & Multiple Variables | Mathematical Methods - Physics
f(x) will be continuous at those points only where rational and irrational values coincide i.e. ex = e1 - x ⇒ ex = Calculus of Single & Multiple Variables | Mathematical Methods - PhysicsSo /(x) is continuous at x = l/2 only.

Differentiability

f (x) is said to be differentiable at x = a if R' = L' i.e,
Calculus of Single & Multiple Variables | Mathematical Methods - Physics

Example: f(x) = e-x2 is differentiable but g(x) = Calculus of Single & Multiple Variables | Mathematical Methods - Physics is not differentiable.
Calculus of Single & Multiple Variables | Mathematical Methods - Physics
Right hand Limit Calculus of Single & Multiple Variables | Mathematical Methods - Physics
Left hand Limit Calculus of Single & Multiple Variables | Mathematical Methods - Physics
Thus R' ≠ L' means g(x)Calculus of Single & Multiple Variables | Mathematical Methods - Physicsis not differentiable.

Tangents and Normal

Let y = f (x) be a given curve and P(x, y)and Q(x + δx, y + δy) be two neighbouring points on it. Equation of the line PQ is
Calculus of Single & Multiple Variables | Mathematical Methods - PhysicsCalculus of Single & Multiple Variables | Mathematical Methods - Physics
This line will be tangent to the given curve at P if Q → P which in tem means that δx → 0 and we know that lim Calculus of Single & Multiple Variables | Mathematical Methods - Physics
Therefore the equation of the tangent is Y - y = Calculus of Single & Multiple Variables | Mathematical Methods - Physics
Normal at (x, y)
The normal at (x, v) being perpendicular to tangent will have its slope as Calculus of Single & Multiple Variables | Mathematical Methods - Physicsand hence its equation is Y - y = Calculus of Single & Multiple Variables | Mathematical Methods - Physics
Geometrical meaning of dy/dx
dv/dx represents the slope of the tangent to the given curve y = f(x) at any point (x, y)
Calculus of Single & Multiple Variables | Mathematical Methods - Physicswhere ψ is the angle which the tangent to the curve makes with +ve

direction of x-axis.
In case we are to find the tangent at any point (x1, y1) then Calculus of Single & Multiple Variables | Mathematical Methods - Physicsi.e. the value of  Calculus of Single & Multiple Variables | Mathematical Methods - Physicsat (x1, y1) will represent the slope of the tangent and hence its equation in this case will be
Calculus of Single & Multiple Variables | Mathematical Methods - Physics
Normal Calculus of Single & Multiple Variables | Mathematical Methods - Physics

Condition for tangent to be parallel or perpendicular to x-axis

If tangent is parallel to x-axis or normal is perpendicular to x-axis thenCalculus of Single & Multiple Variables | Mathematical Methods - Physics
If tangent is perpendicular to x-axis or normal is parallel to x-axis then
Calculus of Single & Multiple Variables | Mathematical Methods - Physics

Maxima and Minima

For the function y = f (x) at the maximum as well as minimum point the tangent is parallel to x-axis so that its slope is zero.
Calculate Calculus of Single & Multiple Variables | Mathematical Methods - Physics and solve for x. Suppose one root of Calculus of Single & Multiple Variables | Mathematical Methods - Physicsis at x = a .
If Calculus of Single & Multiple Variables | Mathematical Methods - Physics= negative for x = a, then maximum at x = a .
If Calculus of Single & Multiple Variables | Mathematical Methods - Physicspositive for x = a, then minimum at x = a .
If Calculus of Single & Multiple Variables | Mathematical Methods - Physicsat x = a , then find Calculus of Single & Multiple Variables | Mathematical Methods - Physics
IfCalculus of Single & Multiple Variables | Mathematical Methods - Physics0 at x = a, neither maximum nor minimum at x = a.
If Calculus of Single & Multiple Variables | Mathematical Methods - Physics
If Calculus of Single & Multiple Variables | Mathematical Methods - Physicsi.e., positive at x = a, then y is minimum at x = a and if Calculus of Single & Multiple Variables | Mathematical Methods - Physicsi.e -ve at

x = a , then y is maximum at x = a and so on.

Partial Differentiation

If a derivative of function of several independent variables be found with respect to any one of them, keeping the others as constants it is said to be partial derivative. The operation of finding the partial derivative of function of more than one independent variable is called partial differentiation.

Calculus of Single & Multiple Variables | Mathematical Methods - Physics
Calculus of Single & Multiple Variables | Mathematical Methods - Physics
Calculus of Single & Multiple Variables | Mathematical Methods - Physics

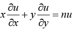
Euler Theorem of Homogeneous Function

If u is homogeneous function of x and y of degree n then Calculus of Single & Multiple Variables | Mathematical Methods - Physics
For n variable function f = f(x1,x2,x3.........xn) of degree n then
Calculus of Single & Multiple Variables | Mathematical Methods - Physics
Total derivative u = f(x,y) x = ∅(t) and y = ψ(t) then Calculus of Single & Multiple Variables | Mathematical Methods - Physics
Differentiation of implicit functions f(x, y) = c be an implicit relation between x and y which defines as a differential function of x then
Calculus of Single & Multiple Variables | Mathematical Methods - Physics
Change in variable u = f(x,y), x = ∅(s,t) and y = ∅(s,t)
Calculus of Single & Multiple Variables | Mathematical Methods - Physics

Maxima and Minima (of function of two independent variables)

Maximum Value of Function:

A function f (x,y) is said to have a maximum point (a,b), if these exists a neighbourhood N of (a,b) such that;

Calculus of Single & Multiple Variables | Mathematical Methods - Physics

Minimum Value of Function:

A function f (x,y) is said to have a minimum point (a,b), if these exists a neighbourhood N of (a,b) such that;

Calculus of Single & Multiple Variables | Mathematical Methods - Physics

 

Necessary and Sufficient Conditions for Maxima and Minima:

The necessary conditions for a functions f (x,y) to have either a maximum and minimum at a point (a,b) are f(a,b) = 0 and fy (a,b) = 0. The point (x,y) where x and y satiesfy f(x,y) = 0 and fy (x,y) = 0 are called the Stationary or the Critical value of the functions.

Suppose (a, b) is a critical value of the functions f (x,y). Then f(a,b) = 0 and fy (a,b) = 0. Now denote:

   Calculus of Single & Multiple Variables | Mathematical Methods - Physics

1. Then. the functions f (x,y) has maximum at (a,b) if AC - B2 > 0 and A < 0.

2. The functions f (x,y) has minimum at (a,b) if AC - B2 > 0 and A > 0.

Maximum and Minimum value of functions are called the Extreme value of the function.

Working Rule to find the maximum and minimum value of function f (x,y):

1. Find fx (x,y) and fy (x,y).

2. Solve the equations fx (x,y) = 0 and fy (x,y) = 0.

3. Then find fxx (x,y), fxy (x,y) , fyy (x,y).

4. Then A = fxx (a,b) , B = fxy (a,b), C = fyy (a,b).

5. If AC - B2 > 0 and A < 0 the f has maximum at (a,b).

6. If AC - B2 > 0 and A > 0 the f has minimum at (a,b).

7. If AC - B2 < 0, then f has neither a maximum nor a minimum at (a,b) . The point (a,b) is called Saddle Point .

8. If AC - B2 = 0, further investigation is necessary.

Example 3: For what values of x and y , does the integral Calculus of Single & Multiple Variables | Mathematical Methods - Physicsdt attain its maximum?

l(x,y) or f(x,y) =Calculus of Single & Multiple Variables | Mathematical Methods - Physics
fx = -(6-x-x2) = x2+x-6 = (x + 3)(x-2), fy =6 - y - y2 = -(y + 3)(y - 2)
f= 0 ⇒ x = 2,-3, f= 0 ⇒ y = 2,-3

so, stationary points are (2, 2),(2,-3),(-3,2)&(-3,-3)

fxx = 2x +1, fyy = -2y -1, fxy = 0

fxxfyy - (fxy)2  = - (2x +1) (2y +1)

At x = -3 and y = 2 and fxxfyy - (fxy)2 > 0

So maximum value of f (x, y) is obtained at x = -3 and y = 2

Example 4: If z = z(x, y) then prove that Calculus of Single & Multiple Variables | Mathematical Methods - Physics

Calculus of Single & Multiple Variables | Mathematical Methods - Physics
Calculus of Single & Multiple Variables | Mathematical Methods - Physics
Calculus of Single & Multiple Variables | Mathematical Methods - Physics
Calculus of Single & Multiple Variables | Mathematical Methods - Physics

Example 5: Find the first and second partial derivatives of z = x3 + y3 - 3axy and prove that Calculus of Single & Multiple Variables | Mathematical Methods - Physics

We have z = x3 + y3 - 3axy
Calculus of Single & Multiple Variables | Mathematical Methods - Physics
AlsoCalculus of Single & Multiple Variables | Mathematical Methods - Physics
Calculus of Single & Multiple Variables | Mathematical Methods - Physics
We observe that Calculus of Single & Multiple Variables | Mathematical Methods - Physics

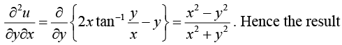
Example 6: If u = x2 Calculus of Single & Multiple Variables | Mathematical Methods - Physics
Show that Calculus of Single & Multiple Variables | Mathematical Methods - Physics and Calculus of Single & Multiple Variables | Mathematical Methods - Physics

We have Calculus of Single & Multiple Variables | Mathematical Methods - Physics
Calculus of Single & Multiple Variables | Mathematical Methods - Physics
Calculus of Single & Multiple Variables | Mathematical Methods - Physics

Similarly, Calculus of Single & Multiple Variables | Mathematical Methods - Physics
and Calculus of Single & Multiple Variables | Mathematical Methods - Physics

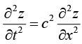
Example 7: If z = f (x + ct) + ∅(x - ct), prove that
Calculus of Single & Multiple Variables | Mathematical Methods - Physics

We have
Calculus of Single & Multiple Variables | Mathematical Methods - Physics
and Calculus of Single & Multiple Variables | Mathematical Methods - Physics
Again Calculus of Single & Multiple Variables | Mathematical Methods - Physics
and Calculus of Single & Multiple Variables | Mathematical Methods - Physics
From (i) and (ii), it follows that Calculus of Single & Multiple Variables | Mathematical Methods - Physics
This is an important partial differential equation, known as wave equation.

Example 8: If u = log (x3 + y3 +z3 - 3xyz) , show that Calculus of Single & Multiple Variables | Mathematical Methods - Physics

we have
Calculus of Single & Multiple Variables | Mathematical Methods - Physics
Calculus of Single & Multiple Variables | Mathematical Methods - Physics
Calculus of Single & Multiple Variables | Mathematical Methods - Physics
Now Calculus of Single & Multiple Variables | Mathematical Methods - Physics

Calculus of Single & Multiple Variables | Mathematical Methods - Physics

Example 9: If u = f (r) and x = r cos θ, y = r sin θ, prove that
Calculus of Single & Multiple Variables | Mathematical Methods - Physics

we have Calculus of Single & Multiple Variables | Mathematical Methods - Physics
Similarly, Calculus of Single & Multiple Variables | Mathematical Methods - Physics
Calculus of Single & Multiple Variables | Mathematical Methods - Physics
now to find Calculus of Single & Multiple Variables | Mathematical Methods - Physicsetc,we write r = (x+ v2)1/2
Calculus of Single & Multiple Variables | Mathematical Methods - Physics
Similarly, Calculus of Single & Multiple Variables | Mathematical Methods - Physics
Substituting the values of Calculus of Single & Multiple Variables | Mathematical Methods - Physicsetc. in (i), we get
Calculus of Single & Multiple Variables | Mathematical Methods - Physics

Example 10: Show that Calculus of Single & Multiple Variables | Mathematical Methods - Physics where Calculus of Single & Multiple Variables | Mathematical Methods - Physics


Calculus of Single & Multiple Variables | Mathematical Methods - Physics
∴ z is a homogeneous function of degree 2 in x and y .
By Euler’s theorem, we getCalculus of Single & Multiple Variables | Mathematical Methods - Physics
Calculus of Single & Multiple Variables | Mathematical Methods - Physics
Hence (i) becomes
Calculus of Single & Multiple Variables | Mathematical Methods - Physics

Example 11: If z is a homogeneous function of degree n in x and y , show that
Calculus of Single & Multiple Variables | Mathematical Methods - Physics

By Euler's theorem, Calculus of Single & Multiple Variables | Mathematical Methods - Physics(i)
Differentiating (i) partially w.r.t. x, we get Calculus of Single & Multiple Variables | Mathematical Methods - Physics
Calculus of Single & Multiple Variables | Mathematical Methods - Physics(ii)
Again differentiating (i) partially w.r.t. y , we get Calculus of Single & Multiple Variables | Mathematical Methods - Physics
Calculus of Single & Multiple Variables | Mathematical Methods - Physics(iii)

Multiplying (ii) by x and (iii) by y and adding, we get
Calculus of Single & Multiple Variables | Mathematical Methods - Physics

Example 12: Given u = sinCalculus of Single & Multiple Variables | Mathematical Methods - Physicsx = et and v = t2, find du/dt as a function of t. verify your dt result by direct substitution.

We have Calculus of Single & Multiple Variables | Mathematical Methods - Physics
Calculus of Single & Multiple Variables | Mathematical Methods - Physics
Calculus of Single & Multiple Variables | Mathematical Methods - Physics
Calculus of Single & Multiple Variables | Mathematical Methods - Physics

Example 13: If x increases at the rate of 2 cm /sec at the instant when x = 3 cm . and at what rate must y be changing in order that the function 2xy - 3x2y shall be neither increasing nor decreasing?

Let u = 2xy-3x2y, so that
Calculus of Single & Multiple Variables | Mathematical Methods - Physics

when x = 3 and y = 1, Calculus of Single & Multiple Variables | Mathematical Methods - Physicsand u is neither increasing nor decreasing ,i.e.,Calculus of Single & Multiple Variables | Mathematical Methods - Physics
∴ (i) becomes 0 = (2-6x3)2 + (2x3-3x9)Calculus of Single & Multiple Variables | Mathematical Methods - Physics
or Calculus of Single & Multiple Variables | Mathematical Methods - Physicscm/sec. Thus y is decresing at the rate of 32/21 cm/sec.

Example 14: If μ = F(x-y,y -z,z- x) prove that
Calculus of Single & Multiple Variables | Mathematical Methods - Physics

Put x-y = r,y-z = s and z-x = t, so that u = f (r,s,t) .
Calculus of Single & Multiple Variables | Mathematical Methods - Physics
Calculus of Single & Multiple Variables | Mathematical Methods - Physics(i)
Similarly, Calculus of Single & Multiple Variables | Mathematical Methods - Physics(ii)
Calculus of Single & Multiple Variables | Mathematical Methods - Physics(iii)
Adding (i), (ii) and (iii), we get the required result. 

Jacobian

If u and v are two function of two independent variable x and y then the determinant
Calculus of Single & Multiple Variables | Mathematical Methods - Physics
is called the Jacobian of u and v with respect to x and y which is written as Calculus of Single & Multiple Variables | Mathematical Methods - Physicsor

Calculus of Single & Multiple Variables | Mathematical Methods - Physics
If u, v and w are functions of independent variable x, y and z then the determinant
Calculus of Single & Multiple Variables | Mathematical Methods - Physics
is called the Jacobian of u , v and w with respect to of x, y z which is written as Calculus of Single & Multiple Variables | Mathematical Methods - Physics

Properties of Jacobian

1. Calculus of Single & Multiple Variables | Mathematical Methods - Physics
2. Chain rule for Jacobian if u,v arc function of r,s are function of x,y then
Calculus of Single & Multiple Variables | Mathematical Methods - Physics
3. If u1, u2, u3 instead of being given explicitly in terms x1, x2, x3 be connected with them equations such as
Calculus of Single & Multiple Variables | Mathematical Methods - Physics
then Calculus of Single & Multiple Variables | Mathematical Methods - Physics
((-1)3 is for three variable system)
4. If u1, u2, u3 be functions of x1, x2, x3 then the necessary and sufficient condition for existence of a functional relationship of the form f1 (u1u2, u3) = 0 isCalculus of Single & Multiple Variables | Mathematical Methods - Physics
Example 15: In a polar coordinates x = r cos θ y = r cos θ then findCalculus of Single & Multiple Variables | Mathematical Methods - Physics

Calculus of Single & Multiple Variables | Mathematical Methods - Physics
Calculus of Single & Multiple Variables | Mathematical Methods - Physics

Example 16: Calculus of Single & Multiple Variables | Mathematical Methods - Physics

Calculus of Single & Multiple Variables | Mathematical Methods - Physics
Calculus of Single & Multiple Variables | Mathematical Methods - Physics

Example 17: u = x2 - y2,v = 2xy x = rcosθ,y = rsinθ findCalculus of Single & Multiple Variables | Mathematical Methods - Physics

Use the formulaCalculus of Single & Multiple Variables | Mathematical Methods - Physics
Calculus of Single & Multiple Variables | Mathematical Methods - Physics
Calculus of Single & Multiple Variables | Mathematical Methods - Physics
Calculus of Single & Multiple Variables | Mathematical Methods - Physics

Example 18: u = xyz,v = x2 + y2 + z2,w = x + y + z find Calculus of Single & Multiple Variables | Mathematical Methods - Physics

We are using property three
f1 = u - xyz, f= v - x2 - v- z2, f3 = w-x-y-z
Calculus of Single & Multiple Variables | Mathematical Methods - Physics
Calculus of Single & Multiple Variables | Mathematical Methods - Physics
Calculus of Single & Multiple Variables | Mathematical Methods - Physics

Taylor’s Series and Maclaurine Series Expansion

If a function f(x) has continuous derivatives up to (n + 1)th order, then this function can be expanded in the following way:
Calculus of Single & Multiple Variables | Mathematical Methods - Physics
where Rn called the remainder after (n + 1) terms, is given by
Calculus of Single & Multiple Variables | Mathematical Methods - Physics
When this expansion converges over a certain range of x that is,Calculus of Single & Multiple Variables | Mathematical Methods - Physics then the expansion is called Taylor Series of f(x) expanded about a.
If a = 0, the series is called Maclaurin Series:
Calculus of Single & Multiple Variables | Mathematical Methods - Physics

Maclaurine’s Development

Changing a to 0 and h to x one will get
Calculus of Single & Multiple Variables | Mathematical Methods - Physics
Where fn (ξ) is identified as reminder term ξ = θx and 0 < θ < 1

Example 19: In the Taylor series expansion of exp x + sin(x) about x = π then what is coefficient of (x - π)2.

Taylor series about x = π
Calculus of Single & Multiple Variables | Mathematical Methods - Physics

f(x) = exp x + sin(x)

f(π) = exp π + sin(π) = exp π

f' (x) = exp x + cos x ⇒ f'(π) = exp π + cos π = exp π -1
f'' (x) = expx - sinx ⇒ f''(π) = expπ  sinπ ⇒ f'' (π) = expπ
The coefficient of (x - π)2 is Calculus of Single & Multiple Variables | Mathematical Methods - Physics

Example 20: Expand Maclaurin's series expand of tan x up to x3

f(x) = tanx ⇒ f(0) = 0
f'(x) = sec2 x ⇒ f'(0) = 1

f''(x) = 2 tan x sec2 x ⇒ f''(0) = 0

f''' (x) = 2sec2 x +6tan2 xsec2 x ⇒ f''' (0) = 2
Calculus of Single & Multiple Variables | Mathematical Methods - Physics
Calculus of Single & Multiple Variables | Mathematical Methods - Physics

Some Important Expansions
1. Calculus of Single & Multiple Variables | Mathematical Methods - Physics
2.Calculus of Single & Multiple Variables | Mathematical Methods - Physics
3.Calculus of Single & Multiple Variables | Mathematical Methods - Physics 
4.Calculus of Single & Multiple Variables | Mathematical Methods - Physics
5.Calculus of Single & Multiple Variables | Mathematical Methods - Physics
6.Calculus of Single & Multiple Variables | Mathematical Methods - Physics
7.Calculus of Single & Multiple Variables | Mathematical Methods - Physics
8.Calculus of Single & Multiple Variables | Mathematical Methods - Physics
9. Calculus of Single & Multiple Variables | Mathematical Methods - Physics


Example 21: Expand exp(sin x) by maclaurin series upto the term containing x4

Calculus of Single & Multiple Variables | Mathematical Methods - Physics
Calculus of Single & Multiple Variables | Mathematical Methods - Physics
Calculus of Single & Multiple Variables | Mathematical Methods - Physics

Taylor 's theorem for function in two variable .
Calculus of Single & Multiple Variables | Mathematical Methods - Physics
Puth h = x - a ,k = y - b
f(x, y) = f(a, b) + [(x - a)fx (a, b) + (y - b)fy (a, 6)]
Calculus of Single & Multiple Variables | Mathematical Methods - Physics
Calculus of Single & Multiple Variables | Mathematical Methods - Physics

Example 22: Expand ex log(1 + y) upto powers of x and y upto term of two degree.

f (x, y) = ex log(1 + y) ⇒ f (0,0) = 0
fx(x, y) = elog(1 + y) ⇒ fx (0,0) = 0,Calculus of Single & Multiple Variables | Mathematical Methods - Physics
fxx (x, y) = elog(1+y) ⇒ fxx  (0,0) = 0,Calculus of Single & Multiple Variables | Mathematical Methods - Physics
Calculus of Single & Multiple Variables | Mathematical Methods - Physics
Calculus of Single & Multiple Variables | Mathematical Methods - Physics

The document Calculus of Single & Multiple Variables | Mathematical Methods - Physics is a part of the Physics Course Mathematical Methods.
All you need of Physics at this link: Physics
78 videos|18 docs|24 tests

FAQs on Calculus of Single & Multiple Variables - Mathematical Methods - Physics

1. What is the difference between limits and continuity in calculus?
Ans.Limits refer to the value that a function approaches as the input approaches a certain point, while continuity means that a function is uninterrupted and has no gaps or jumps at that point. A function is continuous at a point if the limit exists at that point and equals the function's value.
2. How do you find the partial derivatives of a multivariable function?
Ans.Partial derivatives are found by differentiating a multivariable function with respect to one variable while keeping the other variables constant. For example, if you have a function f(x, y), the partial derivative with respect to x is denoted as ∂f/∂x and calculated by treating y as a constant.
3. What is the Jacobian and how is it used in calculus?
Ans.The Jacobian is a matrix of all first-order partial derivatives of a vector-valued function. It is used to analyze how functions change with respect to changes in their variables, especially in transforming coordinates and in multiple integrals.
4. How do you derive the Taylor series expansion of a function?
Ans.To derive the Taylor series expansion of a function, you take the function's derivatives at a specific point (usually around x=0 for Maclaurin series) and use the formula: \( f(x) = f(a) + f'(a)(x-a) + \frac{f''(a)}{2!}(x-a)^2 + \ldots \) where \( a \) is the point of expansion. The series continues infinitely if the function is infinitely differentiable at that point.
5. What are the conditions for differentiability of a function at a point?
Ans.A function is differentiable at a point if it is continuous at that point and the limit defining the derivative exists. This means that the limit of the difference quotient must approach a finite value as the interval approaches zero.
Related Searches

shortcuts and tricks

,

Calculus of Single & Multiple Variables | Mathematical Methods - Physics

,

Previous Year Questions with Solutions

,

Calculus of Single & Multiple Variables | Mathematical Methods - Physics

,

Free

,

MCQs

,

mock tests for examination

,

Summary

,

Calculus of Single & Multiple Variables | Mathematical Methods - Physics

,

study material

,

ppt

,

Exam

,

practice quizzes

,

Important questions

,

Sample Paper

,

Semester Notes

,

video lectures

,

Objective type Questions

,

past year papers

,

Extra Questions

,

Viva Questions

,

pdf

;