Physics Exam  >  Physics Notes  >  Oscillations, Waves & Optics  >  Wave Motion: Assignment

Wave Motion: Assignment | Oscillations, Waves & Optics - Physics PDF Download

Q.1. Calculate the speed of transverse wave in a wire of radius 0.05cm under the tension produced by 1.0 kg-wt. The density of the material of wire is 3 9.8gm/cm3.

The speed of transverse waves in a string of mass m per unit length under a tension

T is given by
Wave Motion: Assignment | Oscillations, Waves & Optics - Physics
Here, T =1.0 kg-wt =1.0 x 9.8N    [∵ 1kg-wt= g newton]
And, m = (πr2) x density
= 3.14 x (0.05 x 10-2m) x (9.8 x 10kg/m3) = 7.7 x 10-5 kg/m.
Wave Motion: Assignment | Oscillations, Waves & Optics - Physics


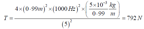
Q.2. A flexible string of length 0.99m and mass 5 gm is stretched by a tension of T Newton. The string vibrates in five segments with a frequency of 1000 Hz. Calculate the tension in the string.

The frequency of a wire of length l, mass per unit length m, stretched under a

tension T and vibrating in p loops is given by
Wave Motion: Assignment | Oscillations, Waves & Optics - Physics
The tension is thus given by
Wave Motion: Assignment | Oscillations, Waves & Optics - Physics
Putting the given values, we get
Wave Motion: Assignment | Oscillations, Waves & Optics - Physics


Q.3. The dimensions of the membrane of a rectangular drum are 10cm x 20cm. It is stretched to a tension of 5kg/cm and its mass is 20 gm. What is the fundamental frequency?

The fundamental frequency of a rectangular membrane of sides a and b is given

by
Wave Motion: Assignment | Oscillations, Waves & Optics - Physics

Where T is the tension per unit length of the boundary of the membrane and M is the

mass per unit area of the membrane.
Here, T = 5kg/cm=5 x 1000 x 980dyne/cm, M = 20/(10 x 20)= 0.1gm/cm2
a = 10 cm and b = 20cm
Wave Motion: Assignment | Oscillations, Waves & Optics - Physics


Q.4. A wire under tension vibrates with a frequency of 450 per second. What would be the fundamental frequency if the wire was half as long, twice as thick and under one-fourth tension?

The frequency n of a wire of length l, mass per unit length m, stretched by a

tension T and vibrating in p segments, is given by
Wave Motion: Assignment | Oscillations, Waves & Optics - Physics    .... (1)
For emitting lowest characteristic frequency n = 450Hz it should vibrate in one segment i.e. p = . Also m =πr2d where r is the radius and d the density. Therefore, we have
Wave Motion: Assignment | Oscillations, Waves & Optics - Physics    .....(2)
Now, let n' be the frequency when l is reduced to l/2, r is increased to 2r and T is

reduced to T/4. Thus
Wave Motion: Assignment | Oscillations, Waves & Optics - Physics
Comparing with equation (i), we see that
Wave Motion: Assignment | Oscillations, Waves & Optics - Physics


Q.5. The two parts of a sonometer wire divided by a moveable knife-edge differ in length by 2mm and produce 1 beat per second when sounded together. Find their frequencies, if the whole length of the wire is 1 meter.

Let l1 and l2 be the lengths of the two parts of the sonometer wire and n1 and ntheir frequencies. Then
l1 + l2 = 100cm and, l1 - l2 = 2.0mm = 0.2cm.
Solving these two equations, we get l1 = 50.1cm and l2 = 49.9 cm
According to the law of length of stretched strings, we have n1l1 = n2l2:
But 1 beat is produced in 1 second, so that n2-n1 = 1 or n2 = n1+1.
Therefore n1l1 = (n1+l)l2.
Substituting the values of l1 and l2, we get n1 x 50.1 = (n1+ 1) x 49.9
or 50.1n1 - 49.9n= 49.9
⇒ 0.2n1 = 49.9
Wave Motion: Assignment | Oscillations, Waves & Optics - Physics


Q.6. In Melde’s experiment the string vibrates in 5 loops with a load of 20 gm. How much load will be required to make the string vibrate in 2 loops?

In Melde’s experiment the string vibrates with the fixed frequency n of the fork.

Hence if the length l is kept. If Tp be the tension required to produce p loops, we have
Wave Motion: Assignment | Oscillations, Waves & Optics - Physics
Therefore, if T5 and T2 be the tensions to produce 5 and 2 loops respectively, we have
Wave Motion: Assignment | Oscillations, Waves & Optics - Physics
Here,
Wave Motion: Assignment | Oscillations, Waves & Optics - Physics


Q.7. An open organ pipe is suddenly closed with the result that the second overtone of the closed pipe is found to be higher in frequency by 100 vibrations/s than the first overtone of the original pipe. What is the fundamental frequency of the open pipe?

The frequency of the open organ pipe is
Wave Motion: Assignment | Oscillations, Waves & Optics - Physics  where, n =1,2,..............
The first overtone frequency of the open organ pipe is
Wave Motion: Assignment | Oscillations, Waves & Optics - Physics
The frequency of the closed organ pipe is
Wave Motion: Assignment | Oscillations, Waves & Optics - Physics      where, n =0,1,2,.............
The second overtone frequency of the closed organ pipe is
Wave Motion: Assignment | Oscillations, Waves & Optics - Physics
Given f1 - f2 = 100 vibration/sec
Wave Motion: Assignment | Oscillations, Waves & Optics - Physics
∴ Fundamental frequency of open pipe, Wave Motion: Assignment | Oscillations, Waves & Optics - Physics


Q.8. Calculate the tensile stress in a steel wire of density 7.5gm/ cm3 when the velocity of transverse waves in the wire is 400m/s.

The transverse waves velocity is
Wave Motion: Assignment | Oscillations, Waves & Optics - Physics
So that the tension (force) in the wire of mass m per unit length is given by
T= v2m
If A be the area of cross-section of the wire, then
Wave Motion: Assignment | Oscillations, Waves & Optics - Physics
Now, m = A x ρ, where ρ is the density of the material of the wire.
Wave Motion: Assignment | Oscillations, Waves & Optics - Physics
= (400,000cm/sec2) x (7.5 gm/cm3)= 1.2 x 1010 dynes/cm2.


Q.9. Four violin strings, all of the same length and material, but of diameters in the ratio 4:3:2:1 are to be stretched so that each gives a note whose frequency is 3/2 times that of the preceding string. If the stretching force of the first string is 2.048kg-wt, calculate the tensions in the other strings.

Let T1, T2, T3, T4 be the tensions and 4r,3r,2r, r the radii of the four strings. Their

length l and density of material d are same. In view of the given data, let their

frequencies be respectively n, (3/ 2)n, (9/4)n and (27/8)n. Then we have
Wave Motion: Assignment | Oscillations, Waves & Optics - Physics     ...(1)
Wave Motion: Assignment | Oscillations, Waves & Optics - Physics    ...(2)
Wave Motion: Assignment | Oscillations, Waves & Optics - Physics    ....(3)
And
Wave Motion: Assignment | Oscillations, Waves & Optics - Physics    ... (4)
Dividing equation (2) by (1), we have
Wave Motion: Assignment | Oscillations, Waves & Optics - Physics
Wave Motion: Assignment | Oscillations, Waves & Optics - Physics
Dividing equation (3) by (1), we have
Wave Motion: Assignment | Oscillations, Waves & Optics - Physics
Wave Motion: Assignment | Oscillations, Waves & Optics - Physics
Dividing equation (4) by (1), we have
Wave Motion: Assignment | Oscillations, Waves & Optics - Physics
Wave Motion: Assignment | Oscillations, Waves & Optics - Physics


Q.10. An open organ pipe sounding its fundamental note is in tune with a fork of frequency 439 cycles/s. How much must the pipe be shortened or lengthened in order that 2 beats shall be heard when it sounded with fork? Assume the speed of sound is 342 m/s.

Wave Motion: Assignment | Oscillations, Waves & Optics - Physics
The new frequency with the changed length L1 is f1= 439+2 = 441
Wave Motion: Assignment | Oscillations, Waves & Optics - Physics 
The pipe must be shortened by 0.3895-0.3877=0.0018m or 1.8mm or lengthened by

0.3913-0.3895 = 0.0018m = 1.8mm, so that 2 beats/s may be heard when it is sounded

with the fork.


Q.11. A string vibrates according to the equation
Wave Motion: Assignment | Oscillations, Waves & Optics - Physics
where x and y are in cm and t in second. Find out the amplitude and velocity of the two 
component waves whose superposition can give rise to this vibration. What is the distance between adjacent node? What is the velocity of a particle of the string at x=1.5cm at t = 9/8second?

The given equation
Wave Motion: Assignment | Oscillations, Waves & Optics - Physics     .....(1)
represents a stationary wave. It may be written as
Wave Motion: Assignment | Oscillations, Waves & Optics - Physics
The two sine terms represent two harmonic waves traveling in opposite directions. These

two waves constitute the given stationary wave. The component waves may be written as
Wave Motion: Assignment | Oscillations, Waves & Optics - Physics
Comparing the component wave equations with the standard equation,
Wave Motion: Assignment | Oscillations, Waves & Optics - Physics
Amplitude a= 5/2cm, Wavelengthλ = 6cm, Velocity v =120cm/sec and frequency n = v/λ= sec-1
The distance between adjacent nodes is λ/2 = 3cm.
Differentiating equation (i) with respect to t , we get
Wave Motion: Assignment | Oscillations, Waves & Optics - Physics
At x=1.5cm and t = 9/8sec, we have
Wave Motion: Assignment | Oscillations, Waves & Optics - Physics



Q.12. A string of mass 2.0gm/meter carries progressive waves of amplitude 1.5cm,

frequency 60sec-1 and speed 200meter / sec. Calculate the energy per meter length of the wire, and the rate of energy propagation in the wire.

The energy per meter length of the wire is given by, in usual notations,
Putting the given values:
E = 2 x (3.14)2 x (60 sec-1)2 x (1.5 x 10-2m)x (2.0 x 10-3kg/m)
= 3.2 x 10-2J/m
Rate of energy propagation = energy per unit length x wave speed
= 3.2 x 10-2Jm-1 x 200ms-1

= 6.4W


Q.13. A wire of length 60.0cm and linear density 0.026 gm/cm3 is joined to another wire of length 86.6cm and linear density 3 0.078 gm/cm. It is stretched between two supports fixed in a horizontal line under a tension of 10 kg. Find the lowest frequency of an external source which would set up standing waves in the compound wire with a node at the joint, and the total number of loops in which the wire would vibrate at this frequency.

For the first wire; l = 60.0cm, m = 0.026gm/cm3, and T =10 x 1000 x 980 dynes.

Therefore, its natural frequencies are
Wave Motion: Assignment | Oscillations, Waves & Optics - Physics

Wave Motion: Assignment | Oscillations, Waves & Optics - Physics
For the second wire; l = 86.6cm, m = 0.078gm/cm and T =10x1000x980 dynes.Therefore, its natural frequencies are
Wave Motion: Assignment | Oscillations, Waves & Optics - Physics
Wave Motion: Assignment | Oscillations, Waves & Optics - Physics
Wave Motion: Assignment | Oscillations, Waves & Optics - Physics

When the compound wire is excited, it would vibrate with a single frequency which must be one of the natural frequencies of both the individual wires if the standing waves are to be set up. We see from equation (i) and (ii) that the natural frequencies which is common to both wires is 323, which is second harmonic of the first wire and fifth harmonic of the  second wire. With this frequency the first wire vibrates in 2 loops and the second one is 5 loops. Thus, required frequency of the external source = 323 and total number of loops in the compound wire = 2+5 = 7.


Q.14. In Melde’s experiment the string vibrates in 5 loops with a load of 20 gm. How much load will be required to make the string vibrate in 2 loops?

In Melde’s experiment the string vibrates with the fixed frequency n of the fork.
Hence if the length l is kept. If p T be the tension required to produce p loops, we have
Wave Motion: Assignment | Oscillations, Waves & Optics - Physics
Therefore, if  T5 and T2 be the tensions to produce 5 and 2 loops respectively, we have
Wave Motion: Assignment | Oscillations, Waves & Optics - Physics
Here,
Wave Motion: Assignment | Oscillations, Waves & Optics - Physics


Q.15. A given 90cm long wire of sonometer is divided in three parts by two bridges whose fundamental frequencies are in the ratio 3: 4:6. Find the positions of the bridges.

By the law of length of stretched strings, we have
n1l1= n2l2=n3l3
Given that n1:n2:n3 = 3:4:6
The least common multiple is 12, so that we must have
l1:l2:l3 = 4:3:2

The wire is 90cmlong. Hence to divide it in three parts in ratio 4:3: 2 , the bridges must

be placed at 40cm and 70 cm.

The document Wave Motion: Assignment | Oscillations, Waves & Optics - Physics is a part of the Physics Course Oscillations, Waves & Optics.
All you need of Physics at this link: Physics
54 videos|22 docs|14 tests
Related Searches

mock tests for examination

,

shortcuts and tricks

,

Previous Year Questions with Solutions

,

video lectures

,

Extra Questions

,

Waves & Optics - Physics

,

Wave Motion: Assignment | Oscillations

,

Summary

,

Sample Paper

,

Exam

,

practice quizzes

,

ppt

,

pdf

,

Wave Motion: Assignment | Oscillations

,

study material

,

Objective type Questions

,

Important questions

,

past year papers

,

Waves & Optics - Physics

,

Semester Notes

,

Wave Motion: Assignment | Oscillations

,

Waves & Optics - Physics

,

Free

,

MCQs

,

Viva Questions

;