Physics Exam  >  Physics Notes  >  Oscillations, Waves & Optics  >  Polarization of light - I: Assignment

Polarization of light - I: Assignment | Oscillations, Waves & Optics - Physics PDF Download

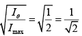
Q.1. Two polarizing sheets have their polarizing directions parallel. Determine the angle by which either sheet must be turned so that the intensity falls to half of its value.

Iθ = Imaxcos2θ (Malus’ Law)

cosθ = Polarization of light - I: Assignment | Oscillations, Waves & Optics - Physics

θ = ±45 , ± 135


Q.2. Light is incident from water (μ =1.33) on the glass (μ =1.5) . Find the polarizing angle for the boundary separating water and glass.

Polarization of light - I: Assignment | Oscillations, Waves & Optics - Physics = 1.1278

∴QP = 48.4o


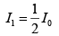
Q.3. A system of three polarizing sheets intercept a beam of initially unpolarized light. The polarizing direction of the first sheet is parallel the y - axis that of the second sheet is at angle of θ counterclockwise from the y - axis and that of the third sheet is parallel to the x -axis. The intensity of light emerging from the three-sheet system is 11.52% of the original intensity I0 . Determine to angle θ . In which direction is the emerging light polarized.

As the light passing through the first sheet is unpolarized, the intensity I1 of the light transmitted by the first sheet is given by the one-half rule: 

Polarization of light - I: Assignment | Oscillations, Waves & Optics - Physics

Because the polarizing direction of the first sheet is parallel to the y - axis, the polarization of the light transmitted by it is also along y - axis. 

Because the light reaching the second sheet is polarized, the intensity I 2 of the light transmitted by that sheet is given by the cosine-squared rule. The angle q in the rule is the angle between the polarization direction of the incoming light, parallel to the y - axis, and the polarizing direction of the second sheet, q being counterclockwise from the y -

axis. Thus Polarization of light - I: Assignment | Oscillations, Waves & Optics - Physics

Because the light entering the third sheet is polarized and the polarizing between the second and the third sheets is ( 90 -θ ) , the transmitted intensity is again given by Malus law. Thus 

Polarization of light - I: Assignment | Oscillations, Waves & Optics - Physics

From (iii), (ii) and (i)   

Polarization of light - I: Assignment | Oscillations, Waves & Optics - Physics

or Polarization of light - I: Assignment | Oscillations, Waves & Optics - Physics

cos4θ - cos2θ + 0.2304 = 0

cos2θ = 0.64 or  0.36

cosθ = ±0.8 or ±0.6

θ = 36.870 or 53.130


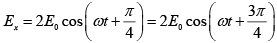
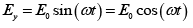
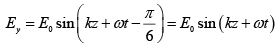
Q.4. The electric field components of a plane electromagnetic wave arePolarization of light - I: Assignment | Oscillations, Waves & Optics - Physics ; Polarization of light - I: Assignment | Oscillations, Waves & Optics - Physics . Draw the diagram showing the state of

polarization ( i.e . Circular, plane, elliptical or unpolarized) when

(a) ∅ = 0 (b) ∅ =π / 2 (c) ∅ =π / 4

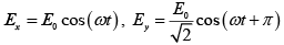
Polarization of light - I: Assignment | Oscillations, Waves & Optics - Physics and Polarization of light - I: Assignment | Oscillations, Waves & Optics - Physics

(a) At ∅   = 0 ,

Polarization of light - I: Assignment | Oscillations, Waves & Optics - Physics = Polarization of light - I: Assignment | Oscillations, Waves & Optics - Physics Polarization of light - I: Assignment | Oscillations, Waves & Optics - Physics

The phase difference is δ = π/2 and amplitudes are not equal. 

Therefore, it represent elliptically polarized.

 Polarization of light - I: Assignment | Oscillations, Waves & Optics - Physics

Since at z = 0 , 

Polarization of light - I: Assignment | Oscillations, Waves & Optics - Physics

It is a right elliptically polarized

(b) At ∅ = π/2

Polarization of light - I: Assignment | Oscillations, Waves & Optics - Physics

Polarization of light - I: Assignment | Oscillations, Waves & Optics - Physics

The phase difference is δ = 0 , therefore it represents linearly polarized.

Polarization of light - I: Assignment | Oscillations, Waves & Optics - Physics

Since at z = 0 , 

Polarization of light - I: Assignment | Oscillations, Waves & Optics - Physics

(c) At ∅ =π / 4

Polarization of light - I: Assignment | Oscillations, Waves & Optics - Physics

Polarization of light - I: Assignment | Oscillations, Waves & Optics - Physics

The phase difference is  δ = 3π/4 and amplitudes are not equal. Therefore, it represents 

elliptically polarized 

Polarization of light - I: Assignment | Oscillations, Waves & Optics - Physics

Since, at z = 0 , 

Polarization of light - I: Assignment | Oscillations, Waves & Optics - Physics, Polarization of light - I: Assignment | Oscillations, Waves & Optics - Physics

It is right elliptically polarized.

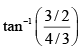
Q.5. What will be the Brewster angle for a glass slab (n =1.5) immersed in water (n = 4/3).

Polarization of light - I: Assignment | Oscillations, Waves & Optics - Physics = Polarization of light - I: Assignment | Oscillations, Waves & Optics - Physics = Polarization of light - I: Assignment | Oscillations, Waves & Optics - Physics = 48.40


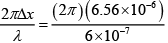
Q.6. The value of refractive indices for ordinary and extraordinary rays no and ne for calcite are 1.642 and 1.478, respectively. Calculate the phase retardation for λ= 6000Ao with the plate thickness 0.04mm.

Path difference introduced by the plate 

Δx= (no - ne)t = (1.642- 1.478) x 4 x 10-5 = 6.56 x 10-6m

Phase difference 

δ = Polarization of light - I: Assignment | Oscillations, Waves & Optics - Physics = 68.66 rad


Q.7. Sun rays incident obliquely on a pond are completely polarized by reflection. Find the elevation of the sun (in degrees) above the horizon.

tanθ= μ = 1.33 (Brewster’s law) 

∴θ= 530

Therefore, the elevation of the sun is 90 - 530 = 370


Q.8. What is the minimum thickness of a quarter wave plate if the material has μ =1.553 and μe = 1.544 at a wavelength of λ = 6000Ao.

t = Polarization of light - I: Assignment | Oscillations, Waves & Optics - Physics = Polarization of light - I: Assignment | Oscillations, Waves & Optics - Physics = 1.67 x 10-3 cm


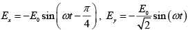
Q.9. Discuss the state of polarization when the x and y components of the electric field are given by the following equations:

(a) Polarization of light - I: Assignment | Oscillations, Waves & Optics - Physics

(b) Polarization of light - I: Assignment | Oscillations, Waves & Optics - Physics

(c) Polarization of light - I: Assignment | Oscillations, Waves & Optics - Physics

(d) Polarization of light - I: Assignment | Oscillations, Waves & Optics - Physics

(a) Polarization of light - I: Assignment | Oscillations, Waves & Optics - Physics

Polarization of light - I: Assignment | Oscillations, Waves & Optics - Physics

Polarization of light - I: Assignment | Oscillations, Waves & Optics - Physics

At z = 0 , 

Polarization of light - I: Assignment | Oscillations, Waves & Optics - Physics

The phase difference is δ =π . Therefore, it is linearly polarized.

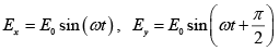
(b) Polarization of light - I: Assignment | Oscillations, Waves & Optics - Physics,

Polarization of light - I: Assignment | Oscillations, Waves & Optics - Physics

Polarization of light - I: Assignment | Oscillations, Waves & Optics - Physics

At z = 0 , 

Polarization of light - I: Assignment | Oscillations, Waves & Optics - Physics

The phase difference is δ = π/2 and amplitudes are equal, therefore it represents the 

circularly polarized light.

Polarization of light - I: Assignment | Oscillations, Waves & Optics - Physics

It is a left circularly polarized. 

(c) Polarization of light - I: Assignment | Oscillations, Waves & Optics - Physics

Polarization of light - I: Assignment | Oscillations, Waves & Optics - Physics

Polarization of light - I: Assignment | Oscillations, Waves & Optics - Physics

At z = 0 , Polarization of light - I: Assignment | Oscillations, Waves & Optics - Physics

The phase difference is δ = π/2 and amplitudes are equal. Therefore, it represents circularly polarized light. 

Since,Polarization of light - I: Assignment | Oscillations, Waves & Optics - Physics

It is a right circularly polarized 

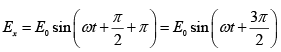
(d) Polarization of light - I: Assignment | Oscillations, Waves & Optics - Physics

Polarization of light - I: Assignment | Oscillations, Waves & Optics - Physics

Polarization of light - I: Assignment | Oscillations, Waves & Optics - Physics

At z = 0 ; 

Polarization of light - I: Assignment | Oscillations, Waves & Optics - Physics

The phase difference is δ = π/4 , therefore, it represents elliptically polarized light  It is a left elliptically polarized

Q.10. A right – circularly polarized beam is incident on a calcite half - wave plate. Show that the emergent beam will be left – circularly polarized.

Equation of right circularly polarized beam is Polarization of light - I: Assignment | Oscillations, Waves & Optics - Physics

Calcite half wave plate introduced additional π phase difference. Thus, the equation of emergent beam is 

Polarization of light - I: Assignment | Oscillations, Waves & Optics - Physics and Ey = E0sin(ωt)

which represents left circularly polarized beam.

The document Polarization of light - I: Assignment | Oscillations, Waves & Optics - Physics is a part of the Physics Course Oscillations, Waves & Optics.
All you need of Physics at this link: Physics
54 videos|22 docs|14 tests

FAQs on Polarization of light - I: Assignment - Oscillations, Waves & Optics - Physics

1. What is polarization of light?
Ans. Polarization of light refers to the orientation of the electric field vector of a light wave. When light waves are unpolarized, the electric field vector can vibrate in any direction perpendicular to the direction of propagation. However, when light is polarized, the electric field oscillates in a specific direction.
2. How is light polarized?
Ans. Light can be polarized through various methods. One common method is through the use of a polarizing filter, which only allows light waves vibrating in a particular direction to pass through. Another way is by reflection, where light waves incident on a surface at a specific angle can become polarized.
3. What are some applications of polarized light?
Ans. Polarized light has various applications in different fields. In photography, polarizing filters are used to reduce glare and reflections from non-metallic surfaces. In 3D movie theaters, polarized glasses are used to separate left-eye and right-eye images. Polarized light is also used in liquid crystal displays (LCDs) and in scientific research to study the properties of materials.
4. How does polarization affect the intensity of light?
Ans. The intensity of polarized light depends on the angle between the polarization direction of the light and the analyzer. When the polarization direction is parallel to the analyzer, the intensity is maximum. When the polarization direction is perpendicular to the analyzer, the intensity is minimum, and the light is blocked.
5. Can all types of light be polarized?
Ans. No, not all types of light can be polarized. Light waves produced by thermal radiation, such as those emitted by a regular incandescent light bulb, are generally unpolarized. However, light waves produced by certain sources, such as lasers and some types of LEDs, can be polarized.
Related Searches

shortcuts and tricks

,

Exam

,

Previous Year Questions with Solutions

,

Viva Questions

,

pdf

,

Sample Paper

,

Objective type Questions

,

Polarization of light - I: Assignment | Oscillations

,

past year papers

,

video lectures

,

Extra Questions

,

mock tests for examination

,

Polarization of light - I: Assignment | Oscillations

,

Polarization of light - I: Assignment | Oscillations

,

ppt

,

practice quizzes

,

Waves & Optics - Physics

,

Summary

,

study material

,

Waves & Optics - Physics

,

Important questions

,

MCQs

,

Semester Notes

,

Free

,

Waves & Optics - Physics

;