| Table of contents |
Consider a liquid passing through a glass tube (figure 10). Concentrate on a particular point A in the tube and look at the particles arriving at A.

If the velocity of the liquid is small, all the particles which come to A will have same speed and will move in same direction. As a particle goes from A to another point B , its speed and direction may change, but all the particles reaching A will have the same speed at A and all the particles reaching B will have the same speed at B. Also, if one particle passing through A has gone through B, then all the particles passing through A go through B. Such a flow of fluid is called a steady flow.
In steady flow the velocity of fluid particles reaching a particular point is the same at all time. Thus each particle follows the same path as taken by a previous particle passing through that point. If the liquid is pushed in the tube at a rapid rate, the flow may become turbulent. In this case, passing through the same point may be different with and change erratically with time. The motion of water in a high fall or a fast flowing river is, in general, turbulent. Steady flow is also called streamline flow.
The path taken by a particle in flowing fluid is called its line of flow. The tangent at any point on the line of flow gives the direction of motion of that particle at that point. In the case of steady flow, all the particles passing through a given point follow the same path and hence we have a unique line of flow passing through a given point. In this case, the line of flow is also called a streamline.
The analysis of the flow of a fluid becomes much simplified if we consider the fluid to be incompressible and non-viscous and that the flow is irrotational. Incompressibility means that the density of the fluid is same at all the points and remains constant as time passes. Viscosity of a fluid is related to the internal friction when a layer of fluid slips over another layer. Mechanical energy is lost against such viscous forces. The assumption of a nonviscous fluid will mean that we are neglecting the effect of such internal friction.
Irrotational flow means there is no net angular velocity of fluid particles. When you put some washing powder in a bucket containing water and mix it by rotating your hand in circular path along the wall of the bucket, the water comes into rotational motion.
We have seen that the fluid going through a tube of flow does not intermix with fluid in other tubes. The total mass of fluid going into the tube through any cross-section should be equal to the total mass coming out of the same tube from any other cross-section in the same time. This leads to the equation of continuity.
Let us consider two cross-sections of a tube of flow at the points A and B (figure 11). Let the area of cross-section at A be A1 and that of at B be A2 . Let the speed of the fluid be v1 at A and v2 at B.
How much fluid goes into the tube through the cross-section at A in a time interval Δt ? Let us construct a cylinder of length l at A as shown in the figure. As the fluid at A has speed v all the fluid included in this cylinder will cross through A1 in the time interval Δt . Thus, the volume of the fluid going into the tube through the cross-section at A is AΔvΔ Δt . Similarly, the volume of the fluid going out of the tube through the cross-section at B is A2v2Δt If the fluid is incompressible, we must have
A1v1Δt = A2 v2Δt
A1v1 = A2 v2 …(9)
The product of the area of cross-section and the speed remains the same at all points of a tube of flow. This is called the equation of continuity and expresses the law of conservation of mass in fluid dynamics.
Example 3: Figure below shows a liquid being pushed out of a tube by pressing a piston. The area of cross-section of the piston is 1.0 cm2 and that of the tube at the outlet is 20 mm 2 If the piston is pushed at a speed of 2 cm / s what is the speed of the outgoing liquid?
From the equation,
A1v1 = A2 v2 ⇒ (1.0 cm2)(2 cm/s) = (20 mm2) v2
⇒x 2 cm/s = 10 cm/s
Bernoulli’s equation relates the speed of a fluid at a point, the pressure at that point and the height of that point above a reference level. It is just the application of work-energy theorem in the case of fluid flow. We shall consider the case of irrotational and steady flow of an incompressible and non-viscous liquid. Figure (12)
shows such a flow of a liquid in a tube of varying cross-section and varying height. Consider the liquid contained between the cross-sections A and B of the tube. The heights of A and B are h1 and h2 respectively from a reference level. This liquid advances into the tube and after a time Δt is contained between the cross-sections A' and B' as shown in figure.
Suppose the area of cross-section at A = A1, the area of cross-section at B = A2, the speed of the liquid at A = v1, the speed of the liquid at B = v2 ,the pressure at A = P1, the pressure at B = P2, and the density of the liquid = ρ.
The distance AA' = v1Δt and the distance BB' = v2Δt The volume between A and A' is A1v1Δt and the volume between B and B' is A2v2Δt By the equation of continuity,
A1v1Δt = A2v2Δt
The mass of this volume of liquid is
Δm = ρA1v1Δt = ρA2v2Δt …(i)
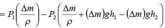
Let us calculate the total work done on the part of the liquid just considered.
The forces acting on this part of the liquid are
(a) P1A1 by the liquid on the left
(b) P2A2 by the liquid on the right
(c) (Δm)g, weight of the liquid
(d) fC, contact forces by the walls of the tube.
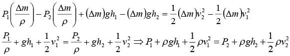
In time Δt , the point of application of P1A1 is displaced by AA' = v1Δt Thus, the work done by P2A2 in time Δt is W2 = -(P2A2)(v2Δt) = -P2(Δm/ρ)
The work done by the weight is equal to the negative of the change in gravitational potential energy.
Change in potential energy (P.E) in time Δt is
= P.E. of A'BB' - P.E of AA'B = P.E A'B + P.E of BB' - P.E of AA' - P.E of A'B
= P.E of BB' - P.E of AA' = (Δm)gh2 - (Δm)gh1
Thus the work done by the weight in time Δt is W3 = (Δm)gh1 - (Δm)gh2.
The contact force fC does no work on the liquid because it is perpendicular to the velocity.
The total work done on the liquid , in the time interval Δt, is W = W1 + W2 + W3
....(ii)
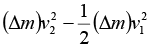
The change in kinetic energy (K.E.) of the same liquid in time Δt is
= K.E. of A'BB' - K.E. of AA'B = K.E. of A'B + K.E. of BB' - K.E. of AA' - K .E. of A'B
= K .E. of BB' - K.E. of AA' = 1/2
.....(iii)
Since the flow is assumed to be steady, the speed at any point remains constant in time and hence the K .E .of the part A'B is same at initial and final time and cancels out when change in kinetic energy of the system is considered.
By the work-energy theorem, the total work done on the system is equal to the change in its kinetic. Thus,
…(10)
or P + ρgh + 1/2 ρv2 = constant
This is known as Bernoulli’s equation.
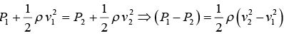
Example 4: Figure below shows a liquid of density 1200 kg/m3 flowing steadily in a tube of varying cross-section. The cross-section at a point A is 1.0 cm2 and that at B is 20 mm2, the points A and B are in the same horizontal plane. The speed of the liquid at A is 10 cm / s Calculate the difference in pressures at A and B.
From equation of continuity, the speed v2 at B is given by,
A1v1 = A2v2 or (1.0 cm2)(10 cm/s) = (20 mm2)v2 ⇒ v2 = 1.0 cm2/20 mm2 x 10 cm/s = 50 cm/s
By Bernoulli’s equation,
P1 + ρgh1 + 1/2 ρv21 = P2 + ρgh2 + 1/2 ρv22
P1 - P2 = 1/2 ρv22 - 1/2 ρv21 = 1/2 x (1200 kg/m3)(2500cm2/s2 - 100 cm2/s2) ∵ h1 = h2
= 600kg/m3 × 2400 cm2/s2 = 144 Pα.
(a) Hydrostatics
If the speed of the fluid is zero everywhere, we get the situation of hydrostatics. Putting v1 = v2 = 0 in the Bernaulli’s equation (10),
P1 + ρ g h1 = P2 + ρ g h2 or P1 - P2 = ρg(h2 - h1) as expected from hydrostatics.
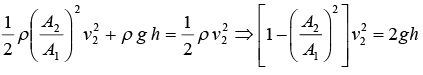
(b) Speed of Efflux
Consider a liquid of density ρ filled in a tank of large cross-sectional area A1. There is a hole of cross-sectional area A2 at the bottom and the liquid flows out of the tank through the hole. The situation is shown in figure (13).

Suppose A2 << A1.
Let v1 and v2 be the speeds of the liquid at A1 and A2.
As both the cross-sections are open to the atmosphere, the pressure there equals the atmospheric pressure P0. If the height of the free surface above the hole is h, Bernaulli’s equation gives
…. (i)
By the equation of continuity A1v1 = A2v2
Putting v1 in terms of v2 in (i), 
If A2 << A1, this equation reduces to 
The speed of liquid coming out through a hole at a depth h below the free surface is the same as that of a particle fallen freely through the height h under gravity. This is known as Torricelli’s theorem. The speed of the liquid coming out is called the speed of efflux.
Example 5: A water tank is constructed on the top of a building. With what speed will the water come out of a tap 6.0 m below the water level in the tank? Assume steady flow and that the pressure above the water level is equal to the atmospheric pressure.
The velocity is given by Torricelli’s theorem
![]()
(c) Ventury Tube
A ventury tube is used to measure the flow speed of a fluid in a tube. It consists of a constriction or a throat in the tube. As the fluid passes through the constriction, its speed increases in accordance with the equation of continuity. The pressure thus decreases as required by Bernaulli’s equation.
Figure (14) shows a ventury tube through which a liquid of density ρ is flowing. The area of cross-section is A1 at the wider part and A2 at the constriction. Let the speeds of the liquid at A1 and A2 be v1 and v2 and the pressures at A1 and A2 be P1 and P2 respectively. By the equation of continuity
A1v1 = A2v2 ....(ii)
and by Bernaulli’s equation,
….(ii)
Figure (18) also shows two vertical tubes connected to the ventury tube at A1 and A2 . If the difference in heights of the liquid levels in these tubes is h , we have
P1 - P2 = ρ g h ⇒ 2gh
.…(iii)
Knowing A1 and A2 one can solve equations (i) and (iii) so as to get v1 and v2. This allows one to know the rate of flow of liquid past a cross-section.
(d) Aspirator Pump
When a fluid passes through a region at a large speed, the pressure there decreases. This fact finds a number of useful applications. In an aspirator pump a barrel A terminates in a small constriction B (figure 15). The constriction is connected to a vessel containing the liquid to be sprayed through a narrow tube C . The air in the barrel A is pushed by the operator through a piston. As the air passes through the constriction B , its speed is considerably increased and consequently the pressure drops. Due to reduced pressure in the constriction B , the liquid is raised from the vessel and is sprayed with the expelled air.
(e) Change of Plane of Motion of a Spinning Ball
Quite often when swing bowlers of cricket deliver the ball, the ball changes its plane of motion in air. Such a deflection from the plane of projection may be explained on the basis of Bernoulli’s equation.
Suppose a ball spinning about the vertical direction is going ahead with some velocity in the horizontal direction in otherwise still air. Let us work in a frame in which the centre of the ball is at rest. In this frame the air moves past the ball at a speed v in the opposite direction. The situation is shown (figure 16).
The plane of the figure represents horizontal plane. The air that goes from the A side of the ball in the figure is dragged by the spin of the ball and its speed increases. The air that goes from the B side of the ball in the figure suffers an opposite drag. and its speed decreases. The pressure of air is reduced on the A side and is increased on the B side as required by the Bernoulli’s theorem. As a result, a net force F acts on the ball from the B side to the A side due to this pressure difference. This force causes the deviation of the plane of motion.
Example 6: A beaker of circular cross-section of radius 4 cm is filled with mercury upto a height of 10 cm. Find the force exerted by the mercury on the bottom of the beaker. The atmospheric pressure = 105 N/m2, Density of mercury = 13600 kg/m3. Take g = 10 m/s2.
The pressure at the surface = atmospheric pressure= 105 N/m2
The pressure at the bottom = 105 N/m2 + hρ g = 105 N/m2 + (0.1 m)= 105 N/m2 + 13600 N/m2 = 1.136 ×105 N/m2
Force exerted by the mercury on the bottom
= (1.136 ×105 N/m2) × (3.14 × 0.04 m × 0.04 m) = 571 N
Example 7: The density of air near earth’s surface is 1.3kg/m3 and the atmospheric pressure is 1.0 × 105 N/m2 If the atmosphere had uniform density, same as that observed at the surface of the earth, what would be the height of the atmosphere to exert the same pressure?
The pressure at the surface of the earth would be
Even Mount Everest (8848 m) would have been outside the atmosphere.
Example 8: A cylindrical vessel containing a liquid is closed by a smooth piston of mass m as shown in the figure. The area of cross-section of the piston is A . If the atmospheric pressure is P0 , find the pressure of the liquid just below the piston.
Let the pressure of the liquid just below the piston be P . The forces acting on the piston are
(a) its weight, mg (downward)
(b) force due to the air above it, P0A (downward)
(c) force due to the liquid below it, PA (upward).If the piston is in equilibrium, PA = P0A + mg ⇒ P = P0 + mgA
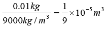
Example 9: A copper piece of mass 10g is suspended by a vertical spring. The spring elongates 1cm over its natural length to keep the piece in equilibrium. A beaker containing water is now placed below the piece so as to immerse the piece completely in water. Find the elongation of the spring Density of copper 9000 kg/m3. Take g = 10m/s2
Let the spring constant be k . When the piece is hanging in air, the equilibrium condition gives k (1cm) = (0.01kg)(10m/s2)
or k(1cm) = 0.1N. …(i)
The volume of the copper piece =
This is also the volume of water displaced when the piece is immersed in water.
The force of buoyancy = weight of the liquid displaced
= 1/9 x 10-5 m3 x (1000kg/m3) x ( 10m/s2) = 0.011N
If the elongation of the spring is x when the piece is immersed in water, the equilibrium condition of the piece gives,
kx = 0.1N - 0.011N = 0.089N …(ii)
By (i) and (ii), 0.089/0.1 cm = 0.89 cm.
61 videos|26 docs|25 tests |
| 1. What is the equation of continuity in fluid dynamics? | ![]() |
| 2. What is Bernoulli's equation and how is it derived? | ![]() |
| 3. What are the applications of Bernoulli's equation? | ![]() |
| 4. What is the difference between steady and turbulent flow? | ![]() |
| 5. How does Bernoulli's equation explain the lift force on an airplane wing? | ![]() |
61 videos|26 docs|25 tests |
![]() | Explore Courses for Physics exam |