Physics Exam  >  Physics Notes  >  Modern Physics  >  Multiple Dimensional Systems

Multiple Dimensional Systems | Modern Physics PDF Download

If x, y, z are independent, then ψ(x, y, z) can be written as X(x) Y(y) Z(z) and Energy Eigen value can be written as  Ex,y,z = Ex + Ey + Ez 
Where, HxX(x) = ExX(x), HyY(y) = EyY(y), HzZ(z) = EzZ(z)
and H = Hx + Hy + Hz and Hψ = E(ψ)

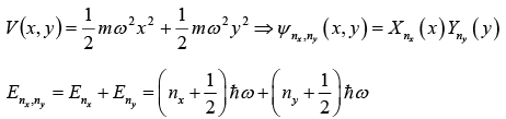
Two Dimensional Free Particle

Multiple Dimensional Systems | Modern Physics
So, two dimensional free particle is infinitely degenerate.
Three Dimensional Free Particle
The wave function is ψ(x, y, z) is defined as

Multiple Dimensional Systems | Modern Physics
Multiple Dimensional Systems | Modern Physics
So, three dimensional free particle is infinitely degenerate. 

Particle in Two Dimensional Box

The two dimensional system is defined as,

Multiple Dimensional Systems | Modern Physics
The wave function is given as
Multiple Dimensional Systems | Modern Physics
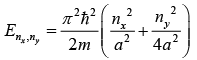
Multiple Dimensional Systems | Modern Physics where nx = 1, 2, 3.....  and 1, 2, 3,......
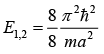
Ground state energy (nx = 1, ny = 1) i.e.,

Multiple Dimensional Systems | Modern Physics
First excited state (nx = 1, ny = 2) i.e.,
Multiple Dimensional Systems | Modern Physics
(Degeneracy of first excited state is doubly degenerate)
Second excited state nx = 2, ny = 2,
Multiple Dimensional Systems | Modern Physics
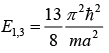
Third excited state nx = 1, ny = 3,
Multiple Dimensional Systems | Modern Physics
(Third excited state is doubly generated) 

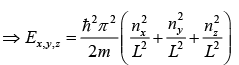
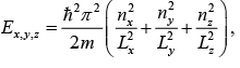
Particle in Three Dimensional Box  

Multiple Dimensional Systems | Modern Physics
Multiple Dimensional Systems | Modern Physics
where nx = 1,2,3, ..... ny = 1, 2, 3, .....
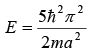
For cubic box  Lx = Ly = Lz = L
Multiple Dimensional Systems | Modern Physics
Where, nx = 1, 2, 3, ...., ny =  1, 2, 3, ..., nz = 1, 2, 3, ....
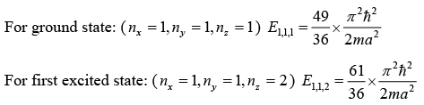
Ground state energy (nx = 1, ny = 1, nz = 1) i.e., 

Multiple Dimensional Systems | Modern Physics
First excited state energy (nx = 1, ny = 1, nz = 2) i.e.,

Multiple Dimensional Systems | Modern Physics
Other configurations are, nx = 1, ny = 2, nz = 1 and nx = 2, ny = 1, nz = 1
Second excited state energy (nx = 2, ny = 2, nz = 1) i.e.,
Multiple Dimensional Systems | Modern Physics
Other configurations are, nx = 2, ny = 1, nz = 2 and nx = 1, ny = 2, nz = 2

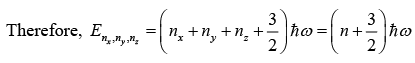
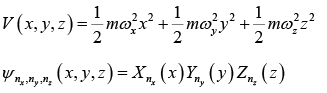
Two Dimensional Harmonic Oscillator   

Multiple Dimensional Systems | Modern Physics
= (nx + ny + 1)ℏω, where nx 0,1, 2, 3, ..... and ny = 0,1, 2, 3, ..... 
= (n + 1)ℏω, where n = 0,1, 2, 3, ........

Multiple Dimensional Systems | Modern PhysicsSo, degeneracy of two dimensional harmonic oscillators for nth state is (n +1)

Three Dimensional Harmonic Oscillators

Multiple Dimensional Systems | Modern Physics

Multiple Dimensional Systems | Modern Physics
For isotropic harmonic oscillator, ωx = ωy = ωz 
Multiple Dimensional Systems | Modern Physics
The degeneracy of the isotropic harmonic oscillator for nth state is, gn = 1/2 (n + 1)(n + 2)
Where, n = 0 corresponds to ground state. 

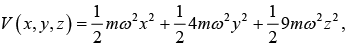
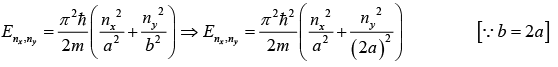
Example: If b = 2a , write down ground, first, second and third excited state energy.

Multiple Dimensional Systems | Modern Physics
Multiple Dimensional Systems | Modern Physics
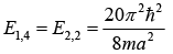
For ground state: 

Multiple Dimensional Systems | Modern Physics

For first excited state:
Multiple Dimensional Systems | Modern Physics

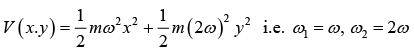
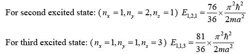
For second excited state:
Multiple Dimensional Systems | Modern Physics

For third excited state:

Multiple Dimensional Systems | Modern Physics
For fourth excited state:  

Multiple Dimensional Systems | Modern Physics

Example:

Multiple Dimensional Systems | Modern Physics

If b = 2a and c = 3a, then write down energy eigenvalue for ground state, first excited state and second excited state.

Multiple Dimensional Systems | Modern Physics
Multiple Dimensional Systems | Modern Physics
Multiple Dimensional Systems | Modern Physics

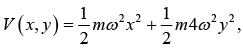
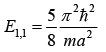
Example: If the potential of two dimensional harmonic oscillator isMultiple Dimensional Systems | Modern Physics then find energy Eigen value. 

Multiple Dimensional Systems | Modern Physics

Multiple Dimensional Systems | Modern Physics

For ground state:  E0,0 = 3/2 ℏω
For first excited state: E1,0 = 5/2 ℏω
For second excited state: E0,1 = E2,0 = 7/2 ℏω (Doubly degenerate)

For third excited state: E3,0 = 9/2 ℏω
For fourth excited state:  E2,1 = E4,0 = 11/2 ℏω (Doubly degenerate)

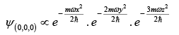
Example: If the potential of three dimensional harmonic oscillator is,  

Multiple Dimensional Systems | Modern Physics
then write down unnormalised wavefunction  for ground state, first excited state and second excited state. 

Wave function

Multiple Dimensional Systems | Modern Physics
For ground state: (nx, ny, nz) then wave function
Multiple Dimensional Systems | Modern Physics
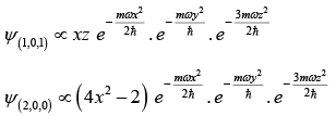
For first excited state: (nx, ny, nz) = (1, 0, 0) then wave function
Multiple Dimensional Systems | Modern Physics

For second excited state: (nx, ny, nz)  = (1, 1,0), (2,0,0), then wave function

Multiple Dimensional Systems | Modern Physics

The document Multiple Dimensional Systems | Modern Physics is a part of the Physics Course Modern Physics.
All you need of Physics at this link: Physics
37 videos|17 docs|19 tests
Related Searches

Exam

,

Summary

,

Multiple Dimensional Systems | Modern Physics

,

shortcuts and tricks

,

Previous Year Questions with Solutions

,

Important questions

,

study material

,

MCQs

,

pdf

,

Extra Questions

,

practice quizzes

,

Objective type Questions

,

ppt

,

Multiple Dimensional Systems | Modern Physics

,

Viva Questions

,

video lectures

,

Multiple Dimensional Systems | Modern Physics

,

Free

,

mock tests for examination

,

Semester Notes

,

Sample Paper

,

past year papers

;