Mathematics Exam  >  Mathematics Notes  >  Mathematics for Competitive Exams  >  Functions of Two or Three Variables- I

Functions of Two or Three Variables- I | Mathematics for Competitive Exams PDF Download

Introduction

Functions of Two Variables

One of the main differences between functions of one variable and functions of two variables is that functions of one variable are considered in an interval on the number line, whereas functions of two variables are considered in an open disc in the xy-plane. That is, with a function of one variable, |x - a|<δ means that within an interval, the distance of δ to a is always less than 5. With a function of two variables, Functions of Two or Three Variables- I | Mathematics for Competitive Exams means that the point (a, b) lies within an open circle (disc) whose radius is δ or denoted as Functions of Two or Three Variables- I | Mathematics for Competitive Exams read as neighborhood (nbd) of (a, b).

Sometimes we can also take an open rectangle centered at (a,b)
{(x,y) :|x-a|< h,|y-b|<k}, (h > 0, k > 0)
This is denoted as (a - h, a + h ; b - k, b + k).

Definition: A function of 2 variables is a rule that assigns to each ordered paired of real numbers (x, y) in a set D a unique real number denoted by f(x, y). The set D is the domain of f and its range is the set of values that f takes on, i.e., the set {f(x, y)l(x, y) ϵ D}.

Remark: We often write z = f(x, y). D ⊂ R2 and the range is a subset of 


Functions of Two or Three Variables- I | Mathematics for Competitive Exams
➤ Level Curves 

Definition: The level curves (or contour lines) of a function f(x, y) are the curves with equations f(x, y) = k where k is a constant in the range of f.

Functions of Two or Three Variables- I | Mathematics for Competitive Exams

Limit of a  Function of Two Variables

Definition. Let f : D →R,
The function f(x, y) has a limit l (l ∈ R) as (x, y) tends to (a, b) ∈ R2, written as Functions of Two or Three Variables- I | Mathematics for Competitive Exams
if given any ε > 0, there exists some δ > 0, such that
Functions of Two or Three Variables- I | Mathematics for Competitive Exams
Equivalently,
Functions of Two or Three Variables- I | Mathematics for Competitive Exams
Functions of Two or Three Variables- I | Mathematics for Competitive Exams

Note: In the above definition, the function f may or may not be defined at the point (a, b).

➤ Repeated Limits

Let f : D → R, D If Functions of Two or Three Variables- I | Mathematics for Competitive Exams exists, then it is a function of x say h(x), which is defined on some subset of R. If Functions of Two or Three Variables- I | Mathematics for Competitive Exams exists, then we say that the repeated limit Functions of Two or Three Variables- I | Mathematics for Competitive Exams exists. Similarly we can define the repeated limit Functions of Two or Three Variables- I | Mathematics for Competitive Exams

➤ Remarks 

  1. Repeated limits may exist but may not be equal. 
  2. Repeated limits may exist and be equal but the two-variable limit may not exist. 
  3. Repeated limits and the two-variable limit may all exist and may be equal. 
  4. Repeated limits may not exist but the two-variable limit may exist.

Note: To find the limit of a function of one variable, we only needed to test the approach from the left as well as from the right. If both approaches were the same, the function had a limit. To find the limit of a function of two variables however, we must show that the limit is the same no matter from which direction we approach (a,b)

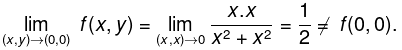
Example

The function f defined by
Functions of Two or Three Variables- I | Mathematics for Competitive Exams
Functions of Two or Three Variables- I | Mathematics for Competitive Exams both exist but are unequal. Also show that 

Functions of Two or Three Variables- I | Mathematics for Competitive Exams does not exist.
Functions of Two or Three Variables- I | Mathematics for Competitive Exams
Functions of Two or Three Variables- I | Mathematics for Competitive Exams
Thus the two repeated limits exist but are unequal.
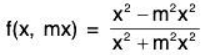
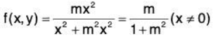
Suppose (x, y) → (0, 0) along the path y = mx.
Now
Functions of Two or Three Variables- I | Mathematics for Competitive Exams
Functions of Two or Three Variables- I | Mathematics for Competitive Exams
which is different for different values of m.
Hence Functions of Two or Three Variables- I | Mathematics for Competitive Exams does not exist.

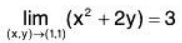
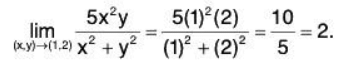
Example 1: Find the limit.
Functions of Two or Three Variables- I | Mathematics for Competitive Exams

Notice that the point (1,2) does not cause division by zero or other domain issues. So,
Functions of Two or Three Variables- I | Mathematics for Competitive Exams 


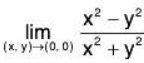
Example 2: Find the limit.
Functions of Two or Three Variables- I | Mathematics for Competitive Exams

approaching (0,0) along x=0 i.e. y- axis
as x = 0
Functions of Two or Three Variables- I | Mathematics for Competitive Exams
Similarly, approaching (0,0) along y=0 i.e. x- axis
as y = 0
Functions of Two or Three Variables- I | Mathematics for Competitive Exams
Since we got two different results, the limit does not exist.


Example 3: Find the limit.
Functions of Two or Three Variables- I | Mathematics for Competitive Exams

Let x = 0: then
Functions of Two or Three Variables- I | Mathematics for Competitive Exams
Now let y = 0; then
Functions of Two or Three Variables- I | Mathematics for Competitive Exams
Again, the limit does not exist.



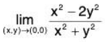
Example 4: Find the limit.

Functions of Two or Three Variables- I | Mathematics for Competitive Exams


Let (x.y) → (0 ,0) a long the line y = mx.
then
Functions of Two or Three Variables- I | Mathematics for Competitive Exams
This shows that the limit depends on the choice of m. Therefore, the limit does not exist.

NOTE: When we use the definition of limit to show that a particular limit exists, we usually employ certain key or basic inequalities such as:
Functions of Two or Three Variables- I | Mathematics for Competitive Exams
Functions of Two or Three Variables- I | Mathematics for Competitive Exams
Functions of Two or Three Variables- I | Mathematics for Competitive Exams 

and the algebraic terms.


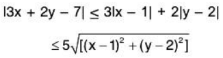
Example 5: Using ε - δ definition of limit, prove that:
Functions of Two or Three Variables- I | Mathematics for Competitive Exams

Given ε > 0, we shall show that there exist δ > 0 such that
Functions of Two or Three Variables- I | Mathematics for Competitive Exams
Now by the triangle inequality,
I3x + 2y - 7| = |5x - 3 + 2y - 4| < I3x - 3| + |2y - 4| = 3|x - 1| + 2|y - 2|
Since
Functions of Two or Three Variables- I | Mathematics for Competitive Exams
and
Functions of Two or Three Variables- I | Mathematics for Competitive Exams
Therefore
Functions of Two or Three Variables- I | Mathematics for Competitive Exams
Now let
Functions of Two or Three Variables- I | Mathematics for Competitive Exams
Functions of Two or Three Variables- I | Mathematics for Competitive Exams
Therefore δ exists.
Hence
Functions of Two or Three Variables- I | Mathematics for Competitive Exams


Example 6: Using ε - δ definition of limit, prove that:
Functions of Two or Three Variables- I | Mathematics for Competitive Exams

Given ε > 0, we shall show that there exist δ > 0 such that
Functions of Two or Three Variables- I | Mathematics for Competitive Exams
Now by the triangle inequality
l(ax + by) - (5a - 2b)| = |a(x - 5) + b(y + 2) < alx - 5| + b|y + 2|
Clearly,
Functions of Two or Three Variables- I | Mathematics for Competitive Exams
∴ l(ax + by) - (5a - 2b) < alx - 5| + b|y + 2| < aδ + bδ = (a + b)δ
Now choose
Functions of Two or Three Variables- I | Mathematics for Competitive Exams
Functions of Two or Three Variables- I | Mathematics for Competitive Exams
Therefore δ exists.
Hence

Functions of Two or Three Variables- I | Mathematics for Competitive Exams


Example 7. Using ε - δ technique, prove that:
Functions of Two or Three Variables- I | Mathematics for Competitive Exams

Given ε > 0, we shall show that there exist δ > 0 such that
Functions of Two or Three Variables- I | Mathematics for Competitive Exams
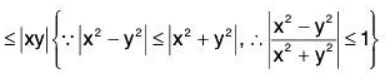
Now by the triangle inequality,
Ixy - 6| = |xy - 3x + 3x - 6| = |x(y - 3) + 5(x - 2)| < Ixl ly - 3| +3|x - 2|
Clearly,
Functions of Two or Three Variables- I | Mathematics for Competitive Exams
Now choose δ = 1,
lx - 2| < 1 ⇒ 1 < x < 3 ⇒ 1 < Ixl < 3
Therefore
Ixy - 6| ≤ Ixlly - 3 | + 3|x - 2| < 3ly - 3| + 3|x - 2| < 3δ + 3δ = 6δ
Therefore, for δ = (ε/6), Ixy - 6| < 6. (ε/6) = δ
Therefore δ exists.
Hence
Functions of Two or Three Variables- I | Mathematics for Competitive Exams


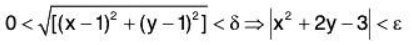
Example 8: Using ε - δ technique, prove that:
Functions of Two or Three Variables- I | Mathematics for Competitive Exams

Given ε > 0, we shall show that there exist δ > 0 such that
Functions of Two or Three Variables- I | Mathematics for Competitive Exams
Now by the triangle inequality,
|x2 + 2y-3 | = |x2 - 1 + 2y - 2| = |x2-1+2(y-1)|
≤ |x- 1| + 2 |y - l|
≤ |x - l||x + l| + 2 |y - l|
Clearly,
Functions of Two or Three Variables- I | Mathematics for Competitive Exams
Now choose δ = 1,
lx — 1| < 1 ⇒ 0 < x < 2
⇒1 < x + 1 < 3 1 < lx + 11 < 3
lx2 + 2y - 3| < lx - 1| | x + 1| + 2|y - 1| < 3lx — 1| + 2|y - 1| < 3δ + 2δ = 5δ

Now choose δ = (c /5), |x2+2y-3| < (5ε / 5)<ε
Therefore required δ = min{1,(ε/5)} i.e., δ exists.
Hence
Functions of Two or Three Variables- I | Mathematics for Competitive Exams


Continuity of a Function of Two Variables

Definition : Let f : D → R
Then f is said to be continuous at a point (a, b) ∈ D if
Functions of Two or Three Variables- I | Mathematics for Competitive Exams
In other words, f is continuous at a point (a, b) ∈ D if given and ε > 0, there exists some δ > 0 such that
Functions of Two or Three Variables- I | Mathematics for Competitive Exams


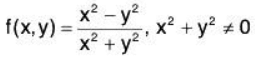
Example 1:  Examine the following function for continuity at (0,0):
Functions of Two or Three Variables- I | Mathematics for Competitive Exams

We know that if Functions of Two or Three Variables- I | Mathematics for Competitive Exams exists, then this limit is independent of path of approach along which we approach the point (a, b).
Since f(x, y) is identically zero along the co-ordinates,
therefore when (x, y) -> (0, 0), then the limit along each axis is zero.
But the path of approach is along a straight line y = mx, where m ≠ 0,
then
Functions of Two or Three Variables- I | Mathematics for Competitive Exams
Functions of Two or Three Variables- I | Mathematics for Competitive Exams which depends on m., i.e., the limit of the function depends on the path of approach.
Therefore Functions of Two or Three Variables- I | Mathematics for Competitive Exams does not exist.
Again if the path of approach be parabola x = y2, then
Functions of Two or Three Variables- I | Mathematics for Competitive Exams
Since the limits obtained by two different approaches are different, so Functions of Two or Three Variables- I | Mathematics for Competitive Exams does not exist.
Hence the function f(x, y) is not continuous at the point (0,0).


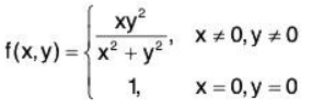
Example 2: Examine for continuity the following function at (0,0):
Functions of Two or Three Variables- I | Mathematics for Competitive Exams

Given f(0,0) = 1     ....(1)
and
Functions of Two or Three Variables- I | Mathematics for Competitive Exams     ....(2)
Since (1) ≠ (2)
Therefore the given function is discontinuous at (0,0).


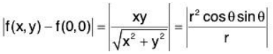
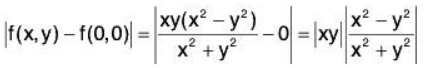
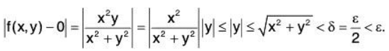
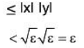
Example 3: Show that the following function Functions of Two or Three Variables- I | Mathematics for Competitive Exams is continuous at (0,0):
Functions of Two or Three Variables- I | Mathematics for Competitive Exams

Let ε > 0 and |x - 0| < >√ε and |y - 0| < >√ε , then
Functions of Two or Three Variables- I | Mathematics for Competitive Exams
Functions of Two or Three Variables- I | Mathematics for Competitive Exams
Functions of Two or Three Variables- I | Mathematics for Competitive Exams
i.e Functions of Two or Three Variables- I | Mathematics for Competitive Exams exists and equal to 0.
And value of the Functions of Two or Three Variables- I | Mathematics for Competitive Exams
Hence the given function is continuous at (0, 0).


Example 4: Show that the real valued function f(x,y) of two variables defined below is continuous at the origin:
Functions of Two or Three Variables- I | Mathematics for Competitive Exams

Let x = r cosθ, y = r sinθ and ε > 0,
then
Functions of Two or Three Variables- I | Mathematics for Competitive Exams
Functions of Two or Three Variables- I | Mathematics for Competitive Exams
Here if we take δ < ε/√2, then Ixl < δ and lyl < δ
Functions of Two or Three Variables- I | Mathematics for Competitive Exams
Thus, for every Functions of Two or Three Variables- I | Mathematics for Competitive Exams such that
lf(x, y) - f(0 , 0 )| < ε whenever lx — 0 | <δ and ly - 0 | < δ
Therefore f is continuous at the origin (0,0).

Theorem: The following results are true for multivariable functions:

  1. The sum, difference and product of continuous functions is a continuous function.
  2. The quotient of two continuous functions is continuous as long as the denominator is not 0.
  3. Polynomial functions are continuous.
  4. Rational functions are continuous in their domain.
  5. If f(x,y) is continuous and g(x) is defined and continuous on the range of f, then g(f(x,y)) is also continuous.

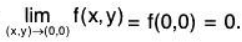
Example 1: Show that
Functions of Two or Three Variables- I | Mathematics for Competitive Exams
is continuous at (0,0).

This function is clearly continuous everywhere except at (possibly) (0,0). Let’s check continuity at (0,0)
Let ε > 0 be given. Let δ =ε/2 and suppose that Functions of Two or Three Variables- I | Mathematics for Competitive Exams
Then, using the fact that Functions of Two or Three Variables- I | Mathematics for Competitive Exams we have
Functions of Two or Three Variables- I | Mathematics for Competitive Exams
Hence, f(x,y) is continuous at (0,0).


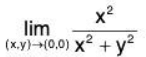
Example 2 : Show that
Functions of Two or Three Variables- I | Mathematics for Competitive Exams 
is discontinuous at (0,0).

Again this function is clearly continuous everywhere except (possibly) at (0,0). Now let’s look at the limit as (x, y) approaches (0, 0) along two different paths. First, let’s approach (0,0) along the x-axis, i.e. y = 0.
Functions of Two or Three Variables- I | Mathematics for Competitive Exams
Now, let’s approach (0,0) along the y-axis, i.e. x = 0.
Functions of Two or Three Variables- I | Mathematics for Competitive Exams
Since the limit is not the same along the two different directions we conclude that f(x, y) is discontinuous at (0, 0).

Partial Derivatives

If f(x) = 5x3, then f '(x) = 5 x 3x2 = 15x2. In the same way, if you’re given g(x) = ax3, and told that a is a constant, then you find that g’(x) = a-3x2 = 3ax2. If you are now told that a = 5, you can plug in 5 for a in this latter answer to get what you got before.
Suppose now that you’re given the function of two variables h(x,y) = yx3. Since y is one of the independent variables in h, clearly y is not intended to always be constant. However, if you’re told to assume that, for some physical or mathematical reason, y is held constant at the value y = 5, and asked to differentiate h as a function of x, you would look at h(x, 5) = 5x3, and differentiate, to once again obtain 15x3. If, instead, you’re told to assume that y is held constant at the value y = 7, and asked to differentiate h as a function of x, you would look at h(x, 7) = 7x3, and differentiate to obtain 21x3.
More generally, you could just be told to assume that y is held constant, without being told that the constant value is 5 or 7 or anything else specific; then, you can calculate the derivative of yx3, with respect to x, thinking of y as a constant; you find y.3x2.
This process of taking the derivative, with respect to a single variable, and holding constant all of the other independent variables, is called finding (or, taking) a partial derivative. This is a fundamental mathematical concept that arises in many contexts.

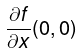
Definition: Suppose that we have a real-valued function z = f(x,y) of two real variables. Then, the derivative of f, with respect to x, holding y constant, is called the partial derivative of f, with respect to x, and is denoted by any of
Functions of Two or Three Variables- I | Mathematics for Competitive Exams
In the same way, the derivative of f, with respect to y. Holding x constant, is called the partial derivative of f, with respect to y, and is denoted by any of
Functions of Two or Three Variables- I | Mathematics for Competitive Exams
We also use the partial derivative operators:
Functions of Two or Three Variables- I | Mathematics for Competitive Exams
which tell you to take the partial derivative with respect to x and y, respectively.
We mention the notations f1(x.y) and f2(x,y) primarily because you may see them used in other books; there are also technical reasons why these notations are useful in some contexts. However, we shall avoid their use to indicate partial derivatives, since we like to reserve the notations f1(x.y) and f2(x,y) for use in denoting the component functions of a multi-component function f(x,y) = (f1,(x,y), f2(x,y). In any case, we will explicitly state, or the context will make clear, what we mean by f1, f2 or, more generally, fi.


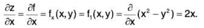
Example 1: Consider the fairly simple function
z = f(x,y) = x2 - y2.

We first take the partial derivative, with respect to x, thinking of y as a constant. Let’s use all of our various notations just for practice. We find
Functions of Two or Three Variables- I | Mathematics for Competitive Exams
Now, we take the partial derivative, with respect to y, thinking of x as a constant.
We find
Functions of Two or Three Variables- I | Mathematics for Competitive Exams

Example: Of course, if you have a function, such as h(t) = 5t + In t, which depends on only one variable, the partial derivative is just the same as the ordinary derivative:
Functions of Two or Three Variables- I | Mathematics for Competitive Exams
It’s not wrong to write the partial derivative here, but it could be misleading in some cases; it might make someone wonder what the other variables are.

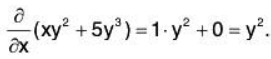
Example: Find the partial derivatives of xy2 + 5y3.

First, calculate the partial derivative with respect to x, by thinking of y as constant: we find
Functions of Two or Three Variables- I | Mathematics for Competitive Exams
Now, calculate the partial derivative with respect to y, by thinking of x as constant; we find
Functions of Two or Three Variables- I | Mathematics for Competitive Exams

(Another Definition) Let f : D→ R, and (a, b) be any point of D.

The partial derivative of f w.r.t. x at the point (a, b), denoted as fx(a, b), is defined as

Functions of Two or Three Variables- I | Mathematics for Competitive Exams

provided the limit exists.

The partial derivative of f w.r.t. y at the point (a, b), denoted as fy(a, b), is defined as

Functions of Two or Three Variables- I | Mathematics for Competitive Exams

provided the limit exists.

fx(a, b), fy(a, b) are called the first order partial derivatives of f at (a, b).

Now the second order partial derivatives of f at (a, b) viz.

fxx(a,b), fyx (a,b), fxy(a,b), fyy(a,b).

Defined as

Functions of Two or Three Variables- I | Mathematics for Competitive Exams

Functions of Two or Three Variables- I | Mathematics for Competitive Exams

If function is continuous then fxy(a, b) = fyx(a, b).

In general, fxy(a,b) ≠ fyx(a,b)


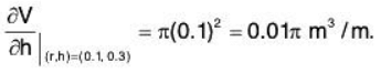
Example 2: The volume, V, of a right circular cylinder is given by V = πr2h, where r is the radius of the base, and h is the height. Suppose that the cylinder is some sort of container for which the height can vary, such as the interior of a piston.
What is the instantaneous rate of change of the volume, with respect to the height, when the height is 0.3 meters, if the radius is held constant at 0.1 meters?

We hold r constant and find
Functions of Two or Three Variables- I | Mathematics for Competitive Exams
in cubic meters per meter (or, square meters).
Thus, the instantaneous rate of change of the volume, with respect to the height, when the height is 0.3 m, and the radius is held constant at 0.1 m is
Functions of Two or Three Variables- I | Mathematics for Competitive Exams
Note that this result is independent of h, so that, in the end, we don’t need to use the data that h = 0.3 meters.


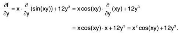
Example. Suppose that we have the function
w = f(x,y,z) = x sin(yz) + y2ez + x3.
Then, we find:
Functions of Two or Three Variables- I | Mathematics for Competitive Exams
and
Functions of Two or Three Variables- I | Mathematics for Competitive Exams

Theorem: If U is a non-empty connected open subset of Rn, and f is a function on U such that all of the partial derivatives of f exist and are 0 at each point in U, then f is constant on U.
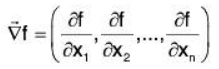
Definition: The multi-component function
Functions of Two or Three Variables- I | Mathematics for Competitive Exams
of partial derivatives of a function f = f(x1,...,xn) is called the gradient vector (function) of f. Its value at a point p is denoted either by Functions of Two or Three Variables- I | Mathematics for Competitive Exams
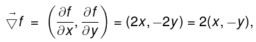
Example: Consider f(x,y) = x2 - y2. Then,
Functions of Two or Three Variables- I | Mathematics for Competitive Exams
and
Functions of Two or Three Variables- I | Mathematics for Competitive Exams


Higher-order partial derivatives:
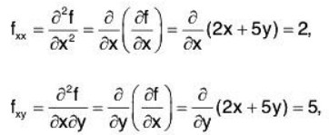
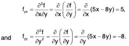
Consider the function
f(x,y) = x2 + 5xy - 4y2.
The partial derivatives are easy to calculate:
Functions of Two or Three Variables- I | Mathematics for Competitive Exams
We now want to look at the second partial derivatives of f.
A second partial derivative should be a partial derivative of a partial derivative. So, there are four second partial derivatives: you can first take two different first partial derivatives, with respect to x or y and then, for each of those, you can take a partial derivative a second time with respect to x or y. We introduce new notation, and calculate
Functions of Two or Three Variables- I | Mathematics for Competitive Exams
Functions of Two or Three Variables- I | Mathematics for Competitive Exams
The two second partial derivatives fxy and fyx above, the ones with one partial derivative with respect to x and one with respect to y, are called mixed partial derivatives.

Note that fxy and fyx are equal in this example. While this is not always the case, it's true for “most” of the functions that we deal with. More precisely, we need the continuity condition given in the following theorem.

Theorem: Suppose that f, fx, fy, and fxy exist in an open ball around a point (x0, y0), and that fxy is continuous at (x0, y0). Then, fyx(x0, y0) exists and
fyx(x0, y0) = fxy (x> y0)
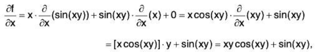
Example. Let’s try calculating some more-complicated partial derivatives. Suppose that
z = f(x,y) = x sin(xy) + 3y4.

We want to calculate the partial derivatives ∂f/∂x and ∂f/∂y. Note that x sin(xy) is the product of two functions of x, which will require the Product Rule when differentiating with respect to x. However, when we take the partial derivative with respect to y, we should think of x sin(xy) as being a “constant" times a function of y; hence, we will not need the Product Rule when applying ∂/∂y.
We find:
Functions of Two or Three Variables- I | Mathematics for Competitive Exams
and
Functions of Two or Three Variables- I | Mathematics for Competitive Exams


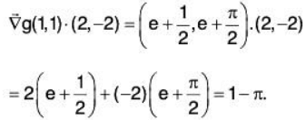
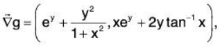
Example: Suppose that g(x,y) = xey + y2 tan-1x. Calculate the dot product.
Functions of Two or Three Variables- I | Mathematics for Competitive Exams

We find
Functions of Two or Three Variables- I | Mathematics for Competitive Exams
and so
Functions of Two or Three Variables- I | Mathematics for Competitive Exams
Therefore,
Functions of Two or Three Variables- I | Mathematics for Competitive Exams

Definition: Suppose that f(x1, x2,...,xn) is a real-valued function whose domain is a subset of Rn. Then, we define the partial derivative of f with respect to x, to be
Functions of Two or Three Variables- I | Mathematics for Competitive Exams
provided that this limit exists. If the Limit fails to exist, then we say that the partial derivative is undefined.
Recalling that e, denotes the i-th standard basis element and letting x = (x1,x2,...,xn), then the definition above is equivalent to
Functions of Two or Three Variables- I | Mathematics for Competitive Exams
Theorem: If u is a non-empty connected open subset of Rn, and f and g are two functions on u such that all of the partial derivative of f and g exist and are equal at each point in u, then f and g differ by a constant on u, i.e., there exists a constant C such that, for all p in u, f(p) = g(p) + C.

Theorem: Suppose that f(x1, x2,...,xn) is a real-valued function such that f and all of its partial derivatives of order less than or equal to r are defined and continuous on an open subset u of Rn. Then, at each point p in u, every partial derivative of order r is independent of the order in which the partial derivatives are calculated.

Example. Suppose that
f(x,y,z) = x5y6z7 + xeyz + y2sin(3x - 5z).
Then, Theorem implies that
Functions of Two or Three Variables- I | Mathematics for Competitive Exams
which are equal to every other 4th order partial derivative that’s with respect to x twice, and y and z once each.
They’re all equal to
840x3y5z6 + 90y cos(3x - 5x).

Example. Let
f(r, 0) = (r cos θ, r sin θ).
Then
fr = (cosθ, sinθ),
fθ = (-r sin θ, r cos θ),
frr = (0, 0)
f = ( - r cos θ, - r sin θ),
and
f = fθr = (- sinθ, cosθ).


Differentiability of Two Variables

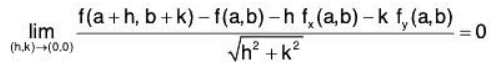
Definition: Let f : D → R be a real-valued function defined. Then f is said to be differentiable at a point (a, b) ∈ D, if
Functions of Two or Three Variables- I | Mathematics for Competitive Exams
where A and B are real numbers independent of h and k, and g is a real-valued function such that Functions of Two or Three Variables- I | Mathematics for Competitive Exams
Equivalently, f is differentiable at (a, b), if
f(a + h, b + k) - f(a, b) = Ah + Bk + hϕ(h, k) + kψ(h, k)
where A and B are real numbers independent of h and k and ϕ(h, k), ψ(h, k) → 0 as (h, k) → ( 0,0).

Theorem: If a function f: D → R is differentiable at (a, b) ∈ D, then f has partial derivatives fx and fy at (a, b).
Proof. Since f is differentiable at the point (a, b) ∈ D, so there exist real numbers A and B, and a function g such that
(i) Functions of Two or Three Variables- I | Mathematics for Competitive Exams    ...(1)
(ii) A and B are independent of h and k, and
(iii) Functions of Two or Three Variables- I | Mathematics for Competitive Exams
Putting k = 0 in (1), we have
f(a + h, b) - f(a,b) = Ah + |h| g(h, 0).
Dividing throughout by h, and taking limits as h → 0, we have
Functions of Two or Three Variables- I | Mathematics for Competitive Exams
∴ fx(a, b) = A.
Putting h = 0 in (1),
we have f(a, b + k) - f(a, b) = Bk + |k| g(0, k).
Dividing throughout by k, and taking limits as k → 0, we have
Functions of Two or Three Variables- I | Mathematics for Competitive Exams
Hence fx and fy exist at the point (a, b).

Remark 

  1. It may be noted that the constants A, B appearing in the definition of differentiability of f are given by : A = fx(a, b), B = fy(a, b). 
  2. If either of fx, fy does not exist at (a, b), then f is not differentiable at (a, b).

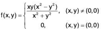
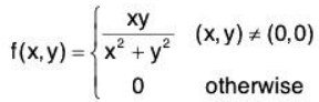
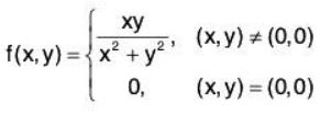
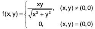
Example:  Let f : R2 → R be defined by setting.
f(x, y) = xy / √(x2 + y2), when (x, y) ≠ (0, 0), f(0, 0) = 0.
fx and fy exist at (0, 0) but f is not differentiable at (0, 0). Also f is continuous at (0, 0).

Functions of Two or Three Variables- I | Mathematics for Competitive Exams
Thus fx(0,0) and fy(0,0) both exist and are equal to 0.
Let, if possible, f be differentiable at (0,0). Then
f(h, k) - f(0, 0) = Ah + Bk + √(h2 + k2) g(h, k),    ..... (1)
where
Functions of Two or Three Variables- I | Mathematics for Competitive Exams    ... (2)
and A = fx(0, 0) = 0, B = fy (0, 0) = 0.
From (1), we obtain hk/√(h2 + k2) - 0 = O.h + O.k + √(h2 + k2) g(h, k),
Functions of Two or Three Variables- I | Mathematics for Competitive Exams
Taking k = mh, we see that
Functions of Two or Three Variables- I | Mathematics for Competitive Exams which depends on m.
Thus
Functions of Two or Three Variables- I | Mathematics for Competitive Exams does not exist, which contradicts (2).
Hence f is not differentiable at (0,0) f is continuous at (0,0).

Theorem: If f(x, y) is differentiable at a point (a, b), then it is continuous at (a, b), but converse need not be true.
i.e. Differentiability implies continuity but continuity need not imply differentiability.
Proof: Since f(x, y) is differentiable at the point (a, b), therefore
Functions of Two or Three Variables- I | Mathematics for Competitive Exams
Functions of Two or Three Variables- I | Mathematics for Competitive Exams
which shows that f is continuous at (a, b).

Remark: If a function f : D → R is differentiable at a point (a, b) ε D then all of its partial derivative exists but not conversely i.e. the existence of partial derivatives of the function f at a point does not imply it is differentiable.

Theorem: If a function f : D → R has continuous partial derivatives fx and fy at (a, b) ∈ D, then f is differentiable at (a, b).

Proof. Since fx and fy are continuous at (a, b), so fx and fy both exist in a nbd. N ≡ N((a, b), δ) of (a, b). Let (a + h, b + k) be any point of N. We have
f(a + h, b + k) - f(a, b) = [f(a + h, b + k) - f(a + h, b)] + [f(a + h, b) - f(a, b)] ...(1)
We define two functions G and H as follows:
G(y) = f(a + h, y) ∀ y ∈ [b, b + k],
and H(x) = f(x, b) ∀ x ∈ [a, a + h].
Since fy exists in N, so the function G satisfies both the conditions of Lagrange's mean value theorem in [b, b + k]. Thus there exists a θ1(0 < θ1 < 1) such that
G(b + k) - G(b) = kG’(b + 0,k)
or  f(a + h, b + k) - f(a + h, b) = kfy(a + h, b + θ1k). ...(2)
Similarly, since H satisfies both the conditions of Lagrange’s mean value theorem in [a, a + h], there exists θ2(0 < θ2 < 1) such that
f(a + h, b) - f(a, b) = hfx(a + θ2h, b). ...(3)
Using (2) and (3) in (1), we obtain
f(a + h, b + k) - f(a, b) = hfx(a + θ2h, b) + kfy(a + h, b + θ1k)
= hfx(a, b) + kfy(a, b) + h[fx(a + θ2h, b) - fx(a, b)] + k[fy(a + h, b + θ1k) - fy(a, b)]
= hfx(a, b) + kfy(a, b) + √(h2 + k2). F(h, k), ...(4)
where F(h, k) = h[fx(a + θ2h, b) - fx(a, b)]/√(h2 + k2) + k[fy(a + h, b + θ1k) - fy(a, b)]/√(h2 + k2). ...(5)
Since fx and fy are both continuous at (a, b), so
Functions of Two or Three Variables- I | Mathematics for Competitive Exams      ....(6)
From (5) and (6), we obtain
Functions of Two or Three Variables- I | Mathematics for Competitive Exams
since
Functions of Two or Three Variables- I | Mathematics for Competitive Exams
for all value of (h, k), such that h2 + k2≠ 0.
From (4) and (7), we get
f(a + h, b + k) - f(a, b) = hfx(a, b) + kfy(a, b) + √(h2 + k2) F(h, k),
where F(h, k) → 0 as (h, k) → (0, 0).
Hence f is differentiable at (a, b).

Remark: If a function f is not differentiable at (a, b), then f and f cannot be continuous at (a, b).
Theorem: If a function f(x,y) is totally differentiable the partial derivatives fx and fy both exist and are finite.
Proof. Let f(x,y) be totally differentiable at the point (a,b), then there exist two constants α and β such that
Functions of Two or Three Variables- I | Mathematics for Competitive Exams
Functions of Two or Three Variables- I | Mathematics for Competitive Exams

⇒ fy (a, b) = β
Similarly, fx(a,b) = α.
Accordingly by theorem a function f(x,y) can be defined at the point (a,b), if
Functions of Two or Three Variables- I | Mathematics for Competitive Exams

➤ Total Differential:
Theorem: If u = f (x, y) be any differentiable function, then
du = fx(x,y) dx + fy(x, y) dy.

Proof: Let u = f(x, y) be any differentiable function, then
δu = (u + δu) - u = f (x + h, y + k) - f (x, y)
Functions of Two or Three Variables- I | Mathematics for Competitive Exams
Hence h → 0 and k → 0 i.e., taking Functions of Two or Three Variables- I | Mathematics for Competitive Exams
Functions of Two or Three Variables- I | Mathematics for Competitive Exams
= fx(x, y) dx + fy(x, y) dy,      [by mean value theorem]
Here du is the total differential of u.

➤ Sufficient Condition for Differentiability:
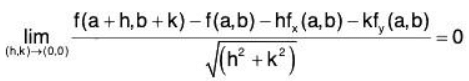
Theorem: If (a, b) be a point of the domain D ⊂ R2 of a real, valued function f(x, y) such that
(i) fx(a,b) exists
(ii) fy(x,y) is continuous at (a,b), then f(x,y) is differentiable at (a,b) 

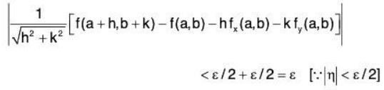
Proof: Let ε > 0 be given. Since fx(x,y) exists at (a, b), therefore there exists a δ1 > 0 such that Ihl < δ1, then
Functions of Two or Three Variables- I | Mathematics for Competitive Exams
Functions of Two or Three Variables- I | Mathematics for Competitive Exams

where lηl < ε/2.
Again fy(x, y) exists and continuous at (a, b), therefore by mean value theorem, f(a + h, b + k) - f(a + h, b) = k fy(a + h, b + 0k) (0 < 0 < 1)     ...(2)
Now consider the following:
Functions of Two or Three Variables- I | Mathematics for Competitive Exams
Functions of Two or Three Variables- I | Mathematics for Competitive Exams
Functions of Two or Three Variables- I | Mathematics for Competitive Exams
Functions of Two or Three Variables- I | Mathematics for Competitive Exams
Functions of Two or Three Variables- I | Mathematics for Competitive Exams     .....(3)
Since fy(x, y) is continuous at (a, b), therefore for Ihl < δ2 and Ikl < δ2 there exist δ2 > 0 such that | fy(a + h, b + k) - fy(a + b) I < ε/2      .... (4)
Since h ≠ 0, k ≠ 0, then
Functions of Two or Three Variables- I | Mathematics for Competitive Exams        ........(5)
Let δ = min(δ1, δ2), then Ihl < δ and Ikl < δ, With the help of (4) and (5), the in equality reduces to
Functions of Two or Three Variables- I | Mathematics for Competitive Exams
Now taking ε → 0 as h → 0, k → 0,
Functions of Two or Three Variables- I | Mathematics for Competitive Exams
Consequently, f(x,y) is differentiable at (a,b).
➤ Some theorems of Differentiability of Real Valued Functions of Two Variables:
Theorem: If f(x,y) and g(x,y) are differentiable at (a,b) then their Sum, Difference, Product and Quotient are also differentiable at the point (a, b) i.e.,
(i)  f(x, y) ± g(x, y) is differentiable and d(f ± g) = df + dg.
(ii) f(x, y) g(x, y) is differentiable and d(fg) = fdg + gdf.
(iii) f(x, y) / g(x, y) is differentiable    when g(x, y) ≠ 0 and d(f/g) = (gdf - fdg) / g2

Condition for Differentiability in Polar Co-ordinates:
Let f(x, y) be differentiable at (a, b), then
Functions of Two or Three Variables- I | Mathematics for Competitive Exams
Substituting h = r cos θ and k = r sin θ and taking limit r→ 0,
Functions of Two or Three Variables- I | Mathematics for Competitive Exams
Functions of Two or Three Variables- I | Mathematics for Competitive Exams


Example 1: Functions of Two or Three Variables- I | Mathematics for Competitive Exams

Show that the function f is not differentiable at the origin.

Functions of Two or Three Variables- I | Mathematics for Competitive Exams

Functions of Two or Three Variables- I | Mathematics for Competitive Exams
Both the partial derivatives exists but are not equal. Therefore, f is not differentiable at (0, 0).


Example 2: Show that the function f(x, y) defined by
Functions of Two or Three Variables- I | Mathematics for Competitive Examsis differentiable at (0, 0). 

By definition,

Functions of Two or Three Variables- I | Mathematics for Competitive Exams

Similarly, fy(0, 0) = 0
Now h = r cos θ and k = r sin θ, then
Functions of Two or Three Variables- I | Mathematics for Competitive ExamsFunctions of Two or Three Variables- I | Mathematics for Competitive Exams[ ∵ f(0 ,1 ) = 0, fx(0,0 ) = 0 and fy(0,0) = 0]
Functions of Two or Three Variables- I | Mathematics for Competitive Exams

Hence the function f(x,y) is differential at (0,0).


Example 3: Let f : R2 → R be defined by setting
f(x, y)  =  x2 sin (1/x) + y2 sin (1/y), when xy ≠ 0,
f(x, 0)  =  x2  sin (1/x), when x  0,
f(0, y)  =  y2  sin (1/y), when y ≠ 0,
f(0, 0)  =  0.

We have
fx(x, y) = 2x sin (1/x) - cos (1/x), x ≠ 0,
fx (0, y) = 0.

Again fy(x, y) = 2y sin (1/y) - sin (1/y), y ≠ 0,
fy(x, 0) = 0.
Since Functions of Two or Three Variables- I | Mathematics for Competitive Exams does not exist, so by (1), fx is not continuous at (0, 0). Similarly fy is not continuous at (0, 0).
Now
Functions of Two or Three Variables- I | Mathematics for Competitive Exams

Similarly fy(0, 0) = 0. Thus fx, fy both exist at (0, 0) but are not continuous at (0, 0). f is differentiable at (0, 0).
We shall verify that
Functions of Two or Three Variables- I | Mathematics for Competitive Examswhere Functions of Two or Three Variables- I | Mathematics for Competitive ExamsWe know A = fx(0, 0) = 0, B = fy(0, 0) = 0. Also f(0, 0) = 0.
From (2) and (3), we obtain
Functions of Two or Three Variables- I | Mathematics for Competitive ExamsFunctions of Two or Three Variables- I | Mathematics for Competitive ExamsFunctions of Two or Three Variables- I | Mathematics for Competitive ExamsFunctions of Two or Three Variables- I | Mathematics for Competitive ExamsHence f is differentiable at (0, 0).


Example 4: Show that the function Functions of Two or Three Variables- I | Mathematics for Competitive Exams is not differentiable at (0, 0).

If f were differetiable then the partial derivatives Functions of Two or Three Variables- I | Mathematics for Competitive Exams would exist. But that partial derivative is the limit.Functions of Two or Three Variables- I | Mathematics for Competitive ExamsNow notice that √h2/h is +1 if h > 0 and -1 if h < 0. Therefore, the limit as h → 0 does not exist and so the partial derivative does not exist. Hence f(x,y) is not differentiable at (0, 0).


Example 5: Show that the function
Functions of Two or Three Variables- I | Mathematics for Competitive Examsis not continuous at (0, 0) (and therefore not differentiable there) even though fx(0,0) and fy(0,0) exist.

Continuity implies that
Functions of Two or Three Variables- I | Mathematics for Competitive Examsalong any curve through (0, 0). If we approach the origin along the line y = x then:Functions of Two or Three Variables- I | Mathematics for Competitive ExamsHence, f(x,y) is not continuous at (0,0). However, the partial derivatives do exist at (0,0):Functions of Two or Three Variables- I | Mathematics for Competitive Exams

Theorem: If f(x,y), fx(x,y), and fy(x,y) are continuous for all (x, y) in the disk (x - a)2 + (y - b)2 < δ, for some δ > 0 then f(x, y) is differentiable at (a, b).


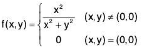
Example 6: In what region is the function Functions of Two or Three Variables- I | Mathematics for Competitive Exams differentiable?

Since fx(x,y) = - x(y2- x2)-1/2 and fy(x,y) = y(y2 - x2)-1/2, according to the above theorem the function is differentiable every where in the region above y = Ixl and below y = -|x| as shown in Fig.

Functions of Two or Three Variables- I | Mathematics for Competitive Exams

The document Functions of Two or Three Variables- I | Mathematics for Competitive Exams is a part of the Mathematics Course Mathematics for Competitive Exams.
All you need of Mathematics at this link: Mathematics
98 videos|34 docs|32 tests
Related Searches

Sample Paper

,

Extra Questions

,

past year papers

,

ppt

,

practice quizzes

,

study material

,

Summary

,

Functions of Two or Three Variables- I | Mathematics for Competitive Exams

,

MCQs

,

Important questions

,

Functions of Two or Three Variables- I | Mathematics for Competitive Exams

,

Free

,

Semester Notes

,

mock tests for examination

,

shortcuts and tricks

,

Previous Year Questions with Solutions

,

Objective type Questions

,

pdf

,

Viva Questions

,

Exam

,

Functions of Two or Three Variables- I | Mathematics for Competitive Exams

,

video lectures

;