Class 10 Exam  >  Class 10 Notes  >  Mathematics (Maths) Class 10  >  Class 10 Mathematics: CBSE Sample Question Paper- Term II (2021-22) - 3

Class 10 Mathematics: CBSE Sample Question Paper- Term II (2021-22) - 3 | Mathematics (Maths) Class 10 PDF Download

Class-X

Time: 120 

Minutes

M.M: 40

General Instructions:
Read the following instructions very carefully and strictly follow them:

  1. The question paper consists of 14 questions divided into 3 sections A, B, C.
  2. All questions are compulsory.
  3. Section A comprises of 6 questions of 2 marks each. Internal choice has been provided in two questions.
  4. Section B comprises of 4 questions of 3 marks each. Internal choice has been provided in one question.
  5. Section C comprises of 4 questions of 4 marks each. An internal choice has been provided in one question. It contains two case study based questions.

Section - A

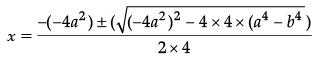
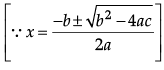
Q.1. Solve the following quadratic equation for x:
4x2 – 4a2x + (a4 – b4) = 0

OR
Find the value(s) of k for which the quadratic equation x2 + 2√2 kx + 18 = 0 has equal  roots.

Given, 4x2 – 4a2x + (a4 – b4) = 0

Comparing with Ax2 + Bx + C = 0, we get
Here, A = 4, B = –4a2 and C = (a4 – b4)
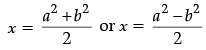
Since, x = Class 10 Mathematics: CBSE Sample Question Paper- Term II (2021-22) - 3 | Mathematics (Maths) Class 10
Then, Class 10 Mathematics: CBSE Sample Question Paper- Term II (2021-22) - 3 | Mathematics (Maths) Class 10
Class 10 Mathematics: CBSE Sample Question Paper- Term II (2021-22) - 3 | Mathematics (Maths) Class 10
Class 10 Mathematics: CBSE Sample Question Paper- Term II (2021-22) - 3 | Mathematics (Maths) Class 10
Class 10 Mathematics: CBSE Sample Question Paper- Term II (2021-22) - 3 | Mathematics (Maths) Class 10
Class 10 Mathematics: CBSE Sample Question Paper- Term II (2021-22) - 3 | Mathematics (Maths) Class 10
Class 10 Mathematics: CBSE Sample Question Paper- Term II (2021-22) - 3 | Mathematics (Maths) Class 10
OR
Since, x2 + 2√2 kx + 1 8 = 0 has equal roots then discriminant, D = 0
Comparing x2 + 2√2 kx + 18 = 0 with ax2 + bx + c = 0,
Now, a = 1, b = 2 √2 k and c = 18
D = 0
⇒ b2 = 4ac
(2√2k)2 = 4 × 1 × 18
4 × 2 × k2 = 72
k2 = 72/8
k2 = 9 ⇒ k = √9
k = ± 3.

Q.2. Show that (a – b)2, (a2 + b2) and (a + b)2 are in A.P. .
OR
Which term of the A.P. 3, 15, 27, 39,... will be 120 more than its 21st term?

Given, (a – b)2, (a2 + b2) and (a + b)2
Common difference,
d1 = (a2 + b2) – (a – b)2
= a2 + b2 – (a2 + b2 – 2ab)
= a2 + b2 – a2 – b2 + 2ab
= 2ab
and d2 = (a + b)2 – (a2 + b2)
= a2 + b2 +2ab – a2 – b2
= 2ab
Since, d1 = d2
Hence, (a – b)2, (a2 + b2) and (a + b)2 are in an A.P.
OR
an = a21 + 120
= (3 + 20 × 12) + 120 = 363
∴ 363 = 3 + (n – 1) × 12
⇒ n = 31
or 31st term is 120 more than a21.
Detailed Solution:
Given A.P. is: 3, 15, 27, 39
Here, first term, a = 3 and common difference, d = 12
Now, 21st term of A.P. is t21 = a + (21 – 1) d
∴ t21 = 3 +20 × 12 = 243
Therefore, 21st term is 243
We need to calculate term which is 120 more than 21st term
i.e., it should be 243 + 120 = 363
Therefore, tn = 363

∴ tn = a + (n – 1)d
⇒ 363 = 3 + (n – 1)12
⇒ 360 = 12(n – 1)
⇒ n – 1 = 30
⇒ n = 31
So, 31st term is 120 more than 21st term.

Q.3. In the figure, quadrilateral ABCD is circumscribing a circle with centre O and AD ⊥ AB. If radius of incircle is 10 cm, then find the value of x.
Class 10 Mathematics: CBSE Sample Question Paper- Term II (2021-22) - 3 | Mathematics (Maths) Class 10

∠A = ∠OPA = ∠OSA = 90°
Hence, ∠SOP = 90°
Also, AP = AS
Hence, OSAP is a square.
AP = AS = 10 cm
CR = CQ = 27 cm
BQ = BC – CQ
= 38 – 27 = 11 cm
BP = BQ = 11 cm
x = AB = AP + BP
= 10 + 11 = 21 cm
Detailed Solution:
With O as centre, draw a perpendicular OP on AB.
Now, in quadrilateral APOS,
Class 10 Mathematics: CBSE Sample Question Paper- Term II (2021-22) - 3 | Mathematics (Maths) Class 10

∠SAP = 90° (Given)
∠APO = 90° (By construction)
and ∠ASO = 90° (Angle between  tangent and radius)
Finally ∠SOP = 360° – (90° + 90° + 90°)
= 90°
AP = AS (Tangents from external point A)
∴ OSAP is a square.
AP = A S = SO = 10 cm
∵ CR = CQ (Tangents from external point C)
∴ CR = CQ = 27 cm
But BC = 38 cm (Given)
∴ BQ = BC – CQ = (38 – 27) cm
BQ = 11 cm
BP = BQ (Tangent from external point B)
∴ BP = 11 cm
So, x = AB = AP + PB
= (10 + 11) cm = 21 cm
Hence, the value of x is 21 cm.

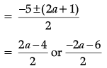
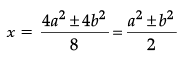
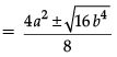
Q.4. Solve for x:
x2 + 5x – (a2 + a – 6) = 0

Given,
x2 + 5x – (a2 + a – 6) = 0
Then, Class 10 Mathematics: CBSE Sample Question Paper- Term II (2021-22) - 3 | Mathematics (Maths) Class 10
Class 10 Mathematics: CBSE Sample Question Paper- Term II (2021-22) - 3 | Mathematics (Maths) Class 10
Class 10 Mathematics: CBSE Sample Question Paper- Term II (2021-22) - 3 | Mathematics (Maths) Class 10
Thus, x= a – 2 or x = – (a + 3)
Detailed Solution:
x2 + 5x – (a2 + a – 6) = 0
⇒ x2 + 5x – (a2 + 3a – 2a – 6) = 0
⇒ x2 + 5x – [a(a + 3) – 2(a + 3)] = 0
⇒ x2 + 5x – (a + 3)(a – 2) = 0
⇒ x2 + [(a + 3) – (a – 2)]x – (a + 3)(a – 2) = 0
⇒ x2 + (a + 3)x – (a – 2)x – (a + 3)(a – 2) = 0
⇒ x[x + (a + 3)] – (a – 2) [x + (a + 3)] = 0
⇒ [x + (a + 3)] [x – (a – 2)] = 0
⇒ x = – (a + 3) or x = a – 2
Hence, roots of given equation are – (a + 3) and a – 2.

Q.5. The (3/4)th part of a conical vessel of internal radius 5 cm and height 24 cm is full of water. The water emptied into a cylindrical vessel with internal radius 10 cm. Find the height of water in cylindrical vessel.

Radius of conical vessel = 5 cm
and its height = 24 cm
Volume of cone vessel = (1/3)πR2H
= (1/3) x π x 5 x 5 x 24 = 200π cm3.
Internal radius of cylindrical vessel = 10 cm
Let the height of emptied water be h.
∴ Volume of water in cylinder = (3/4) x Volume of cone
⇒ πr2h = (3/4) x Volume of cone
⇒ π × 10 × 10 × h = 150π
⇒ h = 1.5 cm
Hence the height of water = 1.5 cm

Q.6. The mean of the following frequency distribution is 25. Find the value of p.
Class 10 Mathematics: CBSE Sample Question Paper- Term II (2021-22) - 3 | Mathematics (Maths) Class 10

Class 10 Mathematics: CBSE Sample Question Paper- Term II (2021-22) - 3 | Mathematics (Maths) Class 10
Class 10 Mathematics: CBSE Sample Question Paper- Term II (2021-22) - 3 | Mathematics (Maths) Class 10
 Class 10 Mathematics: CBSE Sample Question Paper- Term II (2021-22) - 3 | Mathematics (Maths) Class 10
⇒ 650 + 25p = 570 + 45p
⇒ 650 – 570 = 45p – 25p
∴ p = 4

Section - B

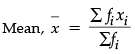
Q.7. Find the arithmetic mean of the following frequency distribution :
Class 10 Mathematics: CBSE Sample Question Paper- Term II (2021-22) - 3 | Mathematics (Maths) Class 10

Class 10 Mathematics: CBSE Sample Question Paper- Term II (2021-22) - 3 | Mathematics (Maths) Class 10
Arithmetic Mean Class 10 Mathematics: CBSE Sample Question Paper- Term II (2021-22) - 3 | Mathematics (Maths) Class 10
= 1002.5/35 = 28.6 (Approx)

Q.8. Draw a line segment AB of length 9 cm. With A and B as centres, draw circles of radius 5 cm and 3 cm respectively. Construct tangents to each circle from the centre of the other circle.

Class 10 Mathematics: CBSE Sample Question Paper- Term II (2021-22) - 3 | Mathematics (Maths) Class 10Detailed Solution:

Class 10 Mathematics: CBSE Sample Question Paper- Term II (2021-22) - 3 | Mathematics (Maths) Class 10

Steps of Construction :
(i) Draw a line segment AB of 9 cm.
(ii) Taking A  and B as centres draw two circles of radii 5 cm and 3 cm respectively.
(iii) Perpendicular bisect the line AB. Let midpoint of AB be C.
(iv) Taking C as centre draw a circle of radius AC which intersects the two circles at point P, Q, R and S.
(v) Join B P, BQ, AS and AR.
BP, BQ and AR, AS are the required tangents.

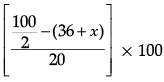
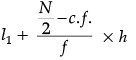
Q.9. The median of the following data is 525. Find the values of x  and y, if total frequency is 100.
Class 10 Mathematics: CBSE Sample Question Paper- Term II (2021-22) - 3 | Mathematics (Maths) Class 10

Class 10 Mathematics: CBSE Sample Question Paper- Term II (2021-22) - 3 | Mathematics (Maths) Class 10
Also, 76 + x + y = 100
⇒ x + y = 100 – 76 = 24 ...(i)
Given, Median = 525, which lies between class 500 – 600.
⇒ Median class = 500 – 600
Now, Median = Class 10 Mathematics: CBSE Sample Question Paper- Term II (2021-22) - 3 | Mathematics (Maths) Class 10
⇒ 525 = 500 + Class 10 Mathematics: CBSE Sample Question Paper- Term II (2021-22) - 3 | Mathematics (Maths) Class 10
⇒ 25 = (50 – 36 – x) 5
⇒ 14 – x = 25/5 = 5
⇒ x = 14 – 5 = 9
Putting the value of x in eq. (i), we get
y = 24 – 9 = 15
Hence,  x = 9 and y = 15.

Q.10. The two palm trees are of equal heights and are standing opposite to each other on either side of the river, which is 80 m wide. From a point O between them on the river the angles of elevation of the top of the trees are 60° and 30°, respectively. Find the height of the trees and the distances of the point O from the trees. (use√3 = 1.73)
OR
The ratio of the length of a vertical rod and the length of its shadow is 1 : √3 . Find the angle of elevation of the Sun at that moment ?

Class 10 Mathematics: CBSE Sample Question Paper- Term II (2021-22) - 3 | Mathematics (Maths) Class 10

Let BD = width of river = 80 m
AB = CD = height of both trees = h
BO = x
OD = 80 – x
In ΔABO, ∠B = 90°
tan 60° = h/x
√3 = h/x
h = √3x    ....(i)
In ΔCDO, ∠D = 90°
tan 30° = h/(80 - x)
1/√3 = h/(80-x)       ......(ii)
Solving (i) and (ii), we get
x = 20 m
h = √3x [From eqn. (i)]
= 1.73 × 20 m
= 34.6 m
The height of the trees = h = 34.6 m
BO = x = 20 m
DO = 80 – x
= 80 – 20 = 60 m
∴ The distances of the point O from the trees are 20 m and 60 m respectively.
OR
Let AB be a vertical rod and BC be its shadow.
From the figure, ∠ACB = θ.
In ΔABC, ∠B = 90°
Class 10 Mathematics: CBSE Sample Question Paper- Term II (2021-22) - 3 | Mathematics (Maths) Class 10

Section - C

Q.11. The given figure is a decorative block, made up of two solids : a cube and a hemisphere. The base of the block is a cube of side 6 cm and the hemisphere fixed on the top has a diameter of 3.5 cm. Find the total surface area of the block. [Use π= 22/7].
Class 10 Mathematics: CBSE Sample Question Paper- Term II (2021-22) - 3 | Mathematics (Maths) Class 10

Surface area of block
= 216 - (22/7) x (3.5/2) x (3.5/2) + 2 x (22/7) x (3.5/2) x (3.5/2)
= 225.625 cm2.
Detailed Solution:
Given, Side of cube = 6 cm
Diameter of hemisphere = 3.5 cm
Radius of hemisphere = 3.5/2
Total surface area of cube = 6a2
= 6 × (6)2 = 216 cm2
Total surface area of solid = TSA of cube – Area of circle + CSA of hemisphere.
Class 10 Mathematics: CBSE Sample Question Paper- Term II (2021-22) - 3 | Mathematics (Maths) Class 10
Class 10 Mathematics: CBSE Sample Question Paper- Term II (2021-22) - 3 | Mathematics (Maths) Class 10
Class 10 Mathematics: CBSE Sample Question Paper- Term II (2021-22) - 3 | Mathematics (Maths) Class 10

Q.12. In given figure, AB is the diameter of a circle with centre O and AT is a tangent. If ∠AOQ = 58°, find ∠ATQ.
Class 10 Mathematics: CBSE Sample Question Paper- Term II (2021-22) - 3 | Mathematics (Maths) Class 10OR
Prove that opposite sides of a quadrilateral circumscribing a circle subtend supplementary angles at the centre of the circle.

∠AOQ = 58° (Given)
∠ABQ = 1/2 ∠AOQ
(Angle on the circumference of the circle by the same arc)
= 1/2 x 58°
= 29°
Class 10 Mathematics: CBSE Sample Question Paper- Term II (2021-22) - 3 | Mathematics (Maths) Class 10

∠BAT = 90° (∵ OA ⊥ AT)
∴ ∠ATQ = 90° – 29° = 61°
OR
Given:
A circle with centre O is inscribed in a quadrilateral ABCD.
In ∆AEO and ∆AFO,
OE = OF (radii of circle)
∠OEA = ∠OFA = 90° (radius is ⊥r to  tangent)
Class 10 Mathematics: CBSE Sample Question Paper- Term II (2021-22) - 3 | Mathematics (Maths) Class 10

The point of contact is perpendicular to the tangent.
OA = OA (common side)
∆AEO ≅ ∆AFO (R.H.S. congruency)
∠7 = ∠8 (By cpct) ...(i)
Similarly,
∠1 = ∠2 ...(ii)
∠3 = ∠4 ...(iii)
∠5 = ∠6 ...(iv)
∠1 + ∠2 + ∠3 + ∠4 + ∠5 + ∠6 + ∠7 + ∠8 = 360° (angle around a point is 360°)
2 ∠1 + 2 ∠8 + 2 ∠4 + 2∠5 = 360°
∠1 + ∠8 + ∠4 + ∠5 = 180°
(∠1 + ∠8) + (∠4 + ∠5) = 180°
∠AOB + ∠COD = 180° Hence Proved.

Case Study-1

Q.13. A circus artist is climbing from the ground along a rope stretched from the top of a vertical pole and tied at the ground. The height of the pole is 12 m and the angle made by the rope with ground level is 30°.

Class 10 Mathematics: CBSE Sample Question Paper- Term II (2021-22) - 3 | Mathematics (Maths) Class 10

Give answer of the following questions: 
(i) Find the distance covered by the artist in climbing the top of the pole.
(ii) Calculate the length of BC.

(i) Clearly, distance covered by the artist is equal to the length of the rope AC.
Let AB be the vertical pole of height 12 m.
It is given that ∠ACB = 30°
Thus, in right-angled triangle ABC,
sin 30° = AB/AC
⇒ 1/2 = 12/AC
∴ AC = 24 m.
(ii) In ΔABC, ∠B = 90°
tan 30° = AB/BC
⇒ 1/√3 = 12/BC
⇒ BC = 12√3 m.

Case Study- 2

Q.14. Jaspal Singh takes a loan from a bank for his car.
Jaspal Singh repays his total loan of ₹ 118000 by paying every month starting with the first installment of ₹ 1000. If he increases the installment by ₹ 100 every month.

Class 10 Mathematics: CBSE Sample Question Paper- Term II (2021-22) - 3 | Mathematics (Maths) Class 10

(i) Calculate the amount paid by him in 25th installment.
(ii) Calculate the amount paid by him in 30th installment.

(i) The amount paid by him in 25th installment is:
T25 = a + 24d
= 1000 + 24 × 100
= 1000 + 2400 = ₹ 3400.
(ii) The amount paid by him in 30th installment,
T30 = a + 29d
= 1000 + 29 × 100
= 1000 + 2900 = ₹ 3900.

The document Class 10 Mathematics: CBSE Sample Question Paper- Term II (2021-22) - 3 | Mathematics (Maths) Class 10 is a part of the Class 10 Course Mathematics (Maths) Class 10.
All you need of Class 10 at this link: Class 10
127 videos|584 docs|79 tests

FAQs on Class 10 Mathematics: CBSE Sample Question Paper- Term II (2021-22) - 3 - Mathematics (Maths) Class 10

1. What is the format of the Class 10 Mathematics CBSE Term II Sample Question Paper?
Ans.The Class 10 Mathematics CBSE Term II Sample Question Paper is divided into three sections: Section A, Section B, and Section C. It is designed to assess students' understanding of various mathematical concepts over a duration of 120 minutes, with a maximum mark of 40.
2. How many questions are there in the Class 10 Mathematics Sample Paper?
Ans.The number of questions in the Class 10 Mathematics Sample Paper may vary each year, but it typically consists of a mix of multiple-choice questions, short answer questions, and long answer questions across the three sections. Students should refer to the specific sample paper for the exact count and types of questions.
3. What are the key topics covered in the Class 10 Mathematics CBSE syllabus for Term II?
Ans.Key topics covered in the Class 10 Mathematics CBSE syllabus for Term II generally include Algebra, Geometry, Trigonometry, Statistics, and Probability. It is important for students to review all these topics thoroughly in preparation for the exam.
4. How can students effectively prepare for the Class 10 Mathematics Term II exam?
Ans.Students can prepare effectively for the Class 10 Mathematics Term II exam by regularly practicing sample papers, revising important concepts, solving previous years' question papers, and attending extra classes or tutoring sessions if needed. Time management during study sessions is also crucial.
5. What is the importance of solving sample papers for the Class 10 Mathematics exam?
Ans.Solving sample papers is important for the Class 10 Mathematics exam as it helps students familiarize themselves with the exam format, question types, and time management. It also aids in identifying weak areas in their understanding, allowing for targeted revision before the actual exam.
Related Searches

past year papers

,

Exam

,

Semester Notes

,

Objective type Questions

,

MCQs

,

Class 10 Mathematics: CBSE Sample Question Paper- Term II (2021-22) - 3 | Mathematics (Maths) Class 10

,

Viva Questions

,

video lectures

,

shortcuts and tricks

,

Previous Year Questions with Solutions

,

Sample Paper

,

mock tests for examination

,

Free

,

pdf

,

Class 10 Mathematics: CBSE Sample Question Paper- Term II (2021-22) - 3 | Mathematics (Maths) Class 10

,

Class 10 Mathematics: CBSE Sample Question Paper- Term II (2021-22) - 3 | Mathematics (Maths) Class 10

,

Extra Questions

,

Summary

,

Important questions

,

study material

,

practice quizzes

,

ppt

;