Directions: For the following questions answer them individually.
Question for Quant For CAT 2021 (Slot - 2)
Try yourself:For all possible integers n satisfying 2.25 ≤ 2 + 2n+2 ≤ 202, then the number of integer values of 3 + 3n+1 is:
Explanation
2.25 ≤ 2 + 2n+2 ≤ 202
2.25 − 2 ≤ 2 + 2n+2 −2 ≤ 202 − 2
0.25 ≤ 2n+2 ≤ 200
log2 0.25 ≤ n+2 ≤ log2 200
−2 ≤ n+2 ≤ 7.xx
−4 ≤ n ≤ 7.xx − 2
−4 ≤ n ≤ 5.xx
Possible integers = -4, -3, -2, -1, 0, 1, 2, 3, 4, 5
If we see the second expression that is provided, i.e
3+3n+1 , it can be implied that n should be at least -1 for this expression to be an integer.
So, n = -1, 0, 1, 2, 3, 4, 5.
Hence, there are a total of 7 values.
Report a problem
Question for Quant For CAT 2021 (Slot - 2)
Try yourself:Three positive integers x, y and z are in arithmetic progression. If y - x > 2y and xyz = 5(x + y + z), then z - x equals
Explanation
Given x, y, z are three terms in an arithmetic progression.
Considering x = a, y = a + d, z = a + 2 x d.
Using the given equation x X y X z = 5 x (x + y + z)
a x (a + d) x (a + 2 x d) = 5 x (a + a + d + a + 2 x d)
= a x (a + d) x (a + 2 x d) = 5 x (3 x a + 3 x d) = 15 x (a + d).
= a x (a + 2 x d) = 15.
Since all x, y, z are positive integers and y - x > 2. a, a + d, a + 2 x d are integers.
The common difference is positive and greater than 2.
Among the different possibilities are : (a = 1, a + 2d = 5), (a, = 3, a + 2d = 5), (a = 5, a + 2d = 3), (a = 15, a + 2d = 1)
Hence the only possible case satisfying the condition is :
a = 1, a + 2 x d = 15.
x = 1, z = 15.
z - x = 14.
Report a problem
Question for Quant For CAT 2021 (Slot - 2)
Try yourself:For a 4-digit number, the sum of its digits in the thousands, hundreds and tens places is 14, the sum of its digits in the hundreds, tens and units places is 15, and the tens place digit is 4 more than the units place digit. Then the highest possible 4-digit number satisfying the above conditions is
Explanation
Given the 4 digit number:
Considering the number in thousands digit is a number in the hundredth digit is b, number in tens digit is c, number in the units digit is d.
Let the number be abcd.
Given that a + b + c = 14. (1)
b + c + d = 15. (2)
c = d + 4. (3).
In order to find the maximum number which satisfies the condition, we need to have abcd such that a is maximum which is the digit in thousands place in order to maximize the value of the number. b, c, and d are less than 9 each as they are single-digit numbers.
Substituting (3) in (2) we have b + d + 4 + d = 15, b + 2 x d = 11. (4)
Subtracting (2) and (1) : (2) - (1) = d = a + 1. (5)
Since c cannot be greater than 9 considering c to be the maximum value 9 the value of d is 5.
If d = 5, using d = a + 1, a = 4.
Hence the maximum value of a = 4 when c = 9, d = 5.
Substituting b + 2 x d = 11. b = 1.
The highest four-digit number satisfying the condition is 4195
Report a problem
Question for Quant For CAT 2021 (Slot - 2)
Try yourself:Raj invested ₹ 10000 in a fund. At the end of first year, he incurred a loss but his balance was more than ₹ 5000. This balance, when invested for another year, grew and the percentage of growth in the second year was five times the percentage of loss in the first year. If the gain of Raj from the initial investment over the two year period is 35%, then the percentage of loss in the first year is
Explanation
Raj invested Rs 10000 in the first year. Assuming the loss he faced was x%.
The amount after 1 year is 10,000*(1 - x/100). = 10000 - 100*x.
Given the balance was greater than Rs 5000 and hence x < 50 percent.
When Raj invested this amount in the second year he earned a profit which is five times that of the first-year percentage.
Hence the amount after the second year is : (10000 - 100x) (1 + 5x/100).
Raj gained a total of 35 percent over the period of two years and hence the 35 percent is Rs 3500.
Hence the final amount is Rs 13,500.
(10000 - 100x) (1 + 5x/100) = 13500
(100+5⋅x)⋅(100 − x) = 13500
10000 - 100*x +500*x - 5*x2 = 13500.
5x2 − 400x + 3500 = 0
Solving the equation the roots are :
x = 10, x = 70.
Since x < 50, x = 10 percent.
Report a problem
Question for Quant For CAT 2021 (Slot - 2)
Try yourself:The number of ways of distributing 15 identical balloons, 6 identical pencils and 3 identical erasers among 3 children, such that each child gets at least four balloons and one pencil, is
Explanation
This question is an application of the product rule in probability and combinatorics.
In the product rule, if two events A and B can occur in x and y ways, and for an event E, both events A and B need to take place, the number of ways that E can occur is xy. This can be expanded to 3 or more events as well.
Event 1: Distribution of balloons
Since each child gets at least 4 balloons, we will initially allocate these 4 balloons to each of them.
So we are left with 15 - 4 x 3 = 15 - 12 = 3 balloons and 3 children.
Now we need to distribute 3 identical balloons to 3 children.
This can be done in n+r−1Cr−1 ways, where n = 3 and r = 3.
So, number of ways = 3+3−1C3−1 = 5C2 = 5× 4/2 x 1 = 10
Event 2: Distribution of pencils
Since each child gets at least one pencil, we will allocate 1 pencil to each child. We are now left with 6 - 3 = 3 pencils.
We now need to distribute 3 identical pencils to 3 children.
This can be done in n+r−1Cr−1 ways, where n = 3 and r = 3.
So, number of ways = 3+3−1C3−1 = 5C2 = 5× 4/2 x 1 = 10
Event 3: Distribution of erasers
We need to distribute 3 identical erasers to 3 children.
This can be done in n+r−1Cr−1 ways, where n = 3 and r = 3.
So, number of ways = 3+3−1C3−1 = 5C2 = 5× 4/2 x 1 = 10
Applying the product rule, we get the total number of ways = 10 x 10 x 10 = 1000.
Report a problem
Question for Quant For CAT 2021 (Slot - 2)
Try yourself:Two trains A and B were moving in opposite directions, their speeds being in the ratio 5 : 3. The front end of A crossed the rear end of B 46 seconds after the front ends of the trains had crossed each other. It took another 69 seconds for the rear ends of the trains to cross each other. The ratio of length of train A to that of train B is
Explanation
Considering the length of train A = La, length of train B = Lb.
The speed of train A be 5*x, speed of train B be 3*x.
From the information provided :
The front end of A crossed the rear end of B 46 seconds after the front ends of the trains had crossed each other.
In this case, train A traveled a distance equivalent to the length of train B which is Lb at a speed of 5*x+3*x = 8*x because both the trains are traveling in the opposite direction.
Hence (8*x)*(46) = Lb.
In the information provided :
It took another 69 seconds for the rear ends of the trains to cross each other.
In the next 69 seconds
The train B traveled a distance equivalent to the length of train A in this 69 seconds.
Hence (8*x)*(69) = La.
La/Lb = 69/46 = 3/2 = 3 : 2
Report a problem
Question for Quant For CAT 2021 (Slot - 2)
Try yourself:Suppose one of the roots of the equation ax2 − bx + c=0 is 2 + √3, Where a,b and c are rational numbers and a ≠ 0. If b = c3 then ∣a∣ equals.
Explanation
Given a, b, c are rational numbers.
Hence a, b, c are three numbers that can be written in the form of p/q.
Hence if one both the root is 2 + √3 and considering the other root to be x.
The sum of the roots and the product of the two roots must be rational numbers.
For this to happen the other root must be the conjugate of 2 + √3 so the product and the sum of the roots are rational numbers which are represented by: b/a, c/a.
Hence the sum of the roots is 2 + √3 + 2 - √3 = 4
The product of the roots is (2 + √3) . (2 - √3) = 4
b/a = 4, c/a = 1.
b = 4 x a, c = a.
Since b = c3
4 x a = a3
a2 = 4.
a = 2 or -2.
|a| = 2
Report a problem
Question for Quant For CAT 2021 (Slot - 2)
Try yourself:From a container filled with milk, 9 litres of milk are drawn and replaced with water. Next, from the same container, 9 litres are drawn and again replaced with water. If the volumes of milk and water in the container are now in the ratio of 16 : 9, then the capacity of the container, in litres, is
Explanation
Let initial volume be V, final be F for milk.
The formula is given by :
n is the number of times the milk is drawn and replaced.
so we get

here K =9
we get

we get

If considering 
V =5, but this is not possible because 9 liters is drawn every time.
Hence : 1 - 9/V = 4/5, V = 45 litres
Report a problem
Question for Quant For CAT 2021 (Slot - 2)
Try yourself:If a rhombus has area 12 sq cm and side length 5 cm, then the length, in cm, of its longer diagonal is
Explanation
All the sides of the rhombus are equal.
The area of a rhombus is 12 cm2
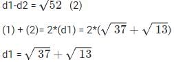
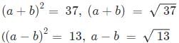
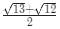
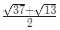
Considering d1 to be the length of the longer diagonal, d2 to be the length of the shorter diagonal.
The area of a rhombus is (1/2)(d1) . (d2) = 12
d1 x d2 = 24.
The length of the side of a rhombus is given by
.This is because the two diagonals and a side from a right-angled triangle with sides d1/2, d2/2 and the side length.

Hence 
Using d12 +d22 + 2⋅d1⋅d2 = 100 + 48 = 148
d12 +d22 - 2⋅d1⋅d2 = 100 - 48 = 52


or
In a rhombus the area of a Rhombus is given by :

The diagonals perpendicularly bisect each other. Considering the length of the diagonal to be 2a, 2b.
The area of a Rhombus is :

ab =6.
The length of each side is : 


2a is longer diagonal which is equal to
.
Report a problem
Question for Quant For CAT 2021 (Slot - 2)
Try yourself:If log2 [3+log3 {4 + log4 (x−1)}] − 2 = 0 then 4x equals
Explanation
We have :
log2 [3+log3 {4 + log4 (x−1)}] = 2
we get 3 + log3 {4+log4 (x−1)} = 4
we get log3 (4+log 4 (x−1) = 1)
we get 4+log4 (x−1) = 3
log4 (x−1) = −1
x - 1 = 4 - 1
x = 1/4 + 1 = 5/4
4x = 5
Report a problem
Question for Quant For CAT 2021 (Slot - 2)
Try yourself:The sides AB and CD of a trapezium ABCD are parallel, with AB being the smaller side. P is the midpoint of CD and ABPD is a parallelogram. If the difference between the areas of the parallelogram ABPD and the triangle BPC is 10 sq cm, then the area, in sq cm, of the trapezium ABCD is
Explanation
We are given that :

Let DP = x
So AB = x
Now DP = CP
So CD = 2x
Now let height of trapezium be h
we can say A(Parallelogram ABPD ) = xh
And A (BPC) = 1/2xh
Now by condition xh - 1/2xh = 10
xh/2 = 10
So xh = 20
Now therefore area of trapezium ABCD = 1/2(x + 2x)h = 3/2xh = 30
Report a problem
Question for Quant For CAT 2021 (Slot - 2)
Try yourself:For all real values of x, the range of the function
is
Explanation

If we closely observe the coefficients of the terms in the numerator and denominator, we see that the coefficients of the x2 and x in the numerators are in ratios 1:2. This gives us a hint that we might need to adjust the numerator to decrease the number of variables.

Now, we only have terms of x in the denominator.
The maximum value of the expression is achieved when the quadratic expression
2x2 + 4x + 9 achieves its highest value, that is infinity.
In that case, the second term becomes zero and the expression becomes 1/2. However, at infinity, there is always an open bracket ')'.
To obtain the minimum value, we need to find the minimum possible value of the quadratic expression.
The minimum value is obtained when 4x + 4 = 0 [d/dx = 0]
x = -1.
The expression comes as 7.
The entire expression becomes 3/7.
Hence, [3/7, 1/2]
Report a problem
Question for Quant For CAT 2021 (Slot - 2)
Try yourself:For a sequence of real numbers x1 ,x2 ,...xn , If x1 − x2 + x3 −....+(−1)n+1xn = n2 +2n for all natural numbers n, then the sum x49 + x50 equals
Explanation
Now as per the given series :
we get x1 = 1 + 2 = 3
Now x1 − x2 = 8
so x2 = −5
Now x1 − x2 + x3 = 15
so x3 = 7
so we get xn = (−1)n+1(2n+1)
so x49 = 99 and x50 = −101
Therefore x49 + x50 = −2
Report a problem
Question for Quant For CAT 2021 (Slot - 2)
Try yourself:For a real number x the condition 3x − 20∣ + ∣3x − 40∣ = 20 necessarily holds if
Explanation
Case 1 : x ≥ 40/3
we get 3x - 20 +3x - 40 = 20
6x = 80
x = 80/6 = 40/3 = 13.33
Case 2 : 20/3 ≤ x < 40/3
we get 3x - 20 + 40 - 3x = 20
we get 20 = 20
So we get x ∈ [20/3, 40/3]
Case 3: x < 20/3
we get 20 - 3x + 40 - 3x = 20
40 = 6x
x = 20/3
but this is not possible
so we get from case 1,2 and 3
20/3 ≤ x < 40/3
Now looking at options
we can say only option C satisfies for all x .
Hence 7 < x < 12.
Report a problem
Question for Quant For CAT 2021 (Slot - 2)
Try yourself:Anil can paint a house in 60 days while Bimal can paint it in 84 days. Anil starts painting and after 10 days, Bimal and Charu join him. Together, they complete the painting in 14 more days. If they are paid a total of ₹ 21000 for the job, then the share of Charu, in INR, proportionate to the work done by him, is
Explanation
Let Entire work be W
Now Anil worked for 24 days
Bimal worked for 14 days and Charu worked for 14 days .
Now Anil Completes W in 60 days
so in 24 days he completed 0.4W
Bimal completes W in 84 Days
So in 14 Days Bimal completes = W/6
Therefore work done by charu = W - W/6 - 4W/10 = 26W/10 = 13W/30
Therefore proportion of Charu = 13/30 x 21000 = 9100
Report a problem
Question for Quant For CAT 2021 (Slot - 2)
Try yourself:A box has 450 balls, each either white or black, there being as many metallic white balls as metallic black balls. If 40% of the white balls and 50% of the black balls are metallic, then the number of non-metallic balls in the box is
Explanation
Let the number of white balls be x and black balls be y
So we get x + y = 450 (1)
Now metallic black balls = 0.5y
Metallic white balls = 0.4x
From condition 0.4x = 0.5y
we get 4x - 5y=0 (2)
Solving (1) and (2) we get
x = 250 and y = 200
Now number of Non Metallic balls = 0.6x + 0.5y = 150 + 100 = 250
Report a problem
Question for Quant For CAT 2021 (Slot - 2)
Try yourself:In a football tournament, a player has played a certain number of matches and 10 more matches are to be played. If he scores a total of one goal over the next 10 matches, his overall average will be 0.15 goals per match. On the other hand, if he scores a total of two goals over the next 10 matches, his overall average will be 0.2 goals per match. The number of matches he has played is
Explanation
Let Total matches played be n and in initial n-10 matches his goals be x
so we get (x + 1)/n = 0.15
we get x + 1 = 0.15n (1)
From condition (2) we get :
(x + 2)/n = 0.2
we get x+2 = 0.2n (2)
Subtracting (1) and (2)
we get 1 = 0.05n
n = 20
So initially he played n -10 =10 matches
Report a problem
Question for Quant For CAT 2021 (Slot - 2)
Try yourself:A person buys tea of three different qualities at ₹ 800, ₹ 500, and ₹ 300 per kg, respectively, and the amounts bought are in the proportion 2 : 3 : 5. She mixes all the tea and sells one-sixth of the mixture at ₹ 700 per kg. The price, in INR per kg, at which she should sell the remaining tea, to make an overall profit of 50%, is
Explanation
Considering the three kinds of tea are A, B, and C.
The price of kind A = Rs 800 per kg.
The price of kind B = Rs 500 per kg.
The price of kind C = Rs 300 per kg.
They were mixed in the ratio of 2 : 3: 5.
1/6 of the total mixture is sold for Rs 700 per kg.
Assuming the ratio of mixture to A = 12kg, B = 18kg, C =30 kg.
The total cost price is 800 x 12 + 500 x 18 + 300 x 30 = Rs 27600.
Selling 1/6 which is 10kg for Rs 700/kg the revenue earned is Rs 7000.
In order to have an overall profit of 50 percent on Rs 27600.
Thes selling price of the 60 kg is Rs 27600 x 1.5 = Rs 41400.
Hence he must sell the remaining 50 kg mixture for Rs 41400 - Rs 7000 = 34400.
Hence the price per kg is Rs 34400/50 = Rs 688
Report a problem
Question for Quant For CAT 2021 (Slot - 2)
Try yourself:Consider the pair of equations: x2 − xy − x = 22 and y2 − xy + y = 34. If x > y, then x -y equals
Explanation
We have :
x2 − xy − x = 22 (1)
and y2 − xy + y = 34 (2)
Adding (1) and (2)
we get x2 − 2xy + y2 − x + y = 56
we get (x−y)2 − (x − y) = 56
Let (x - y) =t
we get t2 − t = 56
t2 − t − 56=0
(t - 8)(t + 7) = 0
so t = 8
so x - y = 8
Report a problem
Question for Quant For CAT 2021 (Slot - 2)
Try yourself:Let D and E be points on sides AB and AC, respectively, of a triangle ABC, such that AD : BD = 2 : 1 and AE : CE = 2 : 3. If the area of the triangle ADE is 8 sq cm, then the area of the triangle ABC, in sq cm, is
Explanation
We have :

Now area of ADE = 1/2 x AD x AE x sin A
= 1/2 X 2x X 2y X sin A = 8
we get xy sinA = 4
Now Area of triangle ABC = 1/2 AB x AC x sin A
We get 1/2 X 3x X 5y sin A = 15/2xy sin A = 15/2 x 4
we get Area of ABC = 30
Report a problem
Question for Quant For CAT 2021 (Slot - 2)
Try yourself:Anil, Bobby, and Chintu jointly invest in a business and agree to share the overall profit in proportion to their investments. Anil’s share of investment is 70%. His share of profit decreases by ₹ 420 if the overall profit goes down from 18% to 15%. Chintu’s share of profit increases by ₹ 80 if the overall profit goes up from 15% to 17%. The amount, in INR, invested by Bobby is
Explanation
Let the amount invested by Anil Bobby and Chintu be x, y, and z.
Considering x + y + z = 100 x p.
Given Anil's share was 70 percent = 70*p.
As per the information provided :
His share of profit decreases by ₹ 420 if the overall profit goes down from 18% to 15%.
Since the profits are distributed in the ratio of their investments :
With a 3% decrease in the profits the value of profit earned by A decreased by Rs 420 which was 70 percent of the total invested.
Hence for all three of them would be combinedly losing (420)⋅(10/7) = 600
Hence 3 percent profit was equivalent to Rs 600.
The initial investment is equivalent to Rs 20000.
This is the total amount invested.
Chintu's profit share increased by Rs 80 when the profit percentage increased by 2 %. A 2 percent increase in profit is equivalent to Rs 20000 x 2/100 = Rs 400.
Of which Rs 80 is earned by Chintu which is 20% of the total Rs 400.
Hence he invested 20% of the total amount.
Bobby invested the other 10 percent.
10 percent of Rs 20000 = Rs 2000
Report a problem
Question for Quant For CAT 2021 (Slot - 2)
Try yourself:Two pipes A and B are attached to an empty water tank. Pipe A fills the tank while pipe B drains it. If pipe A is opened at 2 pm and pipe B is opened at 3 pm, then the tank becomes full at 10 pm. Instead, if pipe A is opened at 2 pm and pipe B is opened at 4 pm, then the tank becomes full at 6 pm. If pipe B is not opened at all, then the time, in minutes, taken to fill the tank is
Explanation
Let A fill the tank at x liters/hour and B drain it at y liters/hour
Now as per Condition 1 :
We get Volume filled till 10pm = 8x - 7y (1) .
Here A operates for 8 hours and B operates for 7 hours .
As per condition 2
We get Volume filled till 6pm = 4x - 2y (2)
Here A operates for 4 hours and B operates for 2 hours .
Now equating (1) and (2)
we get 8x - 7y =4x - 2y
so we get 4x =5y
y = 4x/5
So volume of tank = 8x - 7 x 4x/5 = 12x/5
So time taken by A alone to fill the tank 12x/5 / x = 12/5 hrs
= 144 minutes
Report a problem