Try yourself:A supplier receives orders from 5 different buyers. Each buyer places their order only on a Monday. The first buyer places the order after every 2 weeks, the second buyer, after every 6 weeks, the third buyer, after every 8 weeks, the fourth buyer, every 4 weeks, and the fifth buyer, after every 3 weeks. It is known that on January 1st, which was a Monday, each of these five buyers placed an order with the supplier.
On how many occasions, in the same year, will these buyers place their orders together excluding the order placed on January 1st?
Explanation
The supplier receives his orders from the five buyers once every 2 weeks, once every 6 weeks, once every 8 weeks, once every 4 weeks, and once every 3 weeks.
The number of occasions where all the five buyers place the order on the same day is:
The LCM of the 5-time frames during which the 5 buyers place their orders :
Hence the LCM is :
(2, 6, 8, 4, 3).
= 24 weeks.
Once every 24 weeks, all five of them place the order simultaneously.
A year has 53 weeks in total :
Hence all five of them place the orders after 24 weeks, 48 weeks.
Report a problem
View Solution
Question for Quant For XAT 2022
Try yourself:Some members of a social service organization in Kolkata decide to prepare 2400 laddoos to gift to children in various orphanages and slums in the city, during Durga puja. The plan is that each of them makes the same number of laddoos. However, on the laddoo-making day, ten members are absent, thus each remaining member makes 12 laddoos more than earlier decided. Q. How many members actually make the laddoos?
Explanation
Initially considering the number of members = a
The number of ladoos each member is required to make as per the original plan = b.
Given : a x b = 2400.
Given that 10 members were absent and each member had to make an additional 12 ladoos :
(a - 10) x (b + 12) = 2400.
ab - 10b +12a - 120 = 2400.
Since a x b = 2400.
Hence 12a-10b = 120.
Substituting b = 120/a. 12a − 10⋅(2400/a) = 120
= 12a2 - 24000 - 12a = 0
The roots are a = 50, a = -40.
Hence a = 50, b = 48.
The number of people who took part in making ladoos = a - 10 = 40
Report a problem
View Solution
Question for Quant For XAT 2022
Try yourself:Ramesh and Reena are playing with triangle ABC. Ramesh draws a line that bisects∠BAC; this line cuts BC at D. Reena then extends AD to a point P. In response, Ramesh joins B and P. Reena then announces that BD bisects ∠PBA, hat a surprise! Together, Ramesh and Reena find that BD = 6 cm, AC = 9 cm, DC = 5 cm, BP = 8 cm, and DP = 5 cm. How long is AP?
Explanation
Given:
BD = 6 cm, AC = 9 cm, DC = 5 cm, BP = 8 cm, and DP = 5 cm.
Since AD is the angular bisector applying the angular bisector theorem we have :
Hence : Considering AB = x cm.
9/5 = x/6
x = 10.8 cm.
Now since BD is the angular bisector for angle PBA we have :
Applying the internal angle bisector theorem :
Considering AD = y cm.
8/5 = 10.8 / y
y = 6.75 cm.
AP = AD + DP.
= 6.75 + 5 = 11.75 cm
Report a problem
View Solution
Question for Quant For XAT 2022
Try yourself:Sheela purchases two varieties of apples - A and B - for a total of Rupees 2800. Theweights in kg of A and B purchased by Sheela are in the ratio 5 : 8 but the cost perkg of A is 20% more than that of B. Sheela sells A and B with profits of 15% and 10%respectively. Q. What is the overall profit in Rupees?
Explanation
The two types of apples sold A and B are bought in the ratio of 5: 8.
Considering the weights to be 5x and 8x.
The cost price of A is 20 percent higher than that of B.
Considering the cost price of B = y, A = 6y/5.
The total cost price of A = (5x)⋅(6y/5)
The total cost price of B = (8x)⋅(y)
The total cost price = 8xy + 6xy = 14xy
14xy = 2800.
xy = 200.
THe cost price of A = 1200.
THe cost price of B = 1600.
A is sold a profit of 15 percent. 15 percent of 1200 = 180.
B is sold at a profit of 10 percent. 10 percent of 1600 = 160.
The total profit is 180 + 160
= 340
Report a problem
View Solution
Question for Quant For XAT 2022
Try yourself:A marble is dropped from a height of 3 metres onto the ground. After the hitting theground, it bounces and reaches 80% of the height from which it was dropped. Thisrepeats multiple times. Each time it bounces, the marble reaches 80% of the heightpreviously reached. Eventually, the marble comes to rest on the ground. Q. What is the maximum distance that the marble travels from the time it was droppeduntil it comes to rest?
Explanation
Given the ball falls from a height of 3 meters.
The ball reaches a height which 0.8 times the original height every time.
Hence this is in the form of a geometric progression. We need to count distance when the ball flies upward and downward.
Hence considering every time the ball flies upward to a series with terms :
h1, h2,..........................
Every time the ball falls down to be
d1, d2 ,...............
h1 = (0.8) x 3, h2 = (0.8) x (0.8) x 3 ,.........................
d1 = 3, d2 =3 x (0.8), d3 = 3 x (0.8) x (0.8)................
h1 + h2 ........ = Sum of an infinite geometric progression. = 3 x 0.8(1 + 0.8 + 0.64 +...............0.64 +...............)
The sum of an infinite GP with r less than 1 is : a/1-r
=
The sum of d1 + d2 + +........................
= 3 + (h1 + h2 +..................) = 15.
The total distance = 15 + 12 = 27 meters.
Report a problem
View Solution
Question for Quant For XAT 2022
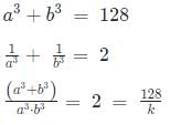
Try yourself:The sum of the cubes of two numbers is 128, while the sum of the reciprocals oftheir cubes is 2. Q. What is the product of the squares of the numbers?
Explanation
Considering the two numbers to a, b :
We were given that :
k = 64.
Hence a3 . b3 = 64
a x b = 4 and a2 . b2 = 16
Report a problem
View Solution
Question for Quant For XAT 2022
Try yourself:Nadeem’s age is a two-digit number X, squaring which yields a three-digit number,whose last digit is Y. Consider the statements below: Statement I: Y is a prime number Statement II: Y is one-third of X
To determine Nadeem’s age uniquely:
Explanation
The age of Nadeem is a two-digit number. When squared yields a three-digit number whose last digit is Y. Y is a prime number. Using statement 1:
When a number is squared :
The last digit of the number can be :1, 2, 3, 4, 5, 6, 7, 8, 9.
When squared the last digit can be :
For a number ending with 1: 1
For a number ending with 2: 4
For a number ending with 3: 9
For a number ending with 4: 6
For a number ending with 5: 5
For a number ending with 6: 6
For a number ending with 7: 9
For a number ending with 8: 4
For a number ending with 9: 1
The only possible prime number is 5.
Hence the last digit of X is 5 and Y is 5.
Using statement 2 : Y = X/3.
This alone cannot be sufficient to determine the possibilities for Y and X.
Combining both the statements :
Since Y = 5, then the value of X = 15.
The age is equal to 15.
Report a problem
View Solution
Question for Quant For XAT 2022
Try yourself:A tall tower has its base at point K. Three points A, B and C are located at distances of 4 metres, 8 metres and 16 metres respectively from K. The angles of elevation of the top of the tower from A and C are complementary. Q. What is the angle of elevation (in degrees) of the tower’s top from B?
Explanation
Given the distances are :
AE = 4 meters , EB = 8 meters and EC = 16 meters.
Considering the length of ED = K.
Given the angles DAE and angle DCE are complementary.
Hence the angles are A and 90 - A.
Tan(90-A) = Cot A
tan DAE = k/4 and tan DCE =
Hence k/16 = 4/k
k = 8 meters.
The angle DBE is given by
Tan DBE = k/8 = 1
Hence the angle is equal to 45 degrees.
Report a problem
View Solution
Directions: Read the following scenario and answer the THREE questions that follow. The enrolment of students (in 1000s) at each of the five universities named — MPU, JSU, LTU, PKU and TRU — during each of the eight years from 2014 to 2021 is represented in the following chart. The names of these universities are not shown in the chart, Stead they are labelled Unit 1, Unit 2, Unit 3, Unit 4 and Unit 5.
However, these four pieces of information are available: W: The magnitudes of TRU's and MPU's net change in enrolment between 2014 and 2021 are the closest among any two universities. X: LTU had the same enrolment in consecutive years at least twice between 2014 and 2021. Y: The increase in JSU's enrolment from 2015 to 2019 is about 50% of TRU's total enrolment in 2020. Z: The enrolment in one of LTU and PKU had a steady decline between 2014 and 2021, while the enrolment in the other had no decline between any two consecutive years in the same period.
Question for Quant For XAT 2022
Try yourself:Which of the five universities can Univ 4 possibly be?
Explanation
Using condition W :
The magnitudes of the net change in enrollment between 2014 and 2021 is closest among any two universities for TRU and MPU.
Going by the color of the lines the net change for different universities is:
Univ 1: 0.7
Univ 2: 4.4
Univ 3: 0.1
Univ 4: 0.2
Univ 5: 3.3
The closest among these are: Univ 3 and Univ 4. They can possibly be : (TRU/MPU)
Using condition X :
The university LTU must have the same enrollment in consecutive years at least twice:
LTU can either be Univ 3 or Univ 1 but since Univ 3 must be among TRU and MPU.
LTU is university 1.
Using condition Y :
The increase in the enrollment of JSU between the years 2015 and 2019 is 50 percent of TRU's total enrollment in 2020.
Considering :
TRU = Univ 4
The enrollment is 5.
TRU = Univ 3
The enrollment is 0.7
For TRU as Univ 3, there is no university whose increase in enrollment between 2015 and 2019 is 50 percent of TRU.
Hence TRU = Univ 4.
Since the increase in enrollment for JSU is half of TRU. The increase must be half of 5 = 2.5
The only possible case is JSU = Univ 2.
MPU = Univ 3.
LTU = Univ 1
PKU = Univ 5.
Report a problem
View Solution
Question for Quant For XAT 2022
Try yourself:Which Univ’s enrolment was around twice that of LTU in 2014?
Explanation
Using condition W :
The magnitudes of the net change in enrollment between 2014 and 2021 is closest among any two universities for TRU and MPU.Going by the color of the lines the net change for different universities is:
Univ 1: 0.7
Univ 2: 4.4
Univ 3: 0.1
Univ 4: 0.2
Univ 5: 3.3
The closest among these are: Univ 3 and Univ 4. They can possibly be : (TRU/MPU)
Using condition X :
The university LTU must have the same enrollment in consecutive years at least twice:
LTU can either be Univ 3 or Univ 1 but since Univ 3 must be among TRU and MPU.
LTU is university 1.
Using condition Y :
The increase in the enrollment of JSU between the years 2015 and 2019 is 50 percent of TRU's total enrollment in 2020.
Considering :
TRU = Univ 4
The enrollment is 5.
TRU = Univ 3
The enrollment is 0.7
For TRU as Univ 3, there is no university whose increase in enrollment between 2015 and 2019 is 50 percent of TRU.
Hence TRU = Univ 4.
Since the increase in enrollment for JSU is half of TRU. The increase must be half of 5 = 2.5
The only possible case is JSU = Univ 2.
MPU = Univ 3.
LTU = Univ 1
PKU = Univ 5.
SInce LTU is univ 1 the university with an enrollment twice that of LTU = 2 x (3.2)
= 6.4.
Hence the only possible case close by is Univ 5 (PKU)
Report a problem
View Solution
Question for Quant For XAT 2022
Try yourself:Which amongst the pieces of information mentioned below, if removed, will notprevent us from uniquely identifying the five universities?
Explanation
Using condition W :
The magnitudes of the net change in enrollment between 2014 and 2021 is closest among any two universities for TRU and MPU.Going by the color of the lines the net change for different universities is:
Univ 1: 0.7
Univ 2: 4.4
Univ 3: 0.1
Univ 4: 0.2
Univ 5: 3.3
The closest among these are: Univ 3 and Univ 4. They can possibly be : (TRU/MPU)
Using condition X :
The university LTU must have the same enrollment in consecutive years at least twice:
LTU can either be Univ 3 or Univ 1 but since Univ 3 must be among TRU and MPU.
LTU is university 1.
Using condition Y :
The increase in the enrollment of JSU between the years 2015 and 2019 is 50 percent of TRU's total enrollment in 2020.
Considering :
TRU = Univ 4
The enrollment is 5.
TRU = Univ 3
The enrollment is 0.7
For TRU as Univ 3, there is no university whose increase in enrollment between 2015 and 2019 is 50 percent of TRU.
Hence TRU = Univ 4.
Since the increase in enrollment for JSU is half of TRU. The increase must be half of 5 = 2.5
The only possible case is JSU = Univ 2.
MPU = Univ 3.
LTU = Univ 1
PKU = Univ 5.
SInce LTU is univ 1 the university with an enrollment twice that of LTU = 2 x (3.2)
= 6.4.
All the universities can be uniquely determined without using the condition Z.
Report a problem
View Solution
Directions: Read the following scenario and answer the THREE questions that follow. A pencil maker ships pencils in boxes of size 50, 100 and 200. Due to packaging issues, some pencils break. About the 20 boxes he has supplied to a shop, the following information is available:
Box no. 1 through 6 have 50 pencils, Box no. 7 through 16 have 100 pencils and Box no. 17 through 20 have 200 pencils.
No box has less than 5% or more than 20% broken pencils.
Following is the frequency table of the number of broken pencils for the twenty boxes:
Question for Quant For XAT 2022
Try yourself:Which of the following can possibly be the sequence of the number of brokenpencils in Boxes 7-16?
Explanation
Boxes 7 to 16 contain a total of 100 pencils each. The minimum number of broken pencils the box can hold is 5 percent of the total pencils and a maximum of 20 percent of the total pencils.
5 percent of 100 = 5 and 20 percent of 100 = 20 pencils.
Hence the number of broken pencils must be in the range of 5 to 20.
The frequency of the different number of broken pencils is :
5 - 1
6 - 2
7 - 4
9 - 3
11 - 1
15 - 2
19 - 1
20 - 3
29 - 1
31 - 1
33 - 1
The boxes cannot contain 29, 31, 33 to be the number of broken pencils because they are beyond 20 percent.
Since boxes 1- 6 can contain only between 2.5 to 10 pencils. The remaining boxes which include broken pencils of numbers less than 10 must be a part of 7 - 16. Because boxes 17 - 20 cannot contain broken pencils of numbers less than 10.
Hence 7 - 16 must have 4 boxes that contain less than 10 broken pencils.
Going through the options :
Option A fails because this includes only 3 boxes with less than 10 pencils.
Option B fails because we only have 2 boxes with 6 broken pencils but this includes 3.
Option D fails because it does not include a box of 15 and a box of 20 pencils which can only be a part of boxes with 100 or boxes with 200 pencils. Since boxes 17 - 20 can include only one among 15 or 20 because 29, 31, 33 are a part of this group. Hence this case fails.
Option E fails because this includes 5 boxes with broken pencils less than 10 but this is not possible because this must exactly contain 4 boxes with less than 10 pencils.
Option C is a feasible case containing :
1-6 ( 5, 6, 6, 9, 9, 9)
7 - 16 ( 7, 7, 7, 7, 11, 15, 15, 19, 20, 20 )
17 - 20 (20, 29, 31, 33)
Report a problem
View Solution
Question for Quant For XAT 2022
Try yourself:Suppose that additionally it is known that the number of broken pencils in Boxes 17-20 are in increasing order. Which among the following additional information, if true, is not sufficient to uniquely know the number of defective pencils in each of the boxes numbered 17-20?
Explanation
Going by the options : Option A: Boxes 7- 16 contain a total of 124 pencils. Boxes (1-6) has 6 boxes with broken pencils which can be included from :
(5, 6, 6, 7, 7, 7, 7, 9, 9, 9). The minimum possible sum of the 6 pencils is : (5+6+6+7) = 24 and the maximum possible sum is (7+9+9+9) = 34.
Boxes 7 - 16 contains all the boxes with broken pencils except one among the boxes with broken pencils among 11 - 20 and hence ;
This can contain : (11+15+15+19+20+20) or (15+15+19+20+20+20) or (11+15+15+20+20+20) or (11+15+19+20+20+20 ) =100/109/101/105.
The only possible case to contain 124 pencils is by considering the case : (24+100 ) = (5, 6,6,7, 11+15+15+19+20+20) = 124 .
Hence box 17 - 20 must contain (20, 29, 31, 33). Option B: Boxes 17 - 20 contain a total of 108 pencils. Since 29, 31, 33 pencils must be a part of 17 - 20 boxes. The remaining box must contain 108 - (29 +31+33) = 15 pencils. Hence the order is (15, 29, 31, 33). Option C: Boxes 11- 16 contain a total of 101 defective pencils. This is only possible if the boxes here contain : ( 20, 20, 20, 15, 15, 11) pencils. Hence the box containing 19 pencils must be a part of boxes 17 - 20 and the remaining three contain 29, 31, 33. (19, 29, 31, 33) Option D : Box number 17 containing more pencils than any box from box number 1- 14. Hence this only possible if Box 15, 16, 17 contains 20 pencils each and 18, 19, 20 contain (29, 31, 33). Option E : Box 7-16 containing 133 broken pencils :
Boxes (1-6) has 6 boxes with broken pencils which can be included from :
(5, 6, 6, 7, 7, 7, 7, 9, 9, 9). The minimum possible sum of the 6 pencils is : (5+6+6+7) = 24 and the maximum possible sum is (7+9+9+9) = 34.
Boxes 7 - 16 contains all the boxes with broken pencils except one among the boxes with broken pencils among 11 - 20 and hence ;
This can contain : (11+15+15+19+20+20) or (15+15+19+20+20+20) or (11+15+15+20+20+20) or (11+15+19+20+20+20 ) =100/109/101/105.
This has multiple possibilities which include (109 + 24) or (101+32) or (105+28). Hence cannot be uniquely determined
Report a problem
View Solution
Question for Quant For XAT 2022
Try yourself:Which of the following cannot be inferred conclusively from the given information?
Explanation
Going by the given options : Option A: The boxes numbered 1- 6 have a capacity of 50 pencils. The maximum number of broken pencils they can contain is 20 percent of 20 pencils = 10 pencils. For boxes numbered 17 to 20 they must contain a minimum of 5 percent which is equivalent to 5 percent of 200. Hence this is true. Option B: Boxes with broken pencils of 29, 31, 33 must be a part of 17 - 20. There must be one box containing broken pencils in the range of 10 to 20. There are three boxes in total containing exactly 20 pencils. A maximum of only one of the three can be a part of 17 - 20. The remaining must be a part of boxes 7- 16 because they cannot be a part of 1-6. Hence at least one box among 7 - 16 contains 20 percent of broken pencils which is the highest. Option C: There are a total of ten boxes with less than 10 broken pencils. They can either be a part of boxes 1-6 or 7 - 16. Since boxes 1-6 can only take broken pencils with less than 10 in number. Hence of the 10 six must be a part of 1-6 and the remaining 4 must be a part of 7 - 16. Option D: The only possibility for containing 20 percent of the broken pencils is only possible for 20 broken pencils which is 20 percent of 100. There must be at least 2 boxes in the range of 7 - 16 which contain 20 broken pencils which is equal to 20 percent. The third box can either be a part of (7-16) to (17-20). If this belongs to 17 - 20 then the case is not possible and hence cannot be concluded. Option E: Boxes containing 29, 31, and 33 broken pencils must be a part of boxes 17 -20 because they are higher than the 20 percent range of boxes (1-6) and (7-16). Hence this can be concluded.
Report a problem
View Solution
Directions: Read the following scenario and answer the THREE questions that follow. An examination had ten multiple choice questions; labelled Q1 to Q10 respectively. Each question had four answer options — A, B, C and D — of which one and only one was the correct answer. For each correct answer, the candidate obtained 1 mark. There were no negative marks for wrong answers. The answers chosen by six candidates named Om, Pavan, Qadir, Rakesh, Simranjeet and Tracey to each of the ten questions and the total marks obtained by each of them are shown in the table.
Question for Quant For XAT 2022
Try yourself:What is the correct answer for Q5?
Explanation
As per the given conditions :
Qadir and Simarjeet both of them scored a score of 7 each.
In the table, it can be found that both Qadir and Simarjeet marked the same answer for exactly four questions. They are :
Q3, Q5, Q8, and Q10.
Both of them had 3 more questions correctly. Hence for the rest 6 questions 3 of them must have been answered by one of them correctly and the other three by another one of them.
Hence the answers must have been :
Now looking at the score of Rakesh he scored a total of 3 marks.
All the questions for which both Qadir and Simarjeet have answered correctly he has marked them wrong. He for whatever question he must have answered correctly exactly one among Qadir and Simarjeet must answer the same. Because at least one of them answered each question correctly.
Hence he must have answered correctly 3 questions among ( 1, 6, 7, 9)
Of the different possibilities are ( 1, 6, 7), (1, 6, 9), (6, 7, 9), (1, 7, 9).
But the cases 6, 7, 9 fails because if he answered all three of them correctly then he must have answered 1 wrongly but since if 1 is answered wrong then all of 1, 6, 7, 9 are answered correctly by Simarjeet when Simarjeet can answer actually a total of 3 questions only correctly hence this case fails.
Similarly if considered the cases ( 1, 6, 7) and (1, 6, 9) as the questions which were answered correctly. The cases fail because if they are answered correctly we cannot possibly have Pavan answering 5 questions correctly.
Hence the only possibility is he must have answered the questions :
( 1, 7, 9) correctly.
Hence the correct answers are :
Now drawing the table based on the answers marked by them :
Simarjeet must have answered 1 question of the Q2, Q4, and Q6 correctly. Qadir must have answered the remaining two of them correctly.
If Simarjeet answered Q4 correctly and Q2, Q6 wrong the answers for Q2, Q4 and Q6 will be: B, B, and D
But if Q2 and Q4 are answered as B then Om must have scored 3 marks instead of2 and hence the case fails.
If Simarjeet answered Q6 correctly and Q2, Q4 wrong the answers for Q2, Q4 and Q6 will be: A, C, and C.
But Pavan cannot score 5 marks.
Hence Simarjeet must have answered Q2 correctly and answers for Q2, Q4, and Q6 will be :
(B, C, D).
The correct answer for Q5 is C.
Report a problem
View Solution
Question for Quant For XAT 2022
Try yourself:For which of these questions is D the correct answer?
Explanation
As per the given conditions :
Qadir and Simarjeet both of them scored a score of 7 each.
In the table, it can be found that both Qadir and Simarjeet marked the same answer for exactly four questions. They are :
Q3, Q5, Q8, and Q10.
Both of them had 3 more questions correctly. Hence for the rest 6 questions 3 of them must have been answered by one of them correctly and the other three by another one of them.
Hence the answers must have been :
Now looking at the score of Rakesh he scored a total of 3 marks.
All the questions for which both Qadir and Simarjeet have answered correctly he has marked them wrong. He for whatever question he must have answered correctly exactly one among Qadir and Simarjeet must answer the same. Because at least one of them answered each question correctly.
Hence he must have answered correctly 3 questions among ( 1, 6, 7, 9)
Of the different possibilities are ( 1, 6, 7), (1, 6, 9), (6, 7, 9), (1, 7, 9).
But the cases 6, 7, 9 fails because if he answered all three of them correctly then he must have answered 1 wrongly but since if 1 is answered wrong then all of 1, 6, 7, 9 are answered correctly by Simarjeet when Simarjeet can answer actually a total of 3 questions only correctly hence this case fails.
Similarly if considered the cases ( 1, 6, 7) and (1, 6, 9) as the questions which were answered correctly. The cases fail because if they are answered correctly we cannot possibly have Pavan answering 5 questions correctly.
Hence the only possibility is he must have answered the questions :
( 1, 7, 9) correctly.
Hence the correct answers are :
Now drawing the table based on the answers marked by them :
Simarjeet must have answered 1 question of the Q2, Q4, and Q6 correctly. Qadir must have answered the remaining two of them correctly.
If Simarjeet answered Q4 correctly and Q2, Q6 wrong the answers for Q2, Q4 and Q6 will be: B, B, and D
But if Q2 and Q4 are answered as B then Om must have scored 3 marks instead of2 and hence the case fails.
If Simarjeet answered Q6 correctly and Q2, Q4 wrong the answers for Q2, Q4 and Q6 will be: A, C, and C.
But Pavan cannot score 5 marks.
Hence Simarjeet must have answered Q2 correctly and answers for Q2, Q4, and Q6 will be :
(B, C, D).
Q6 and Q8 have D as the correct answer.
Report a problem
View Solution
Question for Quant For XAT 2022
Try yourself:Which of these questions witnessed the least number of the students answeringcorrectly?
Explanation
As per the given conditions :
Qadir and Simarjeet both of them scored a score of 7 each.
In the table, it can be found that both Qadir and Simarjeet marked the same answer for exactly four questions. They are :
Q3, Q5, Q8, and Q10.
Both of them had 3 more questions correctly. Hence for the rest 6 questions 3 of them must have been answered by one of them correctly and the other three by another one of them.
Hence the answers must have been :
Now looking at the score of Rakesh he scored a total of 3 marks.
All the questions for which both Qadir and Simarjeet have answered correctly he has marked them wrong. He for whatever question he must have answered correctly exactly one among Qadir and Simarjeet must answer the same. Because at least one of them answered each question correctly.
Hence he must have answered correctly 3 questions among ( 1, 6, 7, 9)
Of the different possibilities are ( 1, 6, 7), (1, 6, 9), (6, 7, 9), (1, 7, 9).
But the cases 6, 7, 9 fails because if he answered all three of them correctly then he must have answered 1 wrongly but since if 1 is answered wrong then all of 1, 6, 7, 9 are answered correctly by Simarjeet when Simarjeet can answer actually a total of 3 questions only correctly hence this case fails.
Similarly if considered the cases ( 1, 6, 7) and (1, 6, 9) as the questions which were answered correctly. The cases fail because if they are answered correctly we cannot possibly have Pavan answering 5 questions correctly.
Hence the only possibility is he must have answered the questions :
( 1, 7, 9) correctly.
Hence the correct answers are :
Now drawing the table based on the answers marked by them :
Simarjeet must have answered 1 question of the Q2, Q4, and Q6 correctly. Qadir must have answered the remaining two of them correctly.
If Simarjeet answered Q4 correctly and Q2, Q6 wrong the answers for Q2, Q4 and Q6 will be: B, B, and D
But if Q2 and Q4 are answered as B then Om must have scored 3 marks instead of2 and hence the case fails.
If Simarjeet answered Q6 correctly and Q2, Q4 wrong the answers for Q2, Q4 and Q6 will be: A, C, and C.
But Pavan cannot score 5 marks.
Hence Simarjeet must have answered Q2 correctly and answers for Q2, Q4, and Q6 will be :
(B, C, D).
Q4 was answered wrong by 5 members.
Report a problem
View Solution
Question for Quant For XAT 2022
Try yourself:Shireen draws a circle in her courtyard. She then measures the circle’scircumference and its diameter with her measuring tape and records them as twointegers, A and B respectively. She finds that A and B are coprimes, that is, theirgreatest common divisor is 1. She also finds their ratio, A:B, to be:3.141614161416… (repeating endlessly). Q. What is A - B?
Explanation
We have
3.1416141614161416......
= 3 + 0.1416 + 0.00001416 + 0.000000001416.....
=
Now excluding 3 we get a series with infinite Geometric progression such that first term is and common ratio is
Therefore we get sum as a / 1-r
=
we get sum as
= 1416/9999
Now adding 3 we get value as : 31413 / 9999
Now taking 3 common we get ratio of A:B as 10471 / 3333
So A-B will be = 7138
Report a problem
View Solution
Directions: Read the following scenario and answer the THREE questions that follow.
The given candlestick chart depicts the prices of a particular stock over 10 consecutive days. A candlestick comprises of a rectangular box pieced by a line. The top and bottom ends of the line respectively indicate the maximum and minimum prices of the stock on that day, while the horizontal edges of the rectangle correspond to the stock's opening and closing prices. If the rectangle is white, the opening price is lower than the closing price, but if the rectangle is black, then it is the other way around. Using the above information, answer the questions that follow:
Question for Quant For XAT 2022
Try yourself:Which day saw the maximum percentage increase in the stock price at closing from the opening?
Explanation
Going by the cases in the option for the five days :
Day 1 : (Opening price, Closing Price ) : (2365, 2395)
Day 2 : (Opening price, Closing Price ) : (2395, 2425)
Day 6 : (Opening price, Closing Price ) : (Closing price is lower than the opening price)
Day 7 : (Opening price, Closing Price ) : (Closing price is lower than the opening price)
Day 10 : (Opening price, Closing Price ) : (2277.5, 2292.5)
Hence Day 1 is the highest
Report a problem
View Solution
Question for Quant For XAT 2022
Try yourself:What is the highest magnitude of change over two consecutive days (for example,Day 1 → Day 3 or Day 5 → Day 7), in the maximum price touched by the stock duringthe 10-day period (choose the closest amongst the options given)?
Explanation
Among the given days the magnitude of change in difference of the maximum price in an interval of two days is : Day 1 - Day 3 : ( 2415, 2440) : 25 Day 2 - Day 4 : ( 2432.5, 2455) : 22.5 Day 3 - Day 5 : ( 2440, 2415) = 25 Day 4 - Day 6 : ( 2455, 2400) = 55 Day 5 - Day 7 : ( 2415, 2367.5) = 47.5 Day 6 - Day 8 : (2400, 2330) = 70 Day 7 - Day 9 : ( 2367.5, 2330) = 52.5 Day 8 - Day 10 : (2330, 2332.5) = 2.5
The maximum difference among the possible cases is : 70
Report a problem
View Solution
Question for Quant For XAT 2022
Try yourself:On which day is the ratio of the maximum price to the opening price, the highest across the ten days?
Explanation
Going by considering the given options :
The ratio is given by : (Maximum price)/ Opening price Day 3 : (Maximum price, Opening price ) : ( 2440, 2405) = the ratio = 1.014 Day 4 : (Maximum price, Opening price ) : (2455, 2432.5) = ratio = 1.009 Day 10 : (Maximum price, Opening price ) : ( 2330, 2292.5) = 1.016 Day 1 : (Maximum price, Opening price ) : ( 2415, 2395) = 1.008 Day 9 : (Maximum price, Opening price ) : ( 2330, 2297.5) = 1.014 Day 10 has the maximum ratio.
Report a problem
View Solution
Question for Quant For XAT 2022
Try yourself:Wilma, Xavier, Yaska and Zakir are four young friends, who have a passion for integers. One day, each of them selects one integer and writes it on a wall. The writing on the wall shows that Xavier and Zakir picked positive integers, Yaska picked a negative one, while Wilma’s integer is either negative, zero or positive. If their integers are denoted by the first letters of their respective names, the following is true:
W4 + X3 + Y2 + Z ≤ 4
X3 + Z ≥ 2
W4 + Y2 ≤ 2
Y2 + Z ≥ 3
Given the above, which of these can W2 +X2 +Y2 +Z2 possibly evaluate to?
Explanation
Given that X, Z are positive Y is negative and W can be either positive or zero or negative.
The given conditions are :
W4 + X3 + Y2 + Z ≤ 4
X3 + Z ≥ 2
W4 + Y2 ≤ 2
Y2 + Z ≥ 3
For W4 + Y2 ≤ 2 Since Y is negative but Y2 is always positive and must be less than 2 because W4 is a nonnegative value. Hence Y = -1 is the only possibility. For W this can take any value among -1, 0, 1.
Y2 + Z ≥ 3 Since Y = -1, Z must be at least equal to 2 so the value of Y2 + Z ≥ 3 is greater than 2. X is a positive value and must at least be equal to 1.
The condition: W2 + X2 + Y2 + Z2 here has all the independent values: X2 , Y2 , Z2 ,W2
are nonnegative.
W4 + X3 + Y2 + Z ≤ 4:
Since the value of Z is at least equal to 2 the value of Y2 is equal to 1.
Since X is a positive number in order to have the condition of W4 + X3 + Y2 + Z ≤ 4 satisfied. The value of Z must be the minimum possible so that X3 + Y2 + Z to have a value equal to 4 when X takes the minimum possible positive value equal to 1.
Hence X must be 1. W must be equal to 0 so that :
W4 + X3 + Y2 + Z ≤ 4 = The sum = (0 + 1 + 1 + 2) = 4. The only possible case.
The value of W2 + X2 + Y2 + Z2 = (0 + 1 + 1 + 4) = 6.
Report a problem
View Solution
Question for Quant For XAT 2022
Try yourself:If both the sequences x, a1, a2, y and x, b1, b2, z are in A.P. and it is given that y > x and z < x, then which of the following values can possibly take?
Explanation
he two given sequences in AP are :
x, a1, a2, y and x, b1, b2, z.
Additionally, it is given that : y > x and z < x.
Hence the common difference is not zero for both the series :
Since y > x the common difference is positive for the first series. (Considering the common difference to be d1)
Similarly z < x the common difference is negative for the given series. (Considering the common difference to be d2) Now for the given value :
The value of a1 - a2 is less than zero which is equal to the negative common difference of the series(-d1)
The value of b1 - b2 is the negative common difference that is equal to the negative common difference of the series (-d2).
Hence the value of is a negative value :
The only possible option is -1.
Report a problem
View Solution
Question for Quant For XAT 2022
Try yourself:Kim’s wristwatch always shows the correct time, including ‘am’ and ‘pm’. Jim’swatch is identical to Kim’s watch in all aspects except its pace, which is slower than the pace of Kim’s watch. At 12 noon on January 1st, Jim sets his watch to the correct time, but an hour later, it shows 12:57 pm. At 12 noon on the next June 1st, Jim resets his watch to the correct time.
On how many instances between, and including 12 noon on the two dates mentioned, do Jim’s and Kim’s watches show the exact same time, including the ‘am’ and the ‘pm’?
Explanation
The pace of Jim's watch is slower by 3 minutes in comparison with Kim's watch for every one hour. The difference increases as the hours pass by.
The time and "am" and "pm" of the watch coincide when the difference between the two clocks reduces to 24 hours. The two clocks display the same time including am and pm.
For a difference of 24 hours, the clock needs to lag by 1440 minutes.
For every one hour, the clock lags by 3 minutes. Hence in order to have a difference of 1440 minutes, it takes 1440/3 = 480 hours. This is equivalent to 20 days of time.
Hence for every twenty days, they display the same time.
In the period of Jan 1 and June 1, there are 150 days which includes 7, 20-day intervals. Along with the 7 times once on Jan 1st and once on June 1st, they display the same time.
A total of 9 times.
Report a problem
View Solution
Question for Quant For XAT 2022
Try yourself:Fatima found that the profit earned by the Bala dosa stall today is a three-digitnumber. She also noticed that the middle digit is half of the leftmost digit, while therightmost digit is three times the middle digit. She then randomly interchanged thedigits and obtained a different number. This number was more than the originalnumber by 198.
Q. What was the middle digit of the profit amount?
Explanation
From the given conditions :
Considering the three-digit number to be a b c.
With the given conditions :
a = 2b, c = 3b.
Hence the number is of the form : 2b b 3b.
Since all three of the values must be less than 10 and non-negative:
This takes values : b = 1, b = 2, b = 3.
Hence the possible numbers are : (213, 426, 639) :
The interchanged number must be greater than the original by 198.
Hence the different rearrangements for the three numbers are :
213 : (312, 321, 132, 123, 231).
426 : (462, 624, 642, 246, 264)
639 : ( 693, 963, 936, 396, 369)
The only possible value which is higher than the original by 198 is :
(426, 624).
The middle digit is 2.
Report a problem
View Solution
Question for Quant For XAT 2022
Try yourself:I have five 10-rupee notes, three 20-rupee notes, and two 50-rupee notes in my wallet.
If three notes were taken out randomly and simultaneously, what is the probability that at least 90 rupees were taken out?
Explanation
The total number of ways of selecting 3 notes from the :
five 10-rupee notes, three 20-rupee notes, and two 50-rupee notes = 10 notes in total.10C3 = 120
The possibilities for the value of the three notes combined is at least 90 : Rs 50 + Rs 20 + Rs 20 : The possibilities for this selection is : 2C1 .3C2 : Selection of one Rs 50 note from the two and selection of 2 Rs 20 notes from the three. Rs 50 + Rs 50 + Rs 10 : (2C2)⋅(5C1) : Selection of two Rs 50 notes from the two and selection of 1 Rs 10 notes from the five. Rs 50 + Rs 50 + Rs 20 : (2C2)⋅(3C1) : Selection of two Rs 50 notes from the two and selection of 1 Rs 20 notes from the three.
A total of 6 + 5 + 3 = 14 possibilties
The probability is 14/120 = 7/60.
Report a problem
View Solution
Question for Quant For XAT 2022
Try yourself:The Madhura Fruits Company is packing four types of fruits into boxes. There are126 oranges, 162 apples, 198 guavas and 306 pears. The fruits must be packed insuch a way that a given box must have only one type of fruit and must contain thesame number of fruit units as any other box. Q. What is the minimum number of boxes that must be used?
Explanation
The number of oranges, apples, guavas, and pears = 126, 162, 198, and 306.
Each box must contain an equal number of fruits with only one type of fruit. The additional condition provided is that there should be a minimum number of boxes in total.
The distribution is possible in multiple ways in such a way that distribution in each box is placed in such that each box contains a certain number of fruits n which is a factor for all the four given number of fruits :
Arrangement of 1 fruit of one kind in a basket.
2 is a factor of 126, 162, 198, and 306. So we can place 2 fruits of a particular kind in a basket.
Since we were asked for the minimum number of boxes this is possible when a maximum number of fruits of a kind are placed in a box.
Hence each box must contain the Highest common factor for the four numbers : The prime factorization for the four numbers :
126 : 2⋅7⋅9, 162 : 2⋅9⋅9, 198 : 2⋅9⋅11, 306 = 2⋅9⋅17
The HCF is 18.
The number of boxes required for each :
126/18, 162/18, 198/18, 306/18
7 + 9 + 11 + 17 = 44.
Report a problem
View Solution
Question for Quant For XAT 2022
Try yourself:Consider the real-valued function Find the domain of f(x).
Explanation
The function is only defined when both the numerator and the denominator of the function are defined are the denominator is not equal to zero.
The logarithm of the function is only defined for positive values :
Hence 3x - 7 is greater than zero. Hence
x > 7/3.
The value inside square root are defined for positive values. The value of the quadratic equation in the square root must be positive.
Hence 2x2 − 7x + 6 = 0 has the roots :
The quadratic equation is positive for :
Since in order to be a part of the domain the values of x must be greater than 7/3 and 7/3 is greater than 2 all values of x which are greater than 7/3 must be a part of the domain for x.
Report a problem
View Solution
The document Quant For XAT 2022 - CAT is a part of CAT category.