JEE Exam  >  JEE Notes  >  Chapter-wise Tests for JEE Main & Advanced  >  JEE Advanced (Single Correct Type): Electromagnetic Induction & Alternating Current

JEE Advanced (Single Correct Type): Electromagnetic Induction & Alternating Current | Chapter-wise Tests for JEE Main & Advanced PDF Download

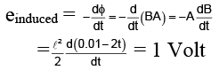
Q.1. A square loop of side 1 m is placed in a perpendicular magnetic field. Half of the area of the loop lies inside the magnetic field. A battery of emf 10 V and negligible internal resistance is connected in the loop. The magnetic field changes with time according to the relation B = (0.01- 2t) tesla. The resultant emf of the circuit is
JEE Advanced (Single Correct Type): Electromagnetic Induction & Alternating Current | Chapter-wise Tests for JEE Main & Advanced(a) 1 V
(b) 11 V
(c)  9 V
(d) 10 V

Correct Answer is Option (c)
JEE Advanced (Single Correct Type): Electromagnetic Induction & Alternating Current | Chapter-wise Tests for JEE Main & Advanced
∴ Resultant emf = 10 - 1 = 9V


Q.2. The direction of induced current in the right loop in the situation shown by the given figure is
JEE Advanced (Single Correct Type): Electromagnetic Induction & Alternating Current | Chapter-wise Tests for JEE Main & Advanced(a) along the common axis
(b) along xzy
(c) along xyz
(d) none of these

Correct Answer is Option (c)
The induced current in the right loop will be along xyz.


Q.3. The variation of induced emf (e) with time (t) in a coil if a short bar magnet is moved along its axis with a constant velocity is best represented as
JEE Advanced (Single Correct Type): Electromagnetic Induction & Alternating Current | Chapter-wise Tests for JEE Main & Advanced

(a) JEE Advanced (Single Correct Type): Electromagnetic Induction & Alternating Current | Chapter-wise Tests for JEE Main & Advanced
(b) JEE Advanced (Single Correct Type): Electromagnetic Induction & Alternating Current | Chapter-wise Tests for JEE Main & Advanced
(c) JEE Advanced (Single Correct Type): Electromagnetic Induction & Alternating Current | Chapter-wise Tests for JEE Main & Advanced
(d) JEE Advanced (Single Correct Type): Electromagnetic Induction & Alternating Current | Chapter-wise Tests for JEE Main & Advanced

Correct Answer is Option (b)
The polarity of emf will be opposite in the two cases while the magnet enters the coil and while the magnetic leaves the coil. Only in option (B) polarity is changing.


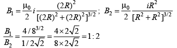
Q.4. Figure shows two coils carrying equal currents. The ratio of magnetic field at P due to coil-1 to coil-2 is
JEE Advanced (Single Correct Type): Electromagnetic Induction & Alternating Current | Chapter-wise Tests for JEE Main & Advanced
(a) 1/√2
(b) 1 : 2
(c) 1/4
(d) (1/2)1/4 

Correct Answer is Option (b)
JEE Advanced (Single Correct Type): Electromagnetic Induction & Alternating Current | Chapter-wise Tests for JEE Main & Advanced


Q.5.  Two circular coils can be arranged in any of three situations as shown in the figure. Their mutual inductance will be
JEE Advanced (Single Correct Type): Electromagnetic Induction & Alternating Current | Chapter-wise Tests for JEE Main & Advanced(a) maximum in situation (i) 
(b) maximum in situation (ii) 
(c) maximum in situation (iii) 
(d) same in all situations 

Correct Answer is Option (a)
A mutual inductance occurs when the magnetic field generated by a coil induces a voltage in a secondary coil.

JEE Advanced (Single Correct Type): Electromagnetic Induction & Alternating Current | Chapter-wise Tests for JEE Main & Advanced
Since, in option (A), there is maximum emf is induced in secondary coil. So, mutual inductance is maximum.


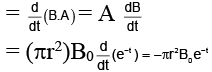
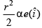
Q.6. Shown in the figure is a circular loop of radius r and resistance R. A variable magnetic field of induction B = B0e-t is established inside the coil. If the key (K) is closed, the electrical power developed right after closing the switch is equal to
JEE Advanced (Single Correct Type): Electromagnetic Induction & Alternating Current | Chapter-wise Tests for JEE Main & Advanced(a) JEE Advanced (Single Correct Type): Electromagnetic Induction & Alternating Current | Chapter-wise Tests for JEE Main & Advanced
(b) JEE Advanced (Single Correct Type): Electromagnetic Induction & Alternating Current | Chapter-wise Tests for JEE Main & Advanced
(c) JEE Advanced (Single Correct Type): Electromagnetic Induction & Alternating Current | Chapter-wise Tests for JEE Main & Advanced
(d) JEE Advanced (Single Correct Type): Electromagnetic Induction & Alternating Current | Chapter-wise Tests for JEE Main & Advanced

Correct Answer is Option (d)
The induced emf = E = dϕ/dt
JEE Advanced (Single Correct Type): Electromagnetic Induction & Alternating Current | Chapter-wise Tests for JEE Main & Advanced
JEE Advanced (Single Correct Type): Electromagnetic Induction & Alternating Current | Chapter-wise Tests for JEE Main & Advanced
∴ The electrical power developed in the resister just at the instant of closing the key =
JEE Advanced (Single Correct Type): Electromagnetic Induction & Alternating Current | Chapter-wise Tests for JEE Main & Advanced


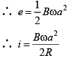
Q.7. The arrangement shown here is a Faraday’s disc of radius a which is rotating in a uniform magnetic field B perpendicular to the plane of disc. The current passing through the resistance is
JEE Advanced (Single Correct Type): Electromagnetic Induction & Alternating Current | Chapter-wise Tests for JEE Main & Advanced(a) JEE Advanced (Single Correct Type): Electromagnetic Induction & Alternating Current | Chapter-wise Tests for JEE Main & Advanced
(b) JEE Advanced (Single Correct Type): Electromagnetic Induction & Alternating Current | Chapter-wise Tests for JEE Main & Advanced
(c)  JEE Advanced (Single Correct Type): Electromagnetic Induction & Alternating Current | Chapter-wise Tests for JEE Main & Advanced
(d) JEE Advanced (Single Correct Type): Electromagnetic Induction & Alternating Current | Chapter-wise Tests for JEE Main & Advanced

Correct Answer is Option (b)
Emf induced in the disc will be same as that induced in a rod rotating in a magnetic field.
JEE Advanced (Single Correct Type): Electromagnetic Induction & Alternating Current | Chapter-wise Tests for JEE Main & Advanced


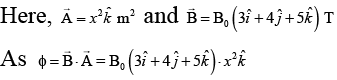
Q.8. A square of side x m lies in the x-y plane in a region, where the magnetic field is given by B = JEE Advanced (Single Correct Type): Electromagnetic Induction & Alternating Current | Chapter-wise Tests for JEE Main & Advanced where B0 is constant. The magnitude of flux passing through the square 

is  
(a) 5B0x2Wb
(b) 3B0x2Wb
(c) 2B0x2Wb
(d) B0x2Wb

Correct Answer is Option (a)
JEE Advanced (Single Correct Type): Electromagnetic Induction & Alternating Current | Chapter-wise Tests for JEE Main & Advanced
∴ ϕ = 5B0x2Wb


Q.9. The phase relationship between current and voltage in a pure resistive circuit is best represented by
(a) JEE Advanced (Single Correct Type): Electromagnetic Induction & Alternating Current | Chapter-wise Tests for JEE Main & Advanced
(b) JEE Advanced (Single Correct Type): Electromagnetic Induction & Alternating Current | Chapter-wise Tests for JEE Main & Advanced
(c) JEE Advanced (Single Correct Type): Electromagnetic Induction & Alternating Current | Chapter-wise Tests for JEE Main & Advanced
(d) JEE Advanced (Single Correct Type): Electromagnetic Induction & Alternating Current | Chapter-wise Tests for JEE Main & Advanced

Correct Answer is Option (c)
In the pure resistive circuit current and voltage both are in phase. Hence graph (C) is correct.


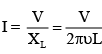
Q.10. Which of the following graphs represents the correct variation of capacitive reactance XC with frequency?
(a) JEE Advanced (Single Correct Type): Electromagnetic Induction & Alternating Current | Chapter-wise Tests for JEE Main & Advanced
(b) JEE Advanced (Single Correct Type): Electromagnetic Induction & Alternating Current | Chapter-wise Tests for JEE Main & Advanced
(c) JEE Advanced (Single Correct Type): Electromagnetic Induction & Alternating Current | Chapter-wise Tests for JEE Main & Advanced
(d) JEE Advanced (Single Correct Type): Electromagnetic Induction & Alternating Current | Chapter-wise Tests for JEE Main & Advanced

Correct Answer is Option (c)
Capacitive reactance,
JEE Advanced (Single Correct Type): Electromagnetic Induction & Alternating Current | Chapter-wise Tests for JEE Main & Advanced
With increase in frequency, XC decreases.
Hence, option (C) represents the correct graph.


Q.11. The natural frequency (ω0) of oscillations in LC circuit is given by
(a) JEE Advanced (Single Correct Type): Electromagnetic Induction & Alternating Current | Chapter-wise Tests for JEE Main & Advanced
(b) JEE Advanced (Single Correct Type): Electromagnetic Induction & Alternating Current | Chapter-wise Tests for JEE Main & Advanced
(c) JEE Advanced (Single Correct Type): Electromagnetic Induction & Alternating Current | Chapter-wise Tests for JEE Main & Advanced
(d) JEE Advanced (Single Correct Type): Electromagnetic Induction & Alternating Current | Chapter-wise Tests for JEE Main & Advanced

Correct Answer is Option (c)


Q.12. A rod PQ mass ‘m’ and length can slide without friction on two vertical conducting semi-infinite rails. It is given a velocity V0 downwards, so that it continues to move downward with the same speed V0 on its own at any later instant of time. Assuming g to be constant every where, the value of V0 is :-
JEE Advanced (Single Correct Type): Electromagnetic Induction & Alternating Current | Chapter-wise Tests for JEE Main & Advanced(a) mgr/2B2L2 
(b) mgR/2B2L2
(c) zero
(d) Any value

Correct Answer is Option (b)
JEE Advanced (Single Correct Type): Electromagnetic Induction & Alternating Current | Chapter-wise Tests for JEE Main & Advanced


Q.13. Alternating voltage (V) is represented by the equation 
where Vm is the peak voltage
(a) V(t) = Vweωt 
(b) V(t) = Vm sin ωt 
(c) V(t) Vm cot ωt 
(d) V(t) = Vm tan ωt 

Correct Answer is Option (b)
The equation of the alternating voltage is V(t) = Vm sin ωt


Q.14. In the case of an inductor
(a) voltage lags the current by π/2
(b) voltage leads the current by π/2
(c) voltage leads the current by π/3
(d)voltage leads the current by π/4

Correct Answer is Option (b)
In an inductor voltage leads the current by π/2 or current lags the voltage by π/2.


Q.15. The magnetic flux linked with a coil of N turns of area of cross section A held with its plane parallel to the field B is
(a) NAB/2
(b) NAB
(c) NAB/4
(d) zero

Correct Answer is Option (d)
Magnetic flux linked with a coil
ϕ = NBA cos θ
Since the magnetic field B is parallel to the area A, i.e., q = 90°.
∴ ϕ = 0


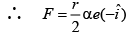
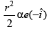
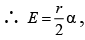
Q.16. In the cylindrical region shown, magnetic field is diminishing at the rate of α(T/s). The force on the electron at a distance r along y-axis is
JEE Advanced (Single Correct Type): Electromagnetic Induction & Alternating Current | Chapter-wise Tests for JEE Main & Advanced
(a) JEE Advanced (Single Correct Type): Electromagnetic Induction & Alternating Current | Chapter-wise Tests for JEE Main & Advanced
(b) JEE Advanced (Single Correct Type): Electromagnetic Induction & Alternating Current | Chapter-wise Tests for JEE Main & Advanced
(c) JEE Advanced (Single Correct Type): Electromagnetic Induction & Alternating Current | Chapter-wise Tests for JEE Main & Advanced
(d) JEE Advanced (Single Correct Type): Electromagnetic Induction & Alternating Current | Chapter-wise Tests for JEE Main & Advanced

Correct Answer is Option (a)
E × 2πr = πr2
JEE Advanced (Single Correct Type): Electromagnetic Induction & Alternating Current | Chapter-wise Tests for JEE Main & Advanced
At P, E will be along JEE Advanced (Single Correct Type): Electromagnetic Induction & Alternating Current | Chapter-wise Tests for JEE Main & Advanced
JEE Advanced (Single Correct Type): Electromagnetic Induction & Alternating Current | Chapter-wise Tests for JEE Main & Advanced


Q.17.  An ideal inductor is in turn put across 220 V, 50 Hz and 220 V, 100 Hz supplies. The current flowing through it in the two cases will be
(a) equal
(b) different
(c) zero
(d) infinite

Correct Answer is Option (b)
An ideal inductor is in turn put across 220 V, 50 Hz and 220 V, 100 Hz supplies.
The current in the inductor coil is given by
JEE Advanced (Single Correct Type): Electromagnetic Induction & Alternating Current | Chapter-wise Tests for JEE Main & Advanced
Since frequency u in the two cases is different, hence the current in two cases will be different.


Q.18. An ac source of voltage V = Vm sin ωt is connected across the resistance R as shown in figure. The phase relation between current and voltage for this circuit is
JEE Advanced (Single Correct Type): Electromagnetic Induction & Alternating Current | Chapter-wise Tests for JEE Main & Advanced(a) both arc in phase
(b) both are out of phase by 90°
(c) both are out of phase by 120°
(d )both are out of phase by 180°

Correct Answer is Option (a)
The given circuit is a pure resistive circuit. In this circuit the voltage and current both are in phase.


Q.19. A coil of wire having finite inductance and resistance has a conducting ring placed coaxially within it. The coil is connected to a battery at time t = 0, so that a time-dependent current I1(t) starts flowing through the coil. If I2(t) is the current induced in the ring, and B(t) is the magnetic field at the axis of coil due to I1(t), then as a function of time (t > 0), the product I2(t) B(t)
(a) increases with time
(b) decreases with time
(c) does not vary with time
(d) passes through a maximum.

Correct Answer is Option (d)
i2(t) B(t) ∝ i2 (t)i1(t) ∝ (1–e–t/τ)e-t/τ 
At t = 0, i1(t).i2 = 0
Also i1(t).i2 (t) → 0  as t → ∞


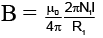
Q.20. Two circular coils of radii R1 and R2 having N1 and N2 turns are placed concentrically in the same plane. If R2 << R1, then the mutual inductance between them is
JEE Advanced (Single Correct Type): Electromagnetic Induction & Alternating Current | Chapter-wise Tests for JEE Main & Advanced
(a) JEE Advanced (Single Correct Type): Electromagnetic Induction & Alternating Current | Chapter-wise Tests for JEE Main & Advanced

(b) JEE Advanced (Single Correct Type): Electromagnetic Induction & Alternating Current | Chapter-wise Tests for JEE Main & Advanced
(c) JEE Advanced (Single Correct Type): Electromagnetic Induction & Alternating Current | Chapter-wise Tests for JEE Main & Advanced
(d) JEE Advanced (Single Correct Type): Electromagnetic Induction & Alternating Current | Chapter-wise Tests for JEE Main & Advanced

Correct Answer is Option (b)
Let I be the current through the coil of radius R1. The magnetic induction at the centre of the coil is JEE Advanced (Single Correct Type): Electromagnetic Induction & Alternating Current | Chapter-wise Tests for JEE Main & Advanced
Magnetic flux linked with the coil of radius R1 is
JEE Advanced (Single Correct Type): Electromagnetic Induction & Alternating Current | Chapter-wise Tests for JEE Main & Advanced

The document JEE Advanced (Single Correct Type): Electromagnetic Induction & Alternating Current | Chapter-wise Tests for JEE Main & Advanced is a part of the JEE Course Chapter-wise Tests for JEE Main & Advanced.
All you need of JEE at this link: JEE
481 docs|964 tests
Related Searches

JEE Advanced (Single Correct Type): Electromagnetic Induction & Alternating Current | Chapter-wise Tests for JEE Main & Advanced

,

ppt

,

Objective type Questions

,

Viva Questions

,

MCQs

,

Extra Questions

,

Previous Year Questions with Solutions

,

JEE Advanced (Single Correct Type): Electromagnetic Induction & Alternating Current | Chapter-wise Tests for JEE Main & Advanced

,

past year papers

,

JEE Advanced (Single Correct Type): Electromagnetic Induction & Alternating Current | Chapter-wise Tests for JEE Main & Advanced

,

Important questions

,

mock tests for examination

,

pdf

,

shortcuts and tricks

,

Summary

,

Sample Paper

,

study material

,

practice quizzes

,

Semester Notes

,

Exam

,

Free

,

video lectures

;