Try yourself:What is the area of the above arrow?
Statement 1: x = 13
Statement 2: y = 8
Explanation
It can already be ascertained from the figure that y = 8 , since the left portion is a rectangle, so Statement 2 is redundant.
We can already calculate the area of the rectangular portion of the arrow:
16 x 8 = 128
All this is left is to calculate the area of the triangular portion. If we know Statement 1, we can take half the product of the height, which is 13, and the base, which is
3 + 8 + 3 = 14 :
1/2 x 13 x 14 = 91
Add these numbers to get the area of the arrow: 128 + 91 = 219
Report a problem
View Solution
Question for Quantitative Practice Questions - 5
Try yourself:The triangles are similar. What is the value of x?
Explanation
The proportions of corresponding sides of similar triangles must be equal.
Therefore, 8/12 = 10/x . 8x = 120; x = 15 .
Report a problem
View Solution
Question for Quantitative Practice Questions - 5
Try yourself:In △ABC, if AB = k, BC = k + 3 and AC = m, which of the three angles of △ABC has the greatest degree measure?
(1) k = 3
(2) m = k + 4
Explanation
The longest side is opposite the largest angle for all triangles.
(1) Substituting 3 for k means that AB = 3 and BC = 5 . But the value of m given for side AC is still unknown → NOT sufficient.
(2) Since k + 3 > k , the longest side must be either k + 3 or m . So, knowing whether m > k + 3 is sufficient.
If m = k + 4 , knowing that k + 4> k + 3 ,
then m > k + 3 → SUFFICIENT.
Report a problem
View Solution
Question for Quantitative Practice Questions - 5
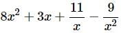
Try yourself:If 5x+4=19, what is the value of 4x2 - 5?
Explanation
First, we need to solve for x from the first equation in order to calculate the second quadratic function. To solve for x, we need to subtract four on each side of the equation, then we will get
5x = 15
The answer for x would be 15/5, which is 3.
So now we can calculate the function by plugging in x = 3.
32 = 9, and 9 x 4 = 36.
36 - 5 = 31
Report a problem
View Solution
Question for Quantitative Practice Questions - 5
Try yourself:A 70 ft long board is sawed into two planks. One plank is 30 ft longer than the other, how long (in feet) is the shorter plank?
Explanation
Let x = length of the short plank and x + 30 = length of the long plank.
x + x + 30 = 70 is the length of the pre-cut board, or combined length of both planks
2x + 30 = 70
2x = 40
x = 20
Report a problem
View Solution
Question for Quantitative Practice Questions - 5
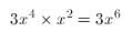
Try yourself:3x4 . x2 + x2 - x =
Explanation
Then,
Report a problem
View Solution
Question for Quantitative Practice Questions - 5
Try yourself:There exists a set X = {1, 2, 3, 4}. Which of the following defines a function of X?
Explanation
Let's look at f,g,and h and see if any of them are functions.
1. f = {(2, 3), (1, 4), (2, 1), (3, 2), (4, 4)}: This cannot be a function of X because two of the ordered pairs, (2, 3) and (2, 1) have the same number (2) as the first coordinate.
2. g = {(3, 1), (4, 2), (1, 1)}: This cannot be a function of X because it contains no ordered pair with first coordinate 2. Because the set X = {1, 2, 3, 4}, we need an ordered pair of the form (2, ) .
3. h = {(2, 1), (3, 4), (1, 4), (2, 1), (4, 4)}: This is a function. Even though two of the ordered pairs have the same number (2) as the first coordinate, h is still a function of X because (2, 1) is simply repeated twice, so the two ordered pairs with first coordinate 2 are equal.
Try yourself:4x + y = 27
2x − 3y = −11
What is x2 − y?
Explanation
Solve the first equation to get y = 27−4x
Substitute that into the second equation and get
2x − 3 x (27 − 4x) = −11
Solve the equation to get x = 5 , then substitute that into the first equation to get
y = 7.
Plugging those two values into x2 − y , gives
52 − 7 = 18
Report a problem
View Solution
Question for Quantitative Practice Questions - 5
Try yourself:Find the solutions to the equation x + 3y + x − 3 = 2y + 2x + y.
Explanation
Let's combine like terms.
2x + 3y − 3 = 2x + 3y
−3 = 0 , so the equation has no solution.
Report a problem
View Solution
Question for Quantitative Practice Questions - 5
Try yourself:Cassie and Derek must decorate 60 cupcakes. It takes them 150 minutes to complete the task together. How long would it take Derek to decorate the cupcakes by himself?
Statement 1: It would take Cassie 240 minutes to decorate the cupcakes by herself.
Statement 2: Derek can decorate 9 cupcakes in 1 hour.
Explanation
From the first statement, we can calculate the number of cupcakes Cassie can decorate in 150 minutes. From there, we can calculate the rate at which Derek decorates. Therefore, Statement 1 alone is sufficient to answer the question.
The second statement gives the rate at which Derek decorates cupcakes. Therefore, Statement 2 alone is also sufficient to answer the question.
Report a problem
View Solution
Question for Quantitative Practice Questions - 5
Try yourself:Two trains (Train A and Train B) leave their stations at exactly 6 pm, travelling towards each other from stations exactly 60 miles apart. There are no other stops between these two stations. What time does Train B arrive at its destination?
1. Train A travels twice as fast as Train B.
2. At 6:40 pm, the two trains pass each other.
Explanation
Statement 1 alone does not tell us enough about the speed of train B to answer the question. Statement 2 alone does not tell us about the rates of either individual train, so it is also not sufficient by itself to answer the question.
But can we figure out the answer using both pieces of information? Yes, we can! If we know that the trains meet at 6:40, then their combined rate of travel is 60 total miles in 40 minutes. Statement 1 says that Train A travels twice as fast as Train B, so we can determine the distances covered by the two trains in those 40 minutes. From there, we can find rates for both trains and then answer the question. Thus, both statements together are sufficient to answer the question, but neither statement alone is sufficient. Note: We didn't actually answer the question of Train B's arrival time. For data sufficiency questions, don't waste time trying to find the specific answer. All that is necessary is determining whether or not it is POSSIBLE to answer the question with the information given.
Report a problem
View Solution
Question for Quantitative Practice Questions - 5
Try yourself:Below are the results of the initial election for senior class president.
No candidate won a majority, so Crane and Trask faced each other in a runoff. Every student in the senior class voted in both the initial election and the runoff. Every student who voted for Crane in the initial election voted for Crane in the runoff, and every student who voted for Trask in the initial election voted for Trask in the runoff.
Who got the most votes in the runoff, Crane or Trask?
Statement 1: All of the students who voted for Jones in the initial election voted for Crane.
Statement 2: Two-thirds of the students who voted for Wells in the initial election voted for Trask.
Explanation
124 + 87 + 87 + 98 + 75 = 471 students voted, so 236 votes were necessary to win a simple majority.
From Statement 1 alone it can be determined that Crane won at least 124 + 87 = 211 votes (his own initial votes plus all of the votes that previously went to Jones), and Trask won at least 98 (his own initial votes).
From Statement 2 alone, it can be determined that Crane won at least 124 + 1/3 × 75 = 124 + 25 = 149 (his own initial votes plus one-third of the votes that previously went to Wells), and Trask won at least 98 + 2/3 × 75 = 98 + 50 = 148 votes (his own initial votes plus two-thirds of the votes that previously went to Wells).
Neither statement alone will prove a majority vote. From Statement 1 and 2 together, however, it is known that Crane won at least his own initial votes, all of Jones' votes, and one-third of Wells' votes - a minimum of
124 + 87 + 1/3 × 75 = 124 + 87 + 25 = 236 votes. Therefore Crane is the winner, and both statements are needed to prove this.
Report a problem
View Solution
Question for Quantitative Practice Questions - 5
Try yourself:The table below gives the population of the city of Renfrow for each of six census years.
Did Renfrow have a larger population in 1945 or 1955?
Statement 1: The population rose every year from 1940 to 1950.
Statement 2: The population rose every year from 1950 to 1960.
Explanation
Statement 1 alone tells us that the population of Renfrow in 1945 was between 13,251 and 15,049, but says nothing about the population in 1955.
Similarly, Statement 2 alone tells us that the population in 1955 was between 15,049 and 19,415, but says nothing about the population in 1945.
The two statements together, however, tell us that the population rose every year from 1940 to 1960, so the population in 1955 had to have been greater than the population in 1945.
Report a problem
View Solution
Question for Quantitative Practice Questions - 5
Try yourself:Mark, the barista at Moose Jaw Coffee, has to mix together two kinds of coffee beans, Chocolate Explosion and Cherry Cherry Delight, to produce a blend that costs $12 per pound.
How much of each coffee goes into the mixture?
Statement 1: The Chocolate Explosion coffee costs $10 per pound.
Statement 2: The Cherry Cherry Delight coffee costs $16 per pound.
Explanation
Assume both statements are true.
Let A be the amount of Chocolate Explosion and B be the amount of Cherry Cherry Delight. Then the price of the Chocolate and Cherry coffees will be 10A dollars and 16B dollars, respectively. The total price of the beans is 12(A + B) , so we can set up the equation:
10A + 16B = 12(A + B)
However, there is no further information we can use to set up a second equation, so there is insufficient information to answer the question.
Report a problem
View Solution
Question for Quantitative Practice Questions - 5
Try yourself:Carl, the barista at Moose Jaw Coffee, has to mix together two kinds of coffee beans - Vanilla Heaven, which costs $10 a pound, and Mountain Goodness, which costs $15 a pound - to produce a blend that costs $12 a pound.
How many pounds of Vanilla Heaven coffee beans go into the mixture?
Statement 1: The mixture will include 30 pounds of Mountain Goodness beans.
Statement 2: The finished blend will weigh 75 pounds.
Explanation
Let V be the number of pounds of Vanilla Heaven coffee beans in the mixture.
If we assume Statement 1 alone, then the total price of the Vanilla Dream coffee beans is $10 per pound times V pounds, or $10V . Similarly, the total price of the Mountain Goodness beans is $15 × 30 = $450 , and the overall price of the beans in the mixture is $12(V + 30) . Add these together to get the equatios
10V + 450 = 12(V + 30)
If we assume Statement 2 alone, the price of the Vanilla Dream beans is again $10V . However, the price of the Mountain Goodness beans is $15(75 − V) and the overall price of the beans is $12 × 75=900 , so we can set up this equation
10V + 15(75 − V) = 900
From either equation we can solve for V and get the answer to the question.
Report a problem
View Solution
Question for Quantitative Practice Questions - 5
Try yourself:A stereo system costs $444.36 after applying a 20% discount and adding the 5% sales tax.What was the original price of the stereo system?
Explanation
A 20% discount implies that the discounted price is 80% of the original price; a 5% tax means that 105% of the price will have to be paid. Let N be the original price.
We can now write an equation and solve for N :
1.05⋅0.80⋅N = $444.36
0.84⋅N = $444.36
0.84⋅N ÷ 0.84 = $444.36 ÷ 0.84
N = $529.00
Report a problem
View Solution
Question for Quantitative Practice Questions - 5
Try yourself:Evaluate AE.
Statement 1: AD = 24
Statement 2: BE = 24
Note: Figure NOT drawn to scale.
Explanation
Even with both statements, AE cannot be determined because the length of BD is missing.
For example, we can have AB = DE = 8 and BD = 16 , making AE = 32 ; or,
we can have AB = DE = 10 and BD = 14 , making AE = 34 . Neither scenario violates the conditions given.
Report a problem
View Solution
Question for Quantitative Practice Questions - 5
Try yourself:∠1 and ∠2 are supplementary angles. Which one has the greater measure?
Statement 1: m∠1<100
Statement 2: ∠2 is an obtuse angle.
Explanation
By definition, if ∠1 and ∠2 are supplementary angles, then m ∠1 + m∠2=180 .
If Statement 1 is assumed and m ∠1 < 100 , then m ∠2 > 80 . This does not answer our question, since, for example, it is possible that m ∠1 = 91 and m ∠2 = 89 , or vice versa.
If Statement 2 is assumed, then m∠2>90 , and subsequently, m ∠1 <90 ; by transitivity, m ∠2 > m ∠ 1 .
Report a problem
View Solution
Question for Quantitative Practice Questions - 5
Try yourself:What is the measure of ∠1?
Statement 1: ∠1 is complementary to an angle that measures 48∘.
Statement 2: ∠1 is adjacent to an angle that measures 42∘.
Explanation
Complementary angles have degree measures that total 90∘ , so the measure of an angle complementary to a 48∘ angle would have measure (90−48)∘ = 42∘ . If Statement 1 is assumed, then m∠1 = 42∘ .
Statement 2 gives no useful information. Adjacent angles do not have any numerical relationship; they simply share a ray and a vertex.
Any two consecutive angles of a parallelogram are supplementary, so if one angle has measure 90∘ , all angles can be proven to have measure 90∘ . This is the definition of a rectangle. Statement 1 therefore proves the parallelogram to be a rectangle.
Also, a parallelogram is a rectangle if and only if its diagonals are congruent, which is what Statement 2 asserts.
From either statement, it follows that parallelogram ABCD is a rectangle.
Report a problem
View Solution
Question for Quantitative Practice Questions - 5
Try yourself:The above shows Parallelogram ABCD. Is it a rectangle?
Statement 1: m∠1 = 90∘
Statement 2: (AB)2 + (BC)2 = (AC)2
Explanation
To prove that Parallelogram ABCD is also a rectangle, we need to prove that any one of its angles is a right angle.
If we assume Statement 1 alone, that m∠1 = 90∘ , then, since ∠1 and ∠BCD form a linear pair, ∠BCD is right.
If we assume Statement 2 alone, that (AB)2 +( BC)2 = (AC)2 , it follows from the converse of the Pythagorean Theorem that ΔABC is a right triangle with right angle ∠B .
Either way, we have proved that the parallelogram is a rectangle.
Report a problem
View Solution
Question for Quantitative Practice Questions - 5
Try yourself:What is the median of the following number set?
67,6,41,7,13,29
Explanation
In order to find the median, the set needs to be written in numerical order:
6,7,13,29,41,67
Since 13 and 29 are both the middle numbers, taking their average will give the median of the set.
Report a problem
View Solution
Question for Quantitative Practice Questions - 5
Try yourself:What happens to the volume of a rectangular prism if the length, width, and height are doubled?
Explanation
V = l x w x h
New V = 2l x 2w x 2h
New V = 8 x l x w x h
Then, the new volume is 8 times the old volume.
Report a problem
View Solution
Question for Quantitative Practice Questions - 5
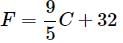
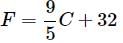
Try yourself:Convert 45∘ C to Fahrenheit (to the nearest tenth).
Explanation
The Celsius-to-Fahrenheit conversion formula is:
Substitute 45 for C :
The answer is 113∘ F .
Report a problem
View Solution
Question for Quantitative Practice Questions - 5
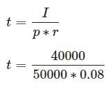
Try yourself:How many years does it take an investment of $50000 to yield $40000 in interest if invested at a 8% simple interest rate?
Explanation
Remember the simple interest formula, where I is interest, p is principle, r is rate, and t is time:
I = p x r x t
t = 10years
Report a problem
View Solution
Question for Quantitative Practice Questions - 5
Try yourself:Find the number of units, x, that a company must sell to break even if the profit equation is P(x) = 500x − 10,000.
Explanation
Break even profit is 0 . Plug this value into the equation to solve for the number of units:
P(x) = 500x − 10,000
0 = 500x − 10,000
10,000 = 500x
x = 20
Report a problem
View Solution
Question for Quantitative Practice Questions - 5
Try yourself:A jar contains 8 blue marbles and 4 red marbles. What is the probability of picking a blue marble followed by a red marble if the first marble chosen is not put back in the jar?
Explanation
There are 12 marbles total. The probability of picking a blue marble first is 8/12 = 2/3 .
The probability of then picking a red marble out of the 11 remaining marbles is 4/11 .
Therefore, the probability is 2/3 × 4/11 = 8 / 33 .
Report a problem
View Solution
Question for Quantitative Practice Questions - 5
Try yourself:The above is the menu at Monorail Sandwich Shop.
Today, Monorail is running a special - buy three sandwiches and get a large soda free. A boss treats her employees to lunch; she orders three beef sandwiches, two turkey sandwiches, two ham sandwiches, and seven large sodas. There is no sales tax. If the boss hands the clerk a $100 bill, how much change will she get back?
Explanation
The boss orders seven sandwiches, so two of the sodas will be free. Therefore, she will pay for three beef sandwiches, two turkey sandwiches, two ham sandwiches, and five large sodas. Their total price:
$5.89 × 3 + $5.49 × 2 + $5.19 × 2 + $1.99 × 5
= $17.67 + $10.98 + $10.38 + $9.95
= $48.98
The change from a $100 bill is
$100.00 − $48.98 = $51.02 .
Report a problem
View Solution
Question for Quantitative Practice Questions - 5
Try yourself:Jim and Julia, a married couple, work in the same building.
One morning, both left at 9:00, but in different cars. Jim arrived at 10:10; Julia arrived 10 minutes later. If Jim's average speed was 54 miles per hour, what was Julia's average speed (nearest whole number)?
Explanation
Jim arrived at the common destination in 70 minutes, or 7 / 6 hours. His average speed was 54 miles per hour, so their workplace is
7 / 6 x 54 = 63 miles away from Jim and Julia's home.
Julia traveled those 63 miles in 80 minutes, or 4 / 3 hours, so her average speed was
or, rounded, 47 miles per hour.
Report a problem
View Solution
Question for Quantitative Practice Questions - 5
Try yourself:Refer to the below circle. The smaller circle has diameter k feet. In terms of k, give the area of the gray region in square inches.
Explanation
Multiply the diameter of the smaller circle by 12 to convert it to inches - this will be 12k , which is also the radius of the larger circle. The radius of the smaller circle will be half this, or 6k .
Using the area formula for a circle A = πr2 , we can substitute these quantities for r and subtract the area of the smaller circle from that of the larger:
A1 = πr2 = π(12k)2 = 144πk2 square inches
A2 = πr2= π(6k)2 = 36πk2 square inches
A = A1 − A2 = 144πk2 − 36πk2 = 108πk2 square inches
Report a problem
View Solution
Question for Quantitative Practice Questions - 5
Try yourself:4x + 3y = 19
5x + 4y = 23
Choose the statement that most accurately describes the system of equations.
Explanation
4x + 3y = 19
5x + 4y = 23
Subtract the first equation from the second:
x + y = 4 ⇒ y = 4 − x
Now we can substitute this into either equation. We'll plug it into the first equation here:
4x + 3(4 − x) = 19 ⇒ 4x + 12 − 3x = 19 ⇒ x + 12 = 19
Thus we get x = 7 and y = 4 − (7) = −3 .
Therefore x is positive and y is negative.
Report a problem
View Solution
Question for Quantitative Practice Questions - 5
Try yourself:If x2 = 5, what does x6 equal?
Explanation
We can use the fact that (xa)b = xa ∗ b to see that (x2)3 = x6.
Since x2 = 5 , we have
(x2)3 = (x2)(x2)(x2) = (5)(5)(5) = 125 .
Try yourself:Define an operation ‡ on the set of real numbers as follows:
a ‡ b = 2ab − a − b
Evaluate 4 ‡ (3 ‡ 2).
Explanation
First, evaluate 3 ‡ 2 by substituting a = 3,b = 2 :
a ‡ b = 2ab − a − b
3 ‡ 2 = 2 x 3 x 2 − 3 − 2 = 12 − 3 − 2 = 7
Second, evaluate 4‡7 in the same way.
a ‡ b = 2ab − a − b
4 ‡ 7 = 2⋅4⋅7 − 4 − 7 = 56 − 4 − 7 = 45
Report a problem
View Solution
Question for Quantitative Practice Questions - 5
Try yourself:⌈x⌉ is defined as the least integer greater than or equal to x.
⌊x⌋ is defined as the greatest integer less than or equal to x.
Define g(x) = ⌊x + 0.5⌋ − ⌈x − 0.5⌉.
Evaluate g(3.9).
Try yourself:Consider the function f(x) = x3 − 2.
State whether this function is even, odd, or neither, and give the reason for your answer.
Explanation
A function is odd if and only if f(−x) = −f(x) for each value of x in the domain; it is even if and only if f(−x) = f(x) for each value of x in the domain. To disprove a function is odd or even, we need only find one value of x for which the appropriate statement fails to hold.
Consider x = 1 :
f(x) = x3 − 2
f(1) = 13 − 2 = 1−2 = −1
f(x) = x3 − 2
f(−1) = (−1)3 − 2 = −1 − 2 = −3
f(−1) ≠ −f(1) , so f is not an odd function; f(−1) ≠ f(1) , so f is not an even function.
Report a problem
View Solution
Question for Quantitative Practice Questions - 5
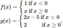
Try yourself:Evaluate (f∘g)(−4).
Explanation
(f∘g)(−4) = f(g(−4))
First we evaluate g(−4). Since the parameter is negative, we use the first half of the definition of g:
g(x) = 2x − 5
g(−4) = 2(−4) − 5 = −8 − 5 = −13
f(g(−4)) = f(−13); since the parameter here is again negative, we use the first half of the definition of f:
f(−13) = 1
Therefore, (f∘g)(−4) = 1.