About DC Bridges
DC bridges are electrical networks that operate with a direct-current (DC) excitation and are used primarily to measure an unknown resistance by comparison with known resistances. The most common DC bridge is the Wheatstone's bridge, which is a null-balance instrument: the unknown resistance is determined when the bridge is adjusted so that there is no current through the detector (galvanometer) placed in one diagonal.
Wheatstone's Bridge
- Basic structure: Four arms form a rhombus (or square). Each arm contains one resistor. The four resistors are usually labelled R1, R2, R3 and R4.
- Connections: A DC supply is connected across one diagonal of the bridge and a sensitive null detector (usually a galvanometer) is connected across the other diagonal.
- Purpose: The bridge is used to measure medium-range resistances by adjusting one known (standard) resistor until the galvanometer shows zero deflection. The null method gives high accuracy since the measurement is independent of the voltage of the source when balance is achieved.
- Practical arrangement: One resistor (for example R3) is taken as a standard variable resistor and another resistor (for example R4) is the unknown resistance. The bridge is balanced by varying the standard resistor until the galvanometer reads zero.
- Balanced condition: When the galvanometer current is zero there is no potential difference between the two nodes of the detector diagonal; this condition is called the bridge balance.
- Typical use: Measurement of unknown resistances, comparison of resistances, calibration of standard resistors and precise laboratory measurements.

Derivation of Balance Condition
Consider the usual labelling where the four resistors are arranged so that the supply is applied across nodes A and C and the galvanometer is connected between nodes B and D. Currents in the four arms are indicated as I1, I2, I3 and I4 as shown in the diagram.
At balance, the potential difference between the two detector terminals is zero. This leads to two equalities of voltages across corresponding arms.
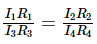
Voltage across AD equals voltage across AB:
I1R1 = I2R2
Voltage across DC equals voltage across BC:
I3R3 = I4R4
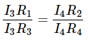
At balance the galvanometer current is zero; therefore the current entering node A splits and the currents in the opposite arms are equal pairwise. Hence:
I1 = I3
I2 = I4
Take the ratio of the two voltage equalities (Equation for AD = AB divided by Equation for DC = BC):
Substitute I1 = I3 and I2 = I4 into the ratio:
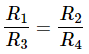
Therefore the balance relation reduces to:
Or, written explicitly, the usual form of the Wheatstone balance condition is:
R1 / R2 = R3 / R4
From this relation the unknown resistance can be expressed as:
R4 = (R2 × R3) / R1
Key Properties and Remarks
- Null method advantage: Accuracy is high because the measurement at balance does not depend on source voltage or on the internal resistance of the detector-the galvanometer simply indicates zero.
- Independence from supply: When the bridge is balanced, the balance condition is independent of the magnitude of the supply voltage.
- Range of measurement: Wheatstone bridge is most accurate for resistances in the medium range (neither extremely low nor extremely high). For very low resistances, error due to lead and contact resistances becomes significant; for very high resistances, detector leakage and instrument insulation become issues.
- Sensitivity: Sensitivity depends on the values of the resistances used and on the sensitivity of the galvanometer. Selecting arms so that the ratio R1/R2 is close to R3/R4 near the expected value of the unknown gives better sensitivity.
- Practical considerations: Use of low-thermal-EMF connections, guarding against leakage, using a stable DC source and a high-sensitivity null detector improves measurement accuracy.
- Standard forms and modifications: Potentiometric versions, Kelvin (four-terminal) bridge for low resistances and bridges using AC for impedance measurement are common variants.
Simple Numerical Example
Find the unknown resistance R4 if R1 = 100 Ω, R2 = 200 Ω and variable standard resistor R3 = 150 Ω when the bridge is balanced.
Use the balance formula:
R4 = (R2 × R3) / R1
Substitute the known values:
R4 = (200 × 150) / 100
R4 = 300 Ω
Therefore the unknown resistance is 300 Ω.
Applications
- Precision measurement of resistances in laboratory and industrial calibration.
- Strain gauge and transducer readout circuits (bridge arrangements convert small resistance changes into measurable voltage changes; though for dynamic sensing an AC or Wheatstone bridge with instrumentation amplifier is commonly used).
- Resistance comparison and detection of small changes in resistance due to temperature, strain or chemical effects.
- Educational demonstrations of circuit laws (Kirchhoff's laws, Ohm's law and potential division).
Limitations
- Not suitable for very low resistances unless a Kelvin (four-terminal) arrangement is used to eliminate lead/contact resistance errors.
- Not suitable for very high resistances where leakage currents and detector insulation limit accuracy.
- Requires a sensitive null detector and careful connection practice to achieve high accuracy.