Mechanical Engineering Exam  >  Mechanical Engineering Notes  >  General Aptitude for GATE  >  Cheatsheet: Profit & Loss

Cheatsheet: Profit & Loss | General Aptitude for GATE - Mechanical Engineering PDF Download

Introduction

Profit & Loss is an easy topic in the quantitative section. Every year, a small number of questions from this section appear, and students should aim to get all the questions from this topic right. The number of concepts in these topics is limited, and most of the problems can be solved by applying the formulae directly. 

Cheatsheet: Profit & Loss | General Aptitude for GATE - Mechanical Engineering

Some Important Definitions

  • Cost Price (C.P.) – Price at which an item is purchased.

  • Selling Price (S.P.) – Price at which an item is sold.

  • Profit (Gain) – Amount by which S.P. exceeds C.P.
    Profit = S.P. – C.P.

  • Loss – Amount by which C.P. exceeds S.P.
    Loss = C.P. – S.P.

  • Marked Price (MP) – Price marked on an item before discount.

  • Discount – Reduction from M.P.
    Discount = M.P. – S.P.

  • Profit and Loss Statement: A summary showing revenue, expenses, and net result over a given period.

Formulae


(i) Profit per cent
Cheatsheet: Profit & Loss | General Aptitude for GATE - Mechanical Engineering
(ii) Similarly, loss per cent  
Cheatsheet: Profit & Loss | General Aptitude for GATE - Mechanical Engineering
(iii) If an article is sold for two different prices (S.P1 and S.P2), there will be two profit percentages (P1 and P2) respectively.
Cheatsheet: Profit & Loss | General Aptitude for GATE - Mechanical Engineering
Note: In case of loss, treat that loss as negative profit.
(iv) If the Cost price of M articles is equal to the selling price of N articles, then the profit percentage is given by Cheatsheet: Profit & Loss | General Aptitude for GATE - Mechanical Engineering
If (M–N) is negative, then treat profit as a loss.
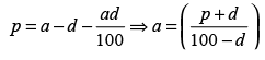
(v) If an article is sold after allowing a certain discount (d%) on the marked price (M.P.) then the selling price (S.P.) is given by S.P. = (100 – d)% × M.P
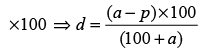
(vi) If the marked price of an article is a% above the cost price and a discount d% is allowed, then the profit per cent (p) would be
Cheatsheet: Profit & Loss | General Aptitude for GATE - Mechanical Engineering Cheatsheet: Profit & Loss | General Aptitude for GATE - Mechanical Engineering
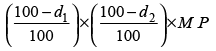
(vii) If an article is sold after allowing two successive discounts of d1%  and d2% then the selling price (S.P.) is given by S.P. = Cheatsheet: Profit & Loss | General Aptitude for GATE - Mechanical Engineering
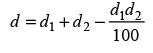
(viii) Two successive discounts of d1 and d2 are equivalent to a single discount of
Cheatsheet: Profit & Loss | General Aptitude for GATE - Mechanical Engineering

Tips

  • Find CP and SP first: Always check which is the Cost Price and which is the Selling Price. Mixing them up is a common mistake.

  • Use multipliers for quick work: Example: 20% profit means SP = 1.2 × CP, 15% loss means SP = 0.85 × CP.

  • Be careful with multiple changes: If there are two profits or losses in a row, use:
    Net% = x + y + (x × y / 100)
    (Here, x and y are the percentages.)

  • Apply a discount on the Marked Price: A discount is always calculated on the Marked Price unless the question says otherwise.

  • Look for hidden clues: Sometimes the question says things like “profit is 1/5 of CP.” Turn this into numbers before solving.

  • Do a quick check: Estimate your answer to see if it looks right before finalising it.

Solved Example

Question for Cheatsheet: Profit & Loss
Try yourself:A retailer sold 12 notes at a profit of 20% and 8 notes at a profit of 10%. If he had sold all the 20 notes at a profit of 15%, then his profit would have been reduced by Rs.36. What is the cost price of each note?
View Solution

Question for Cheatsheet: Profit & Loss
Try yourself:The profit Percentage on 3 bikes are 15%, 35% and 10% and the ratio of CP is 5:3:1. Also the ratio of the Bike sold of P, Q and R is 2:3:5. Then the overall approximate Profit Percentage is?
View Solution

Question for Cheatsheet: Profit & Loss
Try yourself:When a shopkeeper reduces the selling price of an article from 1180 to 1126 his loss increases by 5% . What is the cost price of article?
View Solution

Question for Cheatsheet: Profit & Loss
Try yourself:A and B, there are two companies, selling the packs of cold-drinks. For the same selling price A gives two successive discounts of 10% and 25%. While B sells it by giving two successive discounts of 15% and 20%. What is the ratio of their marked price?
View Solution

Question for Cheatsheet: Profit & Loss
Try yourself:A reputed company sells a wrist watch to a wholesaler making a profit of 10%. The wholesaler, in turn, sells it to the retailer making a profit of 10%. A customer purchases it by paying Rs. 990. Thus the profit of retailer is 2(3/11)% What is the cost incurred by the the company to produce it?
View Solution

The document Cheatsheet: Profit & Loss | General Aptitude for GATE - Mechanical Engineering is a part of the Mechanical Engineering Course General Aptitude for GATE.
All you need of Mechanical Engineering at this link: Mechanical Engineering
193 videos|169 docs|152 tests

FAQs on Cheatsheet: Profit & Loss - General Aptitude for GATE - Mechanical Engineering

1. What is a profit and loss statement in banking?
Ans. A profit and loss statement in banking, also known as an income statement, is a financial document that provides a summary of a bank's revenues, expenses, and net income over a specific period of time. It helps evaluate the bank's profitability and financial performance.
2. How is net income calculated in a profit and loss statement for banking?
Ans. Net income in a profit and loss statement for banking is calculated by subtracting all the expenses, including operating costs, interest expenses, and taxes, from the total revenues generated by the bank during a specific period. The resulting figure represents the bank's profit or loss.
3. What are the key components of a profit and loss statement for banking?
Ans. The key components of a profit and loss statement for banking include revenues (interest income, fee income, etc.), expenses (operating costs, interest expenses, etc.), and net income. Additionally, it may also include other financial indicators like provision for loan losses, non-interest income, and non-interest expenses.
4. Why is a profit and loss statement important for banks?
Ans. A profit and loss statement is important for banks as it provides insights into their financial performance, profitability, and overall health. It helps bank management, investors, and regulators to analyze the bank's revenue sources, expense management, and net income. It serves as a crucial tool for decision-making and assessing the bank's financial stability.
5. How can banks use profit and loss statements for financial analysis?
Ans. Banks can use profit and loss statements for financial analysis by comparing them over different periods to identify trends and changes in their financial performance. It helps in evaluating the impact of various factors on the bank's profitability, such as changes in interest rates, loan portfolio quality, and operational efficiency. This analysis assists banks in making strategic decisions, improving their financial management, and identifying areas for cost reduction or revenue enhancement.
Related Searches

mock tests for examination

,

Objective type Questions

,

Cheatsheet: Profit & Loss | General Aptitude for GATE - Mechanical Engineering

,

practice quizzes

,

study material

,

MCQs

,

Cheatsheet: Profit & Loss | General Aptitude for GATE - Mechanical Engineering

,

Exam

,

video lectures

,

Previous Year Questions with Solutions

,

Free

,

Extra Questions

,

Sample Paper

,

Viva Questions

,

Cheatsheet: Profit & Loss | General Aptitude for GATE - Mechanical Engineering

,

past year papers

,

shortcuts and tricks

,

ppt

,

pdf

,

Semester Notes

,

Important questions

,

Summary

;