Multiple Choice Questions (MCQ)
Question for RS Aggarwal Solutions: Volume and Surface Area of Solids- 5
Try yourself:A cylindrical pencil sharpened at one edge is the combination of
Explanation

Pencil is a combination of Cylinder + Cone

Report a problem
Question for RS Aggarwal Solutions: Volume and Surface Area of Solids- 5
Try yourself:A shuttlecock used for playing badminton is the combination of
Explanation
Shuttle is a combination of Frustum of a cone + Hemisphere

Report a problem
Question for RS Aggarwal Solutions: Volume and Surface Area of Solids- 5
Try yourself:A funnel is the combination of
Explanation
Funnel is a combination of Frustum of a cone + Cylinder

Report a problem
Question for RS Aggarwal Solutions: Volume and Surface Area of Solids- 5
Try yourself:A Sarahi is a combination of
Explanation
Sarahi is a combination of Sphere + Cylinder

Report a problem
Question for RS Aggarwal Solutions: Volume and Surface Area of Solids- 5
Try yourself:The shape of a glass (tumbler) is usually in the form of
Explanation
Glass is in the shape of a Frustum of a cone.

Report a problem
Question for RS Aggarwal Solutions: Volume and Surface Area of Solids- 5
Try yourself:The shape of a Gilli in the Gilli-Danda game is a combination of
Explanation
Gilli in the gili-Danda is a combination of Frustum of a frustum of a cone + Cylinder + cone

Report a problem
Question for RS Aggarwal Solutions: Volume and Surface Area of Solids- 5
Try yourself:A plumbline (sahul) is the combination of
Explanation
Plumbline (sahul) is a combination of a Cone + hemisphere.
Report a problem
Question for RS Aggarwal Solutions: Volume and Surface Area of Solids- 5
Try yourself:A cone is cut by a plane parallel to its base and the upper part is removed. The part that is left over is called
Explanation
When a cone is cut by a plane parallel to its base and the upper part is removed. The part that is left over is called frustum of a cone.

Report a problem
Question for RS Aggarwal Solutions: Volume and Surface Area of Solids- 5
Try yourself:During conversion of a solid from one shape to another, the volume of the new shape will
Explanation
When a object of certain volume is melted and converted to some other shape, the volume of the new object formed will be the same as the volume of the old object.
Report a problem
Question for RS Aggarwal Solutions: Volume and Surface Area of Solids- 5
Try yourself:In a right circular cone, the cross section made by a plane parallel to the base is a
Explanation
In a right circular cone, the cross section made by a plane parallel to the base is a circle.

Report a problem
Question for RS Aggarwal Solutions: Volume and Surface Area of Solids- 5
Try yourself:A solid piece of iron in the form of a cuboid of dimensions (49 cm × 33 cm × 24 cm) is moulded to form a solid sphere. The radius of the sphere is
Explanation
Given: Dimension of cuboid (49 cm × 33 cm × 24 cm)
Volume of cuboid is : length × breadth × height
Volume of Solid Sphere is : 4/3 × π × r3 (here r is radius of the sphere)
Let v1 be the volume of given cuboid.
∴ v1 = 49 cm × 33 cm × 24 cm = 38808 cm3
Let v2 be the volume of Solid Sphere.
We know that when a object is moulded from one shape to other its volume does not change.
∴ v1 = v2
That is,
38808 = × π × r3
r3 = × 38808
r3 = 9261 r = ∛9261 = 21
∴ r = 21cm
That is, radius of the Solid sphere = 21cm
Report a problem
Question for RS Aggarwal Solutions: Volume and Surface Area of Solids- 5
Try yourself:The radius (in cm) of the largest right circular cone that can be cut out from a cube of edge 4.2 cm is
Explanation
Given: edge of the cube = 4.2 cm
A right circular cone is a Cone whose height is perpendicular to the diameter (radius) of the base circle.
In a cube, a largest right circular Cone is formed when its base lies on one of the faces of the Cube and its tip lies on the opposite face.

∴ Diameter of largest right circular Cone in Cube = edge length of cube.
∴ Diameter = 4.2 cm
⇒ Radius =
= 2.1 cm
∴ Radius of the largest right circular Cone in Cube is 2.1 cm.
Report a problem
Question for RS Aggarwal Solutions: Volume and Surface Area of Solids- 5
Try yourself:A metallic solid sphere of radius 9 cm is melted to form a solid cylinder of radius 9 cm. The height of the cylinder is
Explanation
Given: Radius of the solid sphere = 9 cm
Radius of the cylinder = 9 cm
Volume of Solid Sphere is: 4/3 × π × r3 (here r is radius of the sphere)
Volume of Solid Cylinder is: π × r2 × h (here r is radius and h is height of the cylinder)
Let v1 be the volume of given Solid Sphere.
∴ v1 = 4/3 × π × 93 cm3
Let v2 be the volume of Solid Cylinder.
∴ v2 = π × 92 × h
We know that when a object is moulded from one shape to other its volume does not change.
∴ v1 = v2
That is, 4/3× π × 93 = π × 92 × h

∴ h = 12 cm
That is Height of the Cylinder is 12 cm.
Report a problem
Question for RS Aggarwal Solutions: Volume and Surface Area of Solids- 5
Try yourself:A rectangular sheet of paper 40 cm × 22 cm, is rolled to form a hollow cylinder of height 40 cm. The radius of the cylinder (in cm) is
Explanation
Given: Dimensions of rectangular sheet: 40cm × 22cm
Height of the Hollow Cylinder : 40cm
Area of the Rectangle is = length × breadth
Curved surface Area of the Cylinder = 2πrh (where r and h are radius and height of cylinder respectively)
Let a1 be the area of Rectangle
∴ a1 = 40 × 22 cm2
Let a2 be the Curved surface area of Cylinder
∴ a2 = 2 × π × r × 40 cm2
We know that when area of a surface doesn’t change even if its shape is changed.
∴ a1 = a2
⇒ 40 × 22 = 2 × π × r × 40

∴ Radius of the Cylinder is 3.5cm
Report a problem
Question for RS Aggarwal Solutions: Volume and Surface Area of Solids- 5
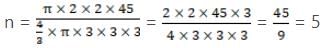
Try yourself:The number of solid sphere, each of diameter 6 cm, that can be made by melting a solid metal cylinder of height 45 cm and diameter 4 cm, is
Explanation
Given: Diameter of the Solid Sphere is: 6 cm
Height of the Cylinder is: 45cm
Diameter of the Cylinder is: 4cm
Volume of Solid Cylinder is: π × r2 × h (here r is radius and h is height)
Volume of the Solid Sphere is: 4/3 × π × r3 (here r is the radius of the Sphere)
Let v1 be the volume of given Cylinder
∴ v1 = π × 22 × 45 cm3 (4cm is diameter, ∴ 2cm is the radius of cylinder)
Let v2 be the volume of Solid Sphere.
V2 = 4/3 × π × 33 cm3 (6cm is the diameter, ∴ 3cm is the radius of the Sphere)
We know that when a object is moulded from one shape to other its volume does not change.
Let n be the number of Solid Sphere of diameter 6cm required.
∴ v1=n × v2 (volume of n Spheres = volume of Cylinder)
That is,
π × 22 × 45 =n × 4/3 × π × 33

That is 5 Solid Spheres of diameter 6 cm can be formed by the Solid Cylinder of height 45 cm and diameter 4 cm.
Report a problem
Question for RS Aggarwal Solutions: Volume and Surface Area of Solids- 5
Try yourself:The surface areas of two sphere are in the ratio 16:9. The ratio of their volume is
Explanation
Given: Surface area ratio of two Spheres is: 16:9
Volume of the Sphere is: 4/3 × π × r3 (where r is radius of sphere)
Surface area of the sphere is: 4 × π × r2 (where r is radius of sphere)
Let S1 and S2 be two different spheres.
(Surface area of) S1: (Surface area of) S2 = 16:9
4 × π × (r1)2: 4 × π × (r2)2 = 16:9 (here r1 and r2 are the radii of S1 and S2 respectively)
(r1)2: (r2)2 = 16:9
r1: r2 = √16:√9
r1: r2 = 4:3
Now,
Let V1 and V2 be the volumes of the spheres S1 and S2 respectively.
∴ V1:V2 = 4/3 × π × (r1)3:4/3 × π × (r2)3 (here r1 and r2 are the radii of S1 and S2 respectively)
⇒ V1:V2 = (r1)3: (r2)3
⇒ V1:V2 = (4)3: (3)3
⇒ V1:V2 = 64:27
∴ The ratios of the volumes is: 64:27
Report a problem
Question for RS Aggarwal Solutions: Volume and Surface Area of Solids- 5
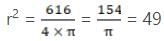
Try yourself:If the surface area of a sphere is 616 cm2, its diameter (in cm) is
Explanation
Given: surface area of a sphere is 616 cm2
Surface area of the sphere is: 4 × π × r2 (where r is radius of sphere)
∴ 4 × π × r2 = 616 cm2

r = √49 = 7 cm
∴ Diameter = 2 × r = 2 × 7 = 14cm
Report a problem
Question for RS Aggarwal Solutions: Volume and Surface Area of Solids- 5
Try yourself:If the radius of a sphere becomes 3 times then its volume will become
Explanation
Let r1 be the initial radius of the sphere.
∴ r1= r
Let r2 be the radius after increasing it 3 times the size of initial radius.
∴ r2 = 3r
Let V1 be the initial volume of the sphere
∴ V1 = 4/3 × π × (r1)3 = 4/3 × π × r3
Let V2 be the volume of the sphere after its radius is increased by 3 times.
∴ V2 = 4/3 × π × (r2)3 = 4/3 × π × (3r)3
⇒ V2 = 27 × 4/3 × π × r3
∴ If radius is increased by 3 times, its volume will be increased by 27 times.
Report a problem
Question for RS Aggarwal Solutions: Volume and Surface Area of Solids- 5
Try yourself:If the height of a bucket in the shape of frustum of a cone is 16 cm and the diameter of its two circular ends are 40 cm and 16 cm then its slant height is
Explanation
Given: Height of the frustum of a cone: 16 cm
Diameters of the Circular ends: 40cm and 16 cm.
Radius of the Circular ends: 40/2 = 20cm and 16/2 = 8cm

Here slant height h can be found by using Pythagoras theorem.
∴ s2 = h2 + (R-r)2 (here R is 20cm and r is 8cm)
⇒ s2 = 162 + (20—8)2
⇒ s2 = 162 + (12)2
⇒ s2 = 256 + 144
⇒ s2 = 400
⇒ s = √400 = 20
∴ Slant height 0f the Frustum is 20cm
Report a problem
Question for RS Aggarwal Solutions: Volume and Surface Area of Solids- 5
Try yourself:A sphere of diameter 18 cm is dropped into a cylinder vessel of diameter 36 cm, partly filled with water. If the sphere is completely submerged then the water level rises by
Explanation
Given: Diameter of a sphere: 18cm ⇒ radius = 18/2 = 9cm
Diameter of Cylindrical vessel: 36cm ⇒ radius = 36/2 = 18cm
It is given that Sphere is dropped into the cylindrical vessel containing some water.
∴ Volume of sphere = Volume of water in Cylinder displaced (raised)
Let V1 be the volume of the Sphere
∴ V1 = 4/3 × π × (r1)3
V1 = 4/3 × π × 93
Let V2 be the volume of the water displaced in the cylindrical vessel
∴ V2 = π × (r2)2 × h (here r2 is the radius of the Cylinder and h is the level of water raised in the vessel after dropping the sphere into the cylindrical vessel)
V2 = π × 182 × h
Since V1=V2
4/3 × π × 93 = π × 182 × h

∴ The water level rises by 3cm when the dropped sphere is completely submerged in the cylindrical vessel.
Report a problem
Question for RS Aggarwal Solutions: Volume and Surface Area of Solids- 5
Try yourself:A solid right circular cone is cut into two parts at the middle of its height by a plane parallel to its base. The ratio of the volume of the smaller cone to the whole cone is
Explanation
Report a problem
Question for RS Aggarwal Solutions: Volume and Surface Area of Solids- 5
Try yourself:The radii of the circular ends of a bucket of height 40 cm are 24 cm and 15 cm. The slant height (in cm) of the bucket is
Explanation
Bucket is in the shape of a frustum of a cone
Therefore,
Given: Height of the frustum: 40 cm
Radius of the Circular ends: 24cm and 15cm

Here slant height h can be found by using Pythagoras theorem.
∴ s2 = h2 + (R-r)2 (here R is 20cm and r is 8cm)
⇒ s2 = 402 + (24—15)2
⇒ s2 = 402 + (9)2
⇒ s2 = 1600 + 81
⇒ s2 = 1681
⇒ s = √1681 = 41
∴ Slant height 0f the Frustum is 41cm.
Report a problem
Question for RS Aggarwal Solutions: Volume and Surface Area of Solids- 5
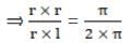
Try yourself:A solid is hemispherical at the bottom and conical (of same radius) above it. If the surface areas of the two parts are equal then the ratio of its radius and the slant the height of the conical part is
Explanation
Given: Bottom of a solid is hemispherical and conical above it, both have same radius and same surface areas.
∴ CSA of hemisphere = CSA of Cone
⇒ 2 × π × r2 = πrl (where r is the radius and l is the slant height)


∴ r:l = 1:2
That is ratio of radius and the slant height of the given solid is 1:2.
Report a problem
Question for RS Aggarwal Solutions: Volume and Surface Area of Solids- 5
Try yourself:If the radius of the base of a right circular cylinder is halved, keeping the height the same. Then the ratio of the volume of the cylinder thus obtained to the volume of original is
Explanation
Given: Radius of the base of a right circular cylinder is halved, keeping the height the same.
Let initial Radius of Right Circular Cylinder be ‘r’.
∴ Radius of the Cylinder after its radius is halved is ‘r/2’
Let ‘h’ be the height of the both the cylinders.
Let V1 be the volume of the initial Cylinder.
Let V2 be the volume of the Cylinder after the initial Cylinders base radius is halved.
Volume of the Cylinder is given by: πr2h
∴ V1:V2 = π(r1)2h : π(r2)2h
∴ V1:V2 = π(r)2h : π(r/2)2h
⇒ V1:V2 = 1: (1/4)
⇒ V1:V2 = 4:1
Thus, ratio of the volume of the cylinder thus obtained to the volume of original is 4:1.
Report a problem
Question for RS Aggarwal Solutions: Volume and Surface Area of Solids- 5
Try yourself:A cubical ice-cream brick of edge 22 cm is to be distributed among some children by filled ice-cream cones of radius 2 cm and height 7 cm up to its brim. How many children will get the ice-cream cones?
Explanation
Given: Cubical ice-cream brick of edge 22.
Ice-cream cone of radius 2 cm and height 7 cm.
Let ‘n’ be the number of students who get ice-cream cones.
Let V1 be the volume of the Cubical Ice-cream brick.
Volume of Cube is given by: a3 (where a is the edge length)
∴ V1 = a3 = 223
Let V2 be the Volume of the Ice-cream Cone.
Volume of Cone is given by: 1/3 × π × r2 × h (where r is the radius of the base and h is the edge height of the cone)
∴ V2 = 1/3 × π × r2 × h = 1/3 × π × 22 × 7
Here,
V1 = n × V2
∴ 223 = n × 1/3 × π × 22 × 7

∴ 363 Children can get ice cream cones.
Report a problem
Question for RS Aggarwal Solutions: Volume and Surface Area of Solids- 5
Try yourself:A mason constructs a wall of dimension (270 cm × 300cm × 350cm) with bricks, each of size (22.5cm × 11.25cm × 8.75cm) and it is assumed that 1/8 space is covered by the mortar. Number of bricks used to construct the wall is
Explanation
Given: A wall of dimension (270 cm × 300cm × 350cm).
A wall of dimension (22.5cm × 11.25cm × 8.75cm).
1/8 space is covered by the mortar.
Here 1/8 volume of the wall is covered by mortar,
∴ 1 – 1/8 = 7/8 volume of the wall is covered by bricks.
Volume of the cuboid is given by: lbh (here l, b, h are length , breadth, height respectively).
Let V1 be the volume of the wall.
∴ V1 = l × b × h = 270 × 300 × 350
⇒ V1 = 270 × 300 × 350 = 28350000 cm2
Let V2 be the volume of the brick.
∴ V2 = l × b × h = 22.5 × 11.25 × 8.75
⇒ V2 = 22.5 × 11.25 × 8.75 = 70875/32 cm2
Let ‘n’ be the number of bricks required to occupy 7/8 volume of the wall.
∴ n × 70875/32 = 28350000 × 7/8
⇒ n = 28350000 × 7/8 × 32/70875 = 11200
∴ n = 11200
That is 11200 bricks required to occupy 7/8 volume of the wall.
Report a problem
Question for RS Aggarwal Solutions: Volume and Surface Area of Solids- 5
Try yourself:Twelve solid sphere of the same size are made by melting a solid metallic cylinder of base diameter 2 cm and height 16 cm. The diameter of each sphere is
Explanation
Given: A solid metallic cylinder of base diameter 2 cm and height 16 cm.
Twelve solid sphere of the same size are made by melting a solid metallic cylinder .
Let V1 be the volume of the cylinder
Volume of the cylinder is given by: π × r2 × h
∴ V1 = π × 12 × 16 (diameter is 2cm, ∴ radius is 1cm)
Let V2 be the volume of the each Sphere.
Volume of the Sphere is given by: 4/3 × π × r3 (where r is the radius of the sphere)
∴ V2 = 4/3 × π × r3
Here,
V1 = 12 × V2
∴ π × 12 × 16 = 12 × 4/3 × π × r3

∴ r = ∛1 = 1 cm
∴ Diameter of the Sphere is 2 × r = 2 × 1 = 2cm
Report a problem
Question for RS Aggarwal Solutions: Volume and Surface Area of Solids- 5
Try yourself:The diameter of two circular ends of a bucket are 44 cm and 24 cm, and the height of the bucket is 35 cm. The capacity of the bucket is
Explanation
Given: Diameter of two circular ends of a bucket are 44 cm and 24 cm, and the height of the bucket is 35 cm.
Bucket is in the shape of frustum.
Let V be the Volume of the Bucket(Frustum)
Volume of the frustum is given by: π/3 × h × (R2 + r2 + Rr) (here r and R are the radii of smaller and larger circular ends respectively)
∴ V = π/3 × h × (R2 + r2 + R × r)
⇒ V = π/3 × 35 × (222 + 122 + 22 × 12) (diameters are 44 and 24 cm, ∴ their radii are 22cm and 12cm respectively)
⇒ V = π/3 × 35 × (484 + 144 + 264) = π/3 × 35 × (892)
⇒ V = π/3 × 35 × (892) = 32706.6 cm3 = 32.7 litres (∵ 1000cm3 = 1 litre)
∴ The capacity of the bucket is: 32.7 litres
Report a problem
Question for RS Aggarwal Solutions: Volume and Surface Area of Solids- 5
Try yourself:The slant height of a bucket is 45 cm and the radii of its top and bottom are 28 cm and 7 cm respectively. The curved surface area of the bucket is
Explanation
Given: slant height of a bucket is 45
Radii of its top and bottom are 28 cm and 7 cm respectively.
Bucket is in the shape of a frustum.
Let A be the CSA of the Frustum
CSA of the frustum is given by: πl(r1 + r2) (here l is the slant height and r1 and r2 are the radii of top and bottom of the bucket(frustum))
∴ A = πl(r1 + r2)
⇒ A = π × 45 × (28 + 7) = π × 45 × (35) = 4950 cm2
∴ A = 4950 cm2
That is , curved surface area of the bucket is 4950 cm2
Report a problem
Question for RS Aggarwal Solutions: Volume and Surface Area of Solids- 5
Try yourself:The volumes of two Spheres are in the ratio 64: 27. The ratio of their surface areas is
Explanation
Given: Volume ratio of two Spheres is: 64:27
Volume of the Sphere is: 4/3 × π × r3 (where r is radius of sphere)
Surface area of the sphere is: 4 × π × r2 (where r is radius of sphere)
Let S1 and S2 be two different spheres.
(Volume of) S1: (Volume of) S2 = 64:27
4/3 × π × (r1)3: 4/3 × π × (r2)3 = 64:27 (here r1 and r2 are the radii of S1 and S2 respectively)
(r1)3: (r2)3 = 64:27
r1: r2 = ∛64:∛27
r1: r2 = 4:3
Now,
Let SA1 and SA2 be the surface areas of the spheres S1 and S2 respectively.
∴ SA1:SA2 = 4 × π × (r1)2:4 × π × (r2)2 (here r1 and r2 are the radii of S1 and S2 respectively)
⇒ SA1:SA2 = (r1)2: (r2)2
⇒ SA1:SA2 = (4)2: (3)2
⇒ SA1:SA2 = 16:9
∴ The ratio of the Surface area of spheres is: 16:9.
Report a problem
Question for RS Aggarwal Solutions: Volume and Surface Area of Solids- 5
Try yourself:A hollow cube of internal edge 22 cm is filled with spherical marbles of diameter 0.5 cm and 1/8 space of the cube remains unfilled. Number of marbles required is
Explanation
Given: hollow cube of internal edge 22 cm
Spherical marbles of diameter 0.5 cm ⇒ radius = 0.5/2 = 0.25 cm
1/8 space of the cube remains unfilled.
Here, 1/8 space of the cube is unfilled, that is 7/8 of the cube is filled with marbles of radius 0.25cm.
Volume of the sphere is : 4/3 × π × r3 (where ‘r’ is the radius of the cube)
Let V1 be the volume of the Sphere.
∴ V1 = 4/3 × π × (0.25)3 = 11/168 cm3
Volume of the Cube : a3 (where ‘a’ is the edge length of the cube)
Let V2 be the volume of the cube.
∴ V1 = (22)3 = 10648 cm3
Let ‘n’ be the number of sphere required to fill the 7/8 space of the cube.
∴ n × V1= V2 × 7/8
⇒ n × 11/168 = 10648 × 7/8
⇒ n × 11/168 = 9317
⇒ n = 9317 × 168/11 = 142296
∴ Number of marbles required to fill 7/8 of the cube id 142296.
Report a problem
Question for RS Aggarwal Solutions: Volume and Surface Area of Solids- 5
Try yourself:A metallic spherical shell of internal and external diameter 4 cm and 8 cm respectively, is melted and recast into the form of a cone of base diameter 8 cm. The height of the cone is
Explanation
Given: Metallic spherical shell of internal and external diameter 4 cm and 8 cm respectively
Recast into the form of a cone of base diameter 8 cm.
Volume of spherical shell is : 4/3 × π × [(r1)3 — (r2)3] (here r1 an r2 are External and internal radii respectively)
Let v1 be the volume of given Spherical shell.
∴ v1 = 4/3 × π × [(8/2)3 — (4/2)3] = 4/3 × π × [(4)3 — (2)3] = 4/3 × π × [64 — 8] = 4/3 × π × 56 cm3
Volume of the cone is given by : 1/3 × π × r2 × h
Let v2 be the volume of cone.
∴ V2 = 1/3 × π × (8/2)2 × h = 1/3 × π × 16 × h cm3
We know that when a object is moulded from one shape to other its volume does not change.
∴ v1=v2
That is, 4/3 × π × 56 = 1/3 × π × 16 × h

∴ h = 14cm
That is, height of the cone = 14cm
Report a problem
Question for RS Aggarwal Solutions: Volume and Surface Area of Solids- 5
Try yourself:A medicine capsule is in the shape of a cylinder of diameter 0.5 cm with two hemisphere struck to each of its ends. The length of the entire capsule is 2 cm. The capacity of the capsule is
Explanation
Given: A cylinder of diameter 0.5 cm
The length of the entire capsule is 2 cm
Here, Radius of the Cylinder and Hemisphere is 0.5/2 = 0.25cm
Height of the Cylinder = length of capsule – 2 × (radius of hemisphere) = 2 – 0.5 = 1.5cm
Volume of Cylinder is: πr2h (here r, h are radius and height of the cylinder respectively)
Volume of hemisphere is: 4/3πr3 (here r is the radius of the hemisphere)
Let V1 be the Cylindrical part of the capsule
∴ V1 = πr2h = π × (0.25)2 × (1.5) = 0.09375π cm3
Let V2 be the Cylindrical part of the capsule
∴ V1 = 4/3πr3 = 4/3π(0.25)3 = 0.0625/3π cm3
∴ Volume of the capsule = V1 + 2V2 = 0.09375π + 2 × 0.0625/3π = 0.3599 ≈ 0.36cm3
∴ Volume of the capsule is 0.36cm3
Report a problem
Question for RS Aggarwal Solutions: Volume and Surface Area of Solids- 5
Try yourself:The length of the longest pole that can be kept in a room (12 m × 9 m × 8 m) is
Explanation
Given: A room with dimensions (12 m × 9 m × 8 m)
Room is in the shape of a Cuboid.
Longest rod that can be placed in a room is nothing but its diagonal.
Let length of the rod be ‘L’.
Length of diagonal of a Cuboid = √(l2 + b2 + h2)
∴ L = √(l2 + b2 + h2)
L = √(122 + 92 + 82) m
⇒ L= √(144 + 81 + 64) m
⇒ L = √289 m
⇒ L = 17 m
∴ The length of the longest rod is 17 m
Report a problem
Question for RS Aggarwal Solutions: Volume and Surface Area of Solids- 5
Try yourself:The length of the diagonal of a cube is 6 √ 3 cm. Its total surface area is
Explanation
Given: Length of the diagonal of a cube is 6 √ 3 cm.
We know that the Length of a diagonal of a cube is given by: a√ 3 (here ‘a’ is edge length of cube)
∴ a√ 3 = 6√ 3
⇒ a = 6cm
∴ Edge length of the cube is 6cm.
Surface area of a cube is given by: 6a2 (here ‘a’ is the edge length)
Let ‘S’ be the surface area of the given Cube.
∴ S = 6a2
⇒ S = 6 × (6)2
⇒ S = 216 cm2
∴ Surface area of the given cube is 216 cm2
Report a problem
Question for RS Aggarwal Solutions: Volume and Surface Area of Solids- 5
Try yourself:The volume of a cube is 2744 cm3. Its surface area is
Explanation
Given: volume of a cube is 2744 cm3.
We know that the Volume of a cube is given by: a3 (here ‘a’ is edge length of cube)
∴ a3 = 2744
⇒ a = ∛ 2744
⇒ a =14cm
∴ Edge length of the cube is 14cm.
Surface area of a cube is given by: 6a2 (here ‘a’ is the edge length)
Let ‘S’ be the surface area of the given Cube.
∴ S = 6a2
⇒ S = 6 × (14)2
⇒ S = 1176 cm2
∴ Surface area of the given cube is 1176 cm2
Report a problem
Question for RS Aggarwal Solutions: Volume and Surface Area of Solids- 5
Try yourself:The total surface area of a cube is 864 cm2. Its volume is
Explanation
Given: The total surface area of a cube is 864 cm2.
We know that the Volume of a cube is given by: 6a2 (here ‘a’ is edge length of cube)
∴ 6a2 = 864
⇒ a2 = 864/6 = 144
⇒ a =√ 144
⇒ a =12cm
∴ Edge length of the cube is 12cm.
Volume of a cube is given by: a3 (here ‘a’ is the edge length)
Let ‘V’ be the Volume of the given Cube.
∴ V = a3
⇒ V = (12)3
⇒ V = 1728 cm3
∴ Volume of the given cube is 1728 cm3
Report a problem
Question for RS Aggarwal Solutions: Volume and Surface Area of Solids- 5
Try yourself:How many bricks each measuring (25 cm × 11.25 cm × 6 cm) will be required to construct a wall (8 m × 6 m × 22.5 cm)?
Explanation
Given: Bricks each measuring (25 cm × 11.25 cm × 6 cm)
A wall with dimensions (8 m × 6 m × 22.5 cm)
We know that the Brick and wall are in the shape of a Cuboid.
∴ Volume of a Brick and wall is given by: l × b × h (here l,b,h are the length , breadth, height of the wall and brick)
Let V1 be the volume of the Wall.
∴ V1 = l × b × h = 800 × 600 × 22.5 (∵ 8 m = 800cm and 6 m = 600cm)
⇒ V1 = 10800000 cm3
Let V2 be the volume of a Brick.
∴ V2 = l × b × h = 25 × 11.25 × 6
⇒ V2 = 1687.5 cm3
Let ‘n’ be the number of Bricks required to build the Wall.
∴ V1 = n × V2
10800000 = n × 1687.5
⇒ n = 10800000/1687.5 = 6400
∴ n = 6400
That is, 6400 bricks are required to build the wall.
Report a problem
Question for RS Aggarwal Solutions: Volume and Surface Area of Solids- 5
Try yourself:The area of the base of a rectangular tank is 6500 cm2 and the volume of water contained in it is 2.6 m3. The depth of water in the tank is
Explanation
Given: The area of the base of a rectangular tank is 6500 cm2.
Volume of water contained in it is 2.6 m3.
We know that Rectangular tank is in the shape of a cuboid.
And also area of the base of a cuboid is given by : l × b (here l and b are length and breadth respectively)
∴ l × b = 6500 cm2 ….1
Volume of a cuboid is given by: l × b × h (here l, b, h are length, breadth, height respectively)
∴ l × b × h = 2.6 m3 = 2.6 × 1000000 cm3 = 2600000 cm3 …2
From —1 and —2
6500 × h = 2600000

∴ h = 4m
That is, depth of water in the tank is 4m.
Report a problem
Question for RS Aggarwal Solutions: Volume and Surface Area of Solids- 5
Try yourself:The volume of a wall, 5 times as high as it is broad and 8 times as long as it is high, is 12.8 m3. The breadth of the wall is
Explanation
Given: The volume of a wall is 12.8 m3.
Height is 5 times the breadth and Length is 8 times the height.
Let breadth = x
∴ Height = 5x
⇒ Length = 8 × (5x) = 40x
Volume of a Cuboid is given by: l × b × h (here l, b, h are, length, breadth, height respectively)
∴ l × b × h = 12.8
⇒ x × 5x × 40x = 12.8
⇒ 200x3 = 12.8
⇒ x3 = 12.8/200 m3 = 8/125
⇒ x= ∛8/125 m = 2/5 m = 0.4 m
∴ x = 0.4m = 0.4 × 100 = 40cm
That is Breadth is: 40cm
Report a problem
Question for RS Aggarwal Solutions: Volume and Surface Area of Solids- 5
Try yourself:If the areas of three adjacent faces of a cuboid are x, y, z respectively then the volume of the cuboid is
Explanation
Given: areas of three adjacent faces of a cuboid are x, y, z respectively.
Let l, b, h be the length , breadth, height of the cuboid respectively.
∴ l × b = x – 1
b × h = y – 2
h × l = z – 3
Volume of the cuboid is: l × b × h
multiply eq’s –1, –2, –3
That is ,
l × b × b × h × l × h = x × y × z l2 × b2 × h2
⇒ l2 × b2 × h2 = xyz
⇒ (l × b × h)2 = xyz
⇒ (V)2 = xyz (∵Volume of the cuboid is: l × b × h)
⇒ V = √xyz
∴ V = √xys
That is volume of the given Cuboid is : √xyz
Report a problem
Question for RS Aggarwal Solutions: Volume and Surface Area of Solids- 5
Try yourself:The sum of length, breadth and height of a cuboid is 19 cm and its diagonal is 5 √ 5 cm. Its surface area is
Explanation
Given: Sum of length, breadth and height of a cuboid is 19 cm.
Length of diagonal is 5 √ 5 cm.
Let l, b, h be the length , breadth, height of the cuboid respectively.
∴ l + b + h = 19cm – 1
Length of a diagonal in a cuboid is given by : √(l2 + b2 + h2)
∴ √(l2 + b2 + h2) = 5√5 cm ⇒ (l2 + b2 + h2) = (5√5)2 = 125 cm2 – 2
Surface area of Cuboid is: 2(lb + bh + hl)
On squaring eq – 1 on both sides
We get
(l + b + h)2 = 192
⇒ l2 + b2 + h2 + 2(lb + bh + hl) = 361 cm2
⇒ 125+ 2(lb + bh + hl) = 361 ( from eq – 2)
⇒ 2(lb + bh + hl) = 361 – 125 = 236 cm2
∴ 2(lb + bh + hl) = 236 cm2
That is, Surface area of the given Cuboid is 236cm2.
Report a problem
Question for RS Aggarwal Solutions: Volume and Surface Area of Solids- 5
Try yourself:If each edge of a cube is increased by 50%, the percentage increase in the surface area is
Explanation
Given: Edge of a cube is increased by 50%
Let ‘a’ be the Edge of the cube
Area of the cube is : 6l2 (where ‘l’ is the edge of a cube)
Let A1 be the initial surface area of the cube.
∴ A1 = 6a2
Now,
50% of the edge is: a × 50/100 = a/2
∴ Edge = a + a/2 after increasing edge by 50%
That is edge of the cube after increasing it by 50% is 3a/2
Let A2 be the surface area of the cube after increasing the edge by 50%
∴ A2= 6 × (3a/2)2 = 9/4 × 6a2
Here increase in area = A2 –A1
⇒ increase in area = 9/4 × 6a2 – 6a2 = 5/4 × 6a2
Now, increase in percentage is:
Increase in % =
× 100 = 125%
∴ If each edge of a cube is increased by 50%, then the percentage increase in the surface area is 125%.
Report a problem
Question for RS Aggarwal Solutions: Volume and Surface Area of Solids- 5
Try yourself:How many bags of grain can be stored in a cuboidal granary (8 m × 6 m × 3 m), if each bag occupies a space of 0.64 m3?
Explanation
Given: cuboidal granary with dimensions (8 m × 6 m × 3 m)
Volume of the bag : 0.64 m3
Volume of a Cuboid is given by: l × b × h (here l, b, h are length, breadth, height of the Cuboid respectively)
Let ‘V’ be the Volume of the Cuboidal granary.
∴ V = l × b × h = 8 × 6 × 3 = 144
Let ‘n’ be the number of bags that can fit in cuboidal granary.
∴ n × 0.64 = 144
⇒ n = 144/0.64 = 225
∴ n = 225
That is a total of 225 bags, each of volume 0.64 m3 can fit in Cuboidal granary.
Report a problem
Question for RS Aggarwal Solutions: Volume and Surface Area of Solids- 5
Try yourself:A cube of side 6 cm is cut into a number of cubes each of side 2 cm. The number of cubes formed is
Explanation
Given: A cube of side 6 cm.
It is cut into a number of cubes each of side 2 cm.
Volume of a cube is given by: a3 (here ‘a’ is the side of a cube).
Let V1 be the volume of a cube with side 6cm
∴ V1 = a3
⇒ V1 = 63 = 216 cm3
Let V2 be the volume of a cube with side 2cm
∴ V1 = a3
⇒ V1 = 23 = 8 cm3
Let ‘n’ be the number of cubes of side 2cm which are cut from cube of side 6cm.
∴ n × V2 = v1
⇒ n × 8 = 216
⇒ n = 216/8 = 27
∴ Total of 27 cubes each of side 2cm can be cut from a cube of side 6cm.
Report a problem
Question for RS Aggarwal Solutions: Volume and Surface Area of Solids- 5
Try yourself:In a shower, 5 cm of rain falls. The volume of the water that falls on 2 hectares of ground, is
Explanation
Given: 5 cm of rain falls.
2 hectares of ground.
2 hectares = 20000 m3 (∵ 1 hectares = 10000 m3)
∴ Area of land which is filled with rain upto 5cm high is 20000 m3
Let V be the volume of the water on the land.
The volume of the water on the land is: area(of land) × height of the water on the land.
∴ V = Area(of land) × height
⇒ V = 20000 × 5/100 (∵ 1cm = 1/100 m )
⇒ V = 1000 m3
∴ The volume of the water that falls on 2 hectares of ground, is: 1000m3
Report a problem
[Question: 772494
Question for RS Aggarwal Solutions: Volume and Surface Area of Solids- 5
Try yourself:In a shower, 5 cm of rain falls. The volume of the water that falls on 2 hectares of ground, is
Explanation
Given: 5 cm of rain falls.
2 hectares of ground.
2 hectares = 20000 m3 (∵ 1 hectares = 10000 m3)
∴ Area of land which is filled with rain upto 5cm high is 20000 m3
Let V be the volume of the water on the land.
The volume of the water on the land is: area(of land) × height of the water on the land.
∴ V = Area(of land) × height
⇒ V = 20000 × 5/100 (∵ 1cm = 1/100 m )
⇒ V = 1000 m3
∴ The volume of the water that falls on 2 hectares of ground, is: 1000m3
Report a problem
Question for RS Aggarwal Solutions: Volume and Surface Area of Solids- 5
Try yourself:Two cubes have their volumes in the ratio 1:27. The ratio of their surface areas is
Explanation
Given: Volumes of the cubes are in the ratio 1:27.
Volume of a cube is given by: a3 ( here ‘a’ is the side of the cube).
Surface are of a cube is given by: a2 ( here ‘a’ is the side of the cube).
Let a1, a2 be the side of first cube and second cube respectively.
∴ (a1)3: (a2)3 = 1:27
⇒ a1: a2 = ∛1 : ∛27
⇒ a1: a2 = 1 : 3
⇒ (a1)2: (a2)2 = 12: 32
⇒ (a1)2: (a2)2 = 1 : 9
∴ Ratio of the surface areas of the given cubes is 1:9.
Report a problem
Question for RS Aggarwal Solutions: Volume and Surface Area of Solids- 5
Try yourself:The diameter of the base of a cylinder is 4 cm and its height is 14 cm. The volume of the cylinder is
Explanation
Given: Diameter of the base of a cylinder is 4 cm.
Its height is 14 cm.
Volume of the Cylinder is given by: πr2h. (here r and h are radius and diameter respectively)
Let V be the volume of the cylinder.
∴ V = πr2h
⇒ V = π × (4/2)2 × 14 (∵ 4 is the diameter and 4/2is the radius)
⇒ V = π × (2)2 × 14 = π × 4 × 14
⇒ V = 176 cm3
∴ The volume of the cylinder is 176 cm3
Report a problem
Question for RS Aggarwal Solutions: Volume and Surface Area of Solids- 5
Try yourself:The diameter of a cylinder is 28 cm and its height is 20 cm. The total surface area of the cylinder is
Explanation
Given: Diameter of the base of a cylinder is 28 cm.
Its height is 20 cm.
Volume of the Cylinder is given by: 2πr(r + h). (here r and h are radius and diameter respectively)
Let S be the Surface area of the cylinder.
∴ V = 2πr(r + h)
⇒ S = 2 × π × (28/2) × [(28/2) + 20] (∵ 28 is the diameter and 28/2is the radius)
⇒ V = 2 × π × 14 × (14 + 20) = 2 × π × 14 × 24
⇒ V = 2992 cm2
∴ The Surface area of the cylinder is 2992 cm2
Report a problem
Question for RS Aggarwal Solutions: Volume and Surface Area of Solids- 5
Try yourself:The curved surface area of a cylinder is 1760 cm2 and its base radius is 14 cm. The height of the cylinder is
Explanation
Given: The radius of a cylinder is 14 cm.
Its curved surface area is 1760 cm2.
Curved surface area of a Cylinder is : 2πrh (here r and h are radius and height respectively)
∴ 2πrh = 1760
⇒ 2 × π × 14 × h = 1760

∴ h = 20cm
That is height of the given Cylinder is 20cm.
Report a problem
Question for RS Aggarwal Solutions: Volume and Surface Area of Solids- 5
Try yourself:The ratio of the total surface area to the lateral surface area of a cylinder with base radius 80 cm and height 20 cm is
Explanation
Given: Radius and height of the Cylinder are 80cm and 20cm respectively.
Lateral Surface area of a Cylinder is : 2πrh
Let S1 be the Lateral surface area of the Cylinder
∴ S1 = 2πrh
⇒ S1 = 2 × π × 80 × 20 = 3200π
Total Surface area of a Cylinder is : 2πr(r + h)
Let S2 be the Total surface area of the Cylinder
∴ S2 = 2πr(r + h)
⇒ S2 = 2 × π × 80 × (80 + 20) = 16000π
Ratio of Total surface area to Lateral surface area id S2 : S1
∴ S2 : S1 = 16000π : 3200π
⇒ S2 : S1 = 5:1
∴ The ratio of the total surface area to the lateral surface area of a cylinder is 5:1
Report a problem
Question for RS Aggarwal Solutions: Volume and Surface Area of Solids- 5
Try yourself:The curved surface area of a cylindrical pillar is 264 m2 and its volume is 924 m3. The height of the pillar is
Explanation
Given: CSA of a cylindrical pillar is 264 m2
Volume of cylindrical pillar id 924 m3
CSA of a cylinder is : 2πrh (here r and h are radius and height respectively)
∴ 2πrh = 264 …. 1
Volume of the Cylinder is : πr2h (here r and h are radius and height respectively)
∴ πr2h = 924 …. 2
Divide eq –2 by eq –1
We get,


∴ r = 7
Substitute ‘r’ in eq –1
∴ 2 × π × 7 × h = 264
⇒ 2 × (22/7) × 7 × h = 264
⇒ 44 × h=264
⇒ h = 264/44 = 6 cm
∴ height of the cylindrical pillar is 6 cm
Report a problem
Question for RS Aggarwal Solutions: Volume and Surface Area of Solids- 5
Try yourself:The ratio between the radius of the base and the height of the cylinder is 2: 3. If its volume is 1617 cm3, the total surface area of the cylinder is
Explanation
Given: The ratio between the radius of the base and the height of the cylinder is 2: 3.
Volume of the Cylinder is 1617cm3
Let 2x and 3x be radius and height of the Cylinder respectively.
Volume of the Cylinder is given as: πr2h
∴ πr2h = 1617
⇒ π × (2x)2 × (3x) = 1617
⇒ 12π × x3 = 1617


∴ r = 2 × (7/2) = 7cm
and, h = 3 × (7/2) = 10.5 cm
Total surface area of a cylinder is: 2πrh(r + h)
Let S be the TSA of a cylinder
∴ S = 2πrh(r + h)
⇒ S = 2 × π × (7) × (7 + 10.5) = 2 × π × (7) × 17.5 = 770
∴ S = 770cm2
That is, Total surface area of the cylinder is 770 cm2
Report a problem
Question for RS Aggarwal Solutions: Volume and Surface Area of Solids- 5
Try yourself:The radii of two cylinders are in the ratio 2:3 and their height in the ratio 5 : 3. The ratio of their volume is
Explanation
Given: The radii of two cylinders are in the ratio 2:3.
Heights of the cylinders are in the ratio 5:3.
Volume of cylinder is: πr2h (here r and h are radius and height of the cylinder respectively)
Let V1 be the volume of first cylinder
∴ V1 = π(r1)2h1
Let V2 be the volume of second cylinder
∴ V2 = π(r2)2h2
∴ V1 : V2 = π(r1)2h1 : π(r2)2h2
⇒ V1 : V2 = π × (2)2 × 5 : π × (3)2 × 3
⇒ V1 : V2 = 20π : 27π = 20:27
∴ V1 : V2 = 20:27
That is the ratio of their volume is 20:27.
Report a problem
Question for RS Aggarwal Solutions: Volume and Surface Area of Solids- 5
Try yourself:Two circular cylinder of equal volume have their height in the ratio 1: 2. The ratio of their radii is
Explanation
Given: Two cylinders of equal volume.
Heights of the cylinders are in the ratio 1:2
Volume of cylinder is: πr2h (here r and h are radius and height of the cylinder respectively)
Let V1 be the volume of first cylinder
∴ V1 = π(r1)2h1
Let V2 be the volume of second cylinder
∴ V2 = π(r2)2h2
Here,
V1=V2
⇒ π(r1)2h1 = π(r2)2h2
⇒ (r1)2h1 = (r2)2h2
⇒ (r1)2 : (r2)2 = h2 : h1
⇒ (r1)2 : (r2)2 = 2 : 1
⇒ r1 : r2= √2 :1
∴ ratio of the radii of given cylinders is √2 :1
Report a problem
Question for RS Aggarwal Solutions: Volume and Surface Area of Solids- 5
Try yourself:The radius of the base of a cone is 5 cm and its height is 12 cm. Its curved surface area is
Explanation
Given: The height of the cone is 12 cm.
The radius of the cone is 5 cm.
Curved surface area of a cone is : πrl (here r and l are radius and slant height respectively)
l = √(r2 + h2)
∴ πrl = πr√(r2 + h2)
Let S be the CSA of the cone.
∴ S = πr√(r2 + h2)
⇒ S = π × (5) × √((5)2 + (12)2)
⇒ S = π × (5) × √(25 + 144) = π × (5) × √(169)
⇒ S = π × (5) × 13 = 65π
∴ S = 65π cm2
That is CSA of the cone is 65π cm2
Report a problem
Question for RS Aggarwal Solutions: Volume and Surface Area of Solids- 5
Try yourself:The diameter of the base of a cone is 42 cm and its volume is 12936 cm3. Its height is
Explanation
Given: Diameter of the base of a cone is 42 cm.
Volume of the cone is 12936 cm3.
Volume of the cone is given by: (1/3) × π × r2 × h
∴ (1/3) × π × r2 × h = 12936
⇒ (1/3) × π × (42/2)2 × h = 12936 (here diameter = 42cm, ∴ r = (42/2) = 21)
⇒ (1/3) × π × (21)2 × h = 12936

∴ Height of the given cone is 28cm
Report a problem
Question for RS Aggarwal Solutions: Volume and Surface Area of Solids- 5
Try yourself:The area of the base of a right circular cone is 154 cm2 and its height is 14cm. Its curved surface area is
Explanation
Given: Area of the base of a right circular cone is 154 cm2.
Height of the cone is 14 cm.
Curved surface area of a cone is : πrl (here r and l are radius and slant height respectively)
Area of the base is given by: πr2
∴ π × r2 = 154
⇒ r2 = 154/π = 49
⇒ r = √49 = 7cm
∴ radius of the base of the cone is 7cm
Now,
l = √(r2 + h2)
∴ πrl = πr√(r2 + h2)
Let S be the CSA of the cone.
∴ S = πr√(r2 + h2)
⇒ S = π × (7) × √((7)2 + (14)2)
⇒ S = π × (7) × √(49 + 196) = π × (7) × √(245)
⇒ S = π × (7) × 7√5 = (22/7) × 7 × 7√5 = 154√5
∴ S = 154√5 cm2
That is CSA of the cone is 154√5 cm2
Report a problem
Question for RS Aggarwal Solutions: Volume and Surface Area of Solids- 5
Try yourself:On increasing each of the radius of the base and the height of a cone by 20% its volume will be increased by
Explanation
Given: Radius of the base and the height of a cone is increased by 20%
The volume of the cone is : 1/3πr2h
New radius = r + 20/100r = 120/100r = 6/5r
Similarly, new radius = 6/5h
New Volume = 1/3 × π × (6/5r)2 × (6/5h) = 216/125 × 1/3πr2h
Increase in volume = 216/125 × 1/3πr2h – 1/3πr2h =91/125 × 1/3πr2h
∴ Increase in % = 
∴ Volume will be increased by 72.8%
Report a problem
Question for RS Aggarwal Solutions: Volume and Surface Area of Solids- 5
Try yourself:The radii of the base of a cylinder and a cone are in the ratio 3:4. If they have their height in the ratio 2:3, the ratio between their volumes is:
Explanation
Given: The radii of the base of a cylinder and a cone are in the ratio 3:4.
Heights of the base of a cylinder and a cone are in the ratio 2:3.
Volume of cylinder is: πr2h (here r and h are radius and height of the cylinder respectively)
Volume of cylinder is: πr2h
Let V1 be the volume of first cylinder
∴ V1 = π(r1)2h1
Let V2 be the volume of the cone.
∴ V2 = 1/3π(r2)2h2
∴ V1 : V2 = π(r1)2h1 :1/3 π(r2)2h2
⇒ V1 : V2 = π × (3)2 × 2 :1/3 × π × (4)2 × 3
⇒ V1 : V2 = 18π : 1/3 × 48π = 18:16 = 9:8
∴ V1 : V2 = 9:8
That is the ratio of their volume is 9:8.
Report a problem
Question for RS Aggarwal Solutions: Volume and Surface Area of Solids- 5
Try yourself:A metallic Cylinder of radius 8cm and height 2cm is melted and converted into a right circular cone of height 6cm. The radius of the base of the cone is
Explanation
Given: A metallic Cylinder of radius 8cm and height 2cm
Right circular cone of height 6cm
Volume of a cylinder is given by: π × r2 × h
Volume of a cone is given by: 1/3 × π × r2 × h
Let V1 be the volume of the Cylinder
∴ V1 = π × r2 × h
⇒ V1 = π × (8)2 × (2) = 128π
Let V2 be the volume of the cone
∴ V2 = 1/3 × π × r2 × h
⇒ V2 = 1/3 × π × (r)2 × (6) = 2πr2
Here, Solid Cylinder is melted and made into a Solid cone.
∴ V1 = V2
⇒ 128π = 2πr2
⇒ 2πr2 = 128π
⇒ r2 = 128π/2π = 64
⇒ r2 = 64
⇒ r = √64 = 8cm
∴ Radius of the base of the cone is 8cm.
Report a problem
Question for RS Aggarwal Solutions: Volume and Surface Area of Solids- 5
Try yourself:The height of the conical tent is 14m and its floor area is 346.5m2. How much canvas, 1.1m wide, will be required for it
Explanation
Given: The height of the conical tent is 14m and its floor area is 346.5m2.
Canvas of width 1.1m
Surface area of the tent is: πrl
Let be the Surface area of the cone.
Area of the floor is : πr2= 346.5 m2
⇒ πr2= 346.5
⇒ r2 = 346.5/π = 441/4
⇒ r = √(441/4 ) = 21/2
⇒ l = √(h2 + r2) (here l is the slant height and h , r are height and radius respectively of cone)
⇒ l = √(142 + (21/2)2) = √(196 + (441/4)) = √1225/4 = 35/2
∴ S = πrl = π ×(21/2 x 35/2) = (33x35)/2
∴ Area of the canvas required to cover the tent is: (33 x 35)/2 m2
∴ l × b = (33 x 35)/2 m2 (here l is length and b is breadth or width of the canvas)
⇒ l × 1.1 = (33 x 35)/2 ( width of the canvas is 1.1m)
⇒ l = (33 x 35)/(2 x 1.1) = 525m
∴ Length of the canvas required to cover the tent is 525m
Report a problem
Question for RS Aggarwal Solutions: Volume and Surface Area of Solids- 5
Try yourself:The diameter of a sphere is 14cm. Its Volume is
Explanation
Given: Diameter of the sphere is 14cm
Radius of the sphere is 14/2 = 7cm
Volume of the Sphere is given by: 4/3πr3 (here r is the radius of the sphere)
Let V be the volume of the sphere)
∴ V = 4/3πr3
⇒ V = 4/3π(7)3 = (4/3) x (22/7) × 343
⇒ V = (4/3) × 22 × 49 = 4312/3 = 1437(1/3)
∴ Volume of the sphere is 1437(1/3)
Report a problem
Question for RS Aggarwal Solutions: Volume and Surface Area of Solids- 5
Try yourself:The ratio between the volumes of two spheres is 8:27. What is the ratio between the surface areas?
Explanation
Given: Volumes of the spheres are in the ratio 8:27.
Volume of a sphere is given by: 4/3πr3 (here ‘r’ is the radius of the sphere).
Surface are of a sphere is given by: 4πr2 (here ‘r’ is the radius of the sphere).
Let r1, r2 be the radii of first sphere and second sphere respectively.
∴ 4/3π(r1)3: 4/3π(r2)3 = 2:27
⇒ (r1)3: (r2)3 = 8 : 27
⇒ r1: r2 = ∛8 : ∛27
⇒ (r1): (r2) = 2: 3
Now , here
4π(r1)2: 4π(r2)2 = (r1)2 : (r1)2
⇒ (r1)2 : (r1)2 = (2)2 : (3)2 = 4:9
∴ Ratio of the surface areas of the given spheres is 4:9.
Report a problem
Question for RS Aggarwal Solutions: Volume and Surface Area of Solids- 5
Try yourself:A hollow metallic Sphere with external diameter8cm and internal diameter 4cm is melted and moulded into a cone having base diameter 8cm. The height of the cone is
Explanation
Given: A hollow metallic Sphere with external diameter8cm and internal diameter 4cm
A cone having base diameter 8cm
Radius of the cone is: 8/2 = 4cm
External Radius of the sphere is 8/2 = 4cm
Internal Radius of the sphere is 4/2 = 2cm
Volume of a Hollow Sphere is given by: 4/3π((r1)3 – (r2)3) (here r1 and r2 are External and internal radii of the hollow sphere respectively)
Let V1 be the Volume of the Hollow sphere.
∴ V1 = 4/3π((r1)3 – (r2)3)
⇒ V1 = 4/3π((4)3 – (2)3) = 4/3π(64 – 8) = 4/3π(56)
Volume of the cone is given by 1/3 × π × r2 × h
Let V2 be the volume of the cone
∴ V2 = 1/3 × π × r2 × h
⇒ V2 = 1/3 × π × (4)2 × h
Here, Hollow sphere is melted and moulded into a cone.
∴ V1 = V2
⇒ 4/3π(56) = 1/3 × π × (8)2 × h
⇒ 1/3 × π × 16 × h = 4/3 × π × (56)

∴ Height of the cone is 14cm
Report a problem
Question for RS Aggarwal Solutions: Volume and Surface Area of Solids- 5
Try yourself:A metallic cone having base radius 2.1 cm and height 8.4 cm is melted and moulded into a sphere. The radius of the sphere is
Explanation
Given: A metallic cone having base radius 2.1 cm and height 8.4 cm
Volume of a cone is given by: 1/3 × π × r2 × h
Let V1 be the volume of the cone
∴ V1 = 1/3 × π × r2 × h
⇒ V1 = 1/3 × π × (2.1)2 × (8.4)
Volume of a sphere is given by: 4/3 × π × r3
Let V2 be the volume of the cone
∴ V1 = 4/3 × π × r3
Here,
V1 = V2
∴ 1/3 × π × (2.1)2 × (8.4) = 4/3 × π × r3
⇒ r3 = 1/3 × π × (2.1)2 × (8.4) × 3/4π = (2.1)3
⇒ r3 = (2.1)3
⇒ r = ∛(2.1)3 = 2.1 cm
∴ Radius of the sphere is 2.1 cm
Report a problem
Question for RS Aggarwal Solutions: Volume and Surface Area of Solids- 5
Try yourself:The volume of a hemisphere is 19404 cm3. The total surface area of the hemisphere is
Explanation
Given: The volume of a hemisphere is 19404 cm3.
Volume of the hemisphere is given by: 2/3 × π × r3
∴ 2/3 × π × r3 = 19404
⇒ r3 = 19404 × 3/2π = 9261
⇒ r3 = 9261 ⇒ r = ∛9261
⇒ r = 21
Now, Total surface area of hemisphere is given by: 3πr2
Let S be the TSA
∴ S = 3 × π × r2
⇒ S = 3 × π × (21)2 = 4158 cm2
∴ S = 4158 cm2
That is TSA of the given sphere is 4158 cm2
Report a problem
Question for RS Aggarwal Solutions: Volume and Surface Area of Solids- 5
Try yourself:The surface area of a sphere is 154 cm2. The volume of the sphere is
Explanation
Given: The surface area of a sphere is 154 cm2.
TSA of the sphere is given by: 4 × π × r2
∴ 4 × π × r2 = 154
⇒ r2 = 154 × 1/4π = 49/4
⇒ r2 = 49/4 ⇒ r = √49/4
⇒ r = 7/2
Now, Volume of hemisphere is given by: (4/3)πr3
Let V be the Volume of the hemisphere
∴ V = (4/3) × π × r3
⇒ V = (4/3) × π × (7/2)3 = (539/3) cm3 = 179 (2/3)cm3
∴ V = 179 (2/3)cm3
That is Volume of the given sphere is 179 (2/3)cm3
Report a problem
Question for RS Aggarwal Solutions: Volume and Surface Area of Solids- 5
Try yourself:The total surface area of a hemisphere of radius 7 cm is
Explanation
Given: Radius of the hemisphere: 7cm .
TSA of the hemisphere is given by: 3πr2
Let S be the TSA of the hemisphere.
∴ S = 3πr2
⇒ S = 3 × π × (7)2 = 147π cm2
∴ TSA of the hemisphere is 147π cm2
Report a problem
Question for RS Aggarwal Solutions: Volume and Surface Area of Solids- 5
Try yourself:The circular ends of a bucket are of radii 35 cm and 14 cm and the height of the bucket is 40 cm. Its volume is
Explanation
Given: The circular ends of a bucket are of radii 35 cm and 14 cm and the height of the bucket is 40 cm.
Bucket is in the shape of frustum.
Let V be the Volume of the Bucket(Frustum)
Volume of the frustum is given by: (π/3) × h × (R2 + r2 + Rr) (here r and R are the radii of smaller and larger circular ends respectively)
∴ V = (π/3) × h × (R2 + r2 + R × r)
⇒ V = (π/3) × 40 × (352 + 142 + 35 × 14)
⇒ V = (π/3) × 40 × (1225 + 196 + 490) = (π/3) × 40 × (1911)
⇒ V = (π/3) × 40 × (1911) = 80080 cm3
∴ The volume of the bucket is: 80080 cm3
Report a problem
Question for RS Aggarwal Solutions: Volume and Surface Area of Solids- 5
Try yourself:If the radii of the end of a bucket are 5 cm and 15 cm and it is 24 cm high then its surface area is (use π = 3.14)
Explanation
Given: The radii of the end of a bucket are 5 cm and 15 cm and it is 24 cm high
Bucket is in the shape of frustum.
TSA of a frustum of a cone = πl(r1 + r2) + πr12 + πr22 (here l , r1, r2 are the slant height, radii of the frustum)
Let S be the TSA of the bucket
∴ S = πl(r1 + r2) + π(r2)2 (here , top of the bucket is not closed but bottom is closed, ∴ π(r2)2 = 0 )
l = √(h2 + (R-r)2)
⇒ S = π × √(h2 + (R-r)2) × (r1 + r2) + π(r2)2
⇒ S = π × √(242 + (15-5)2) × (5 + 15) + π × (5)2
⇒ S = π × √(576 + 100) × (20) + π × 25
⇒ S = π × √(676) × (20) + π × 25
⇒ S = π × 26 × (20) + π × 25
⇒ S = π × 520 + π × 25
⇒ S = π × (520 + 25)
⇒ S= 3.14 × 545 = 1711.3 cm2
∴ The surface area of the bucket is 1711.3 cm2
Report a problem
Question for RS Aggarwal Solutions: Volume and Surface Area of Solids- 5
Try yourself:A circus tent is cylindrical to a height of 4 m and conical above it. If its diameter is 105 m and its slant height is 40 m, the total area of canvas required is
Explanation
Given: A circus tent is cylindrical to a height of 4 m and conical above it.
Its diameter is 105 m and its slant height is 40 m.
CSA of the Cylinder is given by: 2πrh (here, r and h are radius and height respectively)
Let V1 be the CSA of the cylindrical part of tent
∴ V1 = 2πrh
⇒ V1 = 2 × π × (105/2) × 4 = 1320cm2 (here diameter is 105 cm, ∴ radius = (105/2) cm)
CSA of the cone is given by: πrl (here, r and l are radius and slant height respectively)
Let V2 be the CSA of the conical part of tent
∴ V2 = πrl
⇒ V2 = π × (105/2) × 40 = 6600 cm2 (here diameter is 105 cm, ∴ radius = (105/2) cm)
∴ Total area of the canvas is V1 + V2
∴ V1 + V2 = 1320 + 6600 = 7920cm2
∴ Total area of the canvas is: 7920 cm2
Report a problem
Question for RS Aggarwal Solutions: Volume and Surface Area of Solids- 5
Try yourself:Each question consists of two statements, namely, Assertion (A) and Reason (R). For selecting the correct answer, use the following code:
Assertion (A): If the radii of the circular ends of a bucket 24 cm high are 15 cm and 5 cm respectively, then the surface area of the bucket is 545 π cm2.
Reason (R): If the radii of the circular ends of the frustum of a cone are R and r respectively and its height is h, then its surface area is π {R2 + r2 + l(R - r)},where l2 = h2 + (R –r)2.
Explanation
Assertion is wrong and Reason is Wrong.
Assertion (A):
Given: The radii of the end of a bucket are 5 cm and 15 cm and it is 24 cm high
Bucket is in the shape of frustum.
TSA of a frustum of a cone = πl(r1 + r2) + πr12 + πr22 (here l , r1, r2 are the slant height, radii of the frustum)
Let S be the TSA of the bucket
∴ S = πl(r1 + r2) + π(r2)2 (here , top of the bucket is not closed but bottom is closed, ∴ π(r2)2 = 0 )
l = √(h2 + (R-r)2)
⇒ S = π × √(h2 + (R-r)2) × (r1 + r2) + π(r2)2
⇒ S = π × √(242 + (15-5)2) × (5 + 15) + π × (5)2
⇒ S = π × √(576 + 100) × (20) + π × 25
⇒ S = π × √(676) × (20) + π × 25
⇒ S = π × 26 × (20) + π × 25
⇒ S = π × 520 + π × 25
⇒ S = π × (520 + 25)
⇒ S= 3.14 × 545 = 1711.3 cm2
∴ The surface area of the bucket is 1711.3 cm2
Reason(R):
Here,
Surface area is π {R2 + r2 + l(R + r)},where l2 = h2 + (R –r)2.
Assertion is wrong and Reason is Wrong.
Report a problem
Question for RS Aggarwal Solutions: Volume and Surface Area of Solids- 5
Try yourself:Each question consists of two statements, namely, Assertion (A) and Reason (R). For selecting the correct answer, use the following code:
Assertion (A): A hemisphere of radius 7 cm is to be painted outside on the surface. The total cost of painting at Rs 5 per cm2 is Rs 2300.
Reason (R): The total surface area of a hemisphere is 3πr2.
Explanation
Assertion is wrong and Reason is correct.
Assertion (A):
Given: A hemisphere of radius 7 cm.
Total surface area of the hemisphere is: 3πr2
Let S be the TSA of the hemisphere.
∴ S = 3πr2 = 3π(7)2
∴ S = 462cm2
The total cost to pain it: 462 × 5 = Rs 2310
Reason(R):
The total surface area of a hemisphere is 3πr2.
∴ Assertion is wrong and Reason is correct.
Report a problem
Question for RS Aggarwal Solutions: Volume and Surface Area of Solids- 5
Try yourself:Each question consists of two statements, namely, Assertion (A) and Reason (R). For selecting the correct answer, use the following code:
Assertion (A): The number of coins 1.75 cm in diameter and 2 mm thick from a melted cuboid (10 cm × 5.5 cm × 3.5 cm) is 400.
Reason (R): Volume of a cylinder of base radius r and height h is given by V= (πr2h) cubic units. And, area of a cuboid = (l × b × h) cubic units.
Explanation
Assertion is correct and Reason is correct explanation of the given assertion.
Assertion (A):
Given: A coin which is 1.75 cm in diameter and 2 mm thick.
A cuboid with dimensions (10cm × 5.5cm × 3.5cm)
A coin is in the form of a cylinder.
Volume of the Cylinder is given by: πr2h
Let V1 be the volume of the coin.
∴ V1 = πr2h
⇒ V1 = π × (1.75/2)2 × (2/10) (here, 1.75 is the diameter,∴ radius = 1.75/2 , and 1mm = 1/10 cm)
⇒ V1 = π × (0.875)2 × 0.2 = 77/160 cm2
Volume of a cuboid is given by: l × b × h
Let V2 be the volume of the of the cuboid.
∴ V2 = l × b × h
⇒ V2 = 10 × 5.5 × 3.5 = 192.5 cm2
Let ‘n’ be the number of coin melted .
∴ n × V1 = V2
⇒ n × (77/160) = 192.5
⇒ n = 192.5 × (160/77) = 400
∴ n = 400
That is 400 coin when melted can be moulded into a cuboid of given dimensions.
Reason(R):
Volume of a cylinder of base radius r and height h is given by V= (πr2h) cubic units. And, area of a cuboid = (l × b × h) cubic units.
∴ Assertion is correct and Reason is correct explanation of the given assertion.
Report a problem
Question for RS Aggarwal Solutions: Volume and Surface Area of Solids- 5
Try yourself:Each question consists of two statements, namely, Assertion (A) and Reason (R). For selecting the correct answer, use the following code:
Assertion (A): If the volumes of two sphere are in the ratio 27:8 then their surface areas are in the ratio 3:2
Reason (R): Volume of a sphere = (4/5)πr3.
Surface area of a sphere = 4πR2.
Explanation
Assertion is wrong and Reason is Wrong.
Assertion (A):
Given: volumes of two sphere are in the ratio 27:8.
Volume of the sphere is given by: 4/3 πr3
Let V1 be the volume of the first sphere.
Let V2 be the volume of the first sphere.
∴ V1:V2 = 4/3 π(r1)3 : 4/3 π(r2)3
⇒ 27:8 = (r1)3 : (r2)3
⇒ r1 : r2 = 3:2
Surface area of the sphere is given by: 4πr2
Let S1 be the Surface area of the sphere.
Let S2 be the Surface area of the sphere.
∴ S1 : S2 = 4π(r1)2:4π(r2)2
⇒ S1 : S2 = (r1)2: (r2)2
⇒S1 : S2 = (3)2: (2)2
⇒S1 : S2 = 9:4
Reason(R):
Volume of a sphere = 4/3 πr3.
Surface area of a sphere = 4πR2.
Assertion is wrong and Reason is Wrong.
Report a problem
Question for RS Aggarwal Solutions: Volume and Surface Area of Solids- 5
Try yourself:Each question consists of two statements, namely, Assertion (A) and Reason (R). For selecting the correct answer, use the following code:
Assertion (A): The curved surface area of a cone of base radius 3 cm and height 4 cm is (15π) cm2.
Reason (R): Volume of a cone = πr2h.
Explanation
Assertion is correct and Reason is Wrong.
Assertion (A):
Given: A cone of radius 3cm and height 4cm.
CSA of the cone is given by: πrl (here r is radius and l is slant height)
l = √(h2 + r2)
Let S be the CSA of the cone
∴ S = πrl = π × r × √(h2 + r2)
⇒ S = π × 4 × √(42 + 32) = π × 3 × √(16 + 9) = π × 3 × √(25) = π × 3 × 5 = 15π
∴ S =15π
Reason (R):
Volume of a cone is : 1/3 πr2h
∴ Assertion is correct and Reason is Wrong.
Report a problem