| Table of contents |
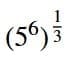
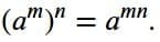
The number 125 can be expressed as a power of five: 5 3Substitute the base into the expression to get
which simplifies to
using the exponent rule
The cube root operation is the same as raising to the power of 1/3 . The expression becomes. Applying the exponent rule again gives
Q2: Which of these is a perfect cube
(a) 216
(b) 392
(c) 8640
(d) 243
Ans: (a)
Q3: Which of these is not a perfect cube
(a) 729
(b) 2197
(c) -1331
(d) 169
Ans: (d)
169= 13×13
Q4: 3√.027 is
(a) .3
(b) .03
(c) .94
(d) .33
Ans: (a)
Q5: 3√216×-27 is
(a)12
(b)-18
(c)21
(d)36
Ans: (b)
Q6: If m is the cube root of n, then n is
(a)3√m
(b) 3m
(c) m/3
(d) m3
Ans: (d)
Q7: The one’s digit of the cube of 53 is:
(a) 9
(b) 3
(c) 7
(d) 1
Ans: (c)
Q8: The volume of the cube is 5832m3 , the side is
(a) 18m
(b) 16 m
(c) 28 m
(d) 19m
Ans: (a)
Q9:
(a) 22/33
(b) 58/33
(c) 11/16
(d) 11/3
Ans: (b)
Q10: Which of the following expressions is not a perfect cube
(a) 27 x 125 x 64
(b) 1331 x 125 x 8
(c) 15 x 8 x 25 x 9
(d) None of these
Ans: (d)
A perfect cube is a number that can be expressed as the cube of an integer. Since all integers in options a, b,and c can be expressed as a cube of integers. Therefore, None of these is the answer.
Q11: The surface area of a cube whose volume is 8m3
(a) 32m2
(b) 24m2
(c) 12m2
(d) None of these
Ans: (b)
a3=8
=> a=2
Surface area=6a2=24
Q12: A cuboid of dimensions 16m, 4m, 125m has been melted to form a cube. Find the side of the cube
(a) 20m
(b) 1616m
(c) 55m
(d) None of these
Ans: (a)
lbh=16×4×125 = 8000
a3=8000=>a=20m
Q2: 999 is a perfect cube.
Ans: False
Q3: The square of a number is positive, so the cube of that number will also be positive.
Ans: False
Q4: 125×8×27 is a perfect cube.
Ans: True
Q5: For an integer p, p3 is always greater than p2.
Ans: False
Q6: 83 = 5.12
Ans: False
Q1: The least number by which 72 be multiplied to make it a perfect cube is __________.
Ans: 3
Q2: If 8x3=216, then x is ____
Ans: 3
Q3: The cube of .5 is _____
Ans: .125
Q4: There are _________ perfect cubes between 1 and 1000.
Ans: 8
Q5: The digit at the ones place of 233 is ____
Ans: 7
Q6: The cube of the even natural number is ____
Ans: even
Q1: 15625
Ans: 15625=5×5×5×5×5×5
3√15625=25
Q2: 2744
Ans: 2744=23×73
3√2744=2×7=14
Q3: 125/2197
Ans: 125/2197=(5x5x5)/(13×13×13)
3√125/2197=5/13
Q4: 5832
Ans: 5832= 2 x 2 x 2 x 3 x 3 x 3 x 3 x 3 x 3
3√5832=2×3×3=18
Q5: 64000
Ans: 64000 = 4 x 4 x 4 x 10 x 10 x 10
3√64000=4×10=40
Q1: Is 256 a perfect cube? If not, find the smallest number by which it should be divided to get a perfect cube.
Ans: 256=28=23×23×22
Therefore, it is not a perfect cube
So, it must be divided by 4 to become a perfect cube
Q2: if 6n+2=12966, then 3√n+727 is
Ans: 6n+2=1296
6n+2=64
n+2=4 or n=2
Now 3√n+727=3√2+727=3√729=9
Q3: Three numbers are in the ratio 1:2:3 and the sum of their cubes is 4500. Find the numbers.
Ans: Let the number be x,2x,3x
Now
x3+8x3+27x3=4500
36x3=4500
x3=4500/36
x3=125
x=5
So the numbers are 5,10,15
Q4: If 3√157464=54, then find the value
3√157.464+3√.157464+3√.000157464
Ans:
3√157.464+3√.157464+3√.000157464 = 5.4+.54+.054
5.4+.54+.054 = 5.994
112 videos|658 docs|49 tests |
| 1. What is the formula to find the volume of a cube? | ![]() |
| 2. How do you find the cube root of a number? | ![]() |
| 3. What are some real-life applications of cubes and cube roots? | ![]() |
| 4. How do you calculate the cube of a decimal number? | ![]() |
| 5. What is the relationship between squares and cubes? | ![]() |