UPSC Exam  >  UPSC Notes  >  Chemistry Optional Notes for UPSC  >  The Kinetic Molecular Theory of Gases

The Kinetic Molecular Theory of Gases | Chemistry Optional Notes for UPSC PDF Download

Introduction

  • Theoretical models attempting to describe the nature of gases date back to the earliest scientific inquiries into the nature of matter and even earlier! In about 50 BC, Lucretius, a Roman philosopher, proposed that macroscopic bodies were composed of atoms that continually collide with one another and are in constant motion, despite the observable reality that the body itself is as rest. However, Lucretius’ ideas went largely ignored as they deviated from those of Aristotle, whose views were more widely accepted at the time.
  • In 1738, Daniel Bernoulli (Bernoulli, 1738) published a model that contains the basic framework for the modern Kinetic Molecular theory. Rudolf Clausius furthered the model in 1857 by (among other things) introducing the concept of mean free path (Clausius, 1857). These ideas were further developed by Maxwell (Maxwell, Molecules, 1873). But, because atomic theory was not fully embraced in the early 20th century, it was not until Albert Einstein published one of his seminal works describing Brownian motion (Einstein, 1905) in which he modeled matter using a kinetic theory of molecules that the idea of an atomic (or molecular) picture really took hold in the scientific community.

In its modern form, the Kinetic Molecular Theory of gasses is based on five basic postulates.

  • Gas particles obey Newton’s laws of motion and travel in straight lines unless they collide with other particles or the walls of the container.
  • Gas particles are very small compared to the averages of the distances between them.
  • Molecular collisions are perfectly elastic so that kinetic energy is conserved.
  • Gas particles so not interact with other particles except through collisions. There are no attractive or repulsive forces between particles.
  • The average kinetic energy of the particles in a sample of gas is proportional to the temperature.

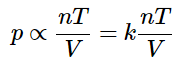
Putting all of these together yields

The Kinetic Molecular Theory of Gases | Chemistry Optional Notes for UPSC

which is exactly the form of the ideal gas law! The remainder of the job is to derive a value for the constant of proportionality ( k) that is consistent with experimental observation.

  • For simplicity, imagine a collection of gas particles in a fixed-volume container with all of the particles traveling at the same velocity. What implications would the kinetic molecular theory have on such a sample? One approach to answering this question is to derive an expression for the pressure of the gas.
  • The pressure is going to be determined by considering the collisions of gas molecules with the wall of the container. Each collision will impart some force. So the greater the number of collisions, the greater the pressure will be. Also, the larger force imparted per collision, the greater the pressure will be. And finally, the larger the area over which collisions are spread, the smaller the pressure will be.

The Kinetic Molecular Theory of Gases | Chemistry Optional Notes for UPSC

Figure  2.3.1: The "collision volume" is the subset of the total volume that contains molecules that will actually collide with area  A in the time interval  Δt.

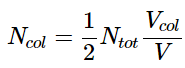
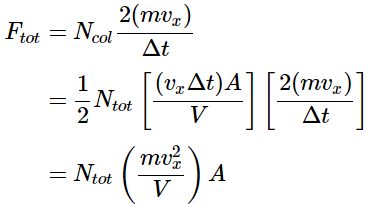
  • First off, the pressure that the gas exerts on the walls of the container would be due entirely to the force imparted each time a molecule collides with the interior surface of the container. This force will be scaled by the number of molecules that hit the area of the wall in a given time. For this reason, it is convenient to define a “collision volume”.
    Vcol = (vx⋅Δt)⋅A
  • where vis the speed the molecules are traveling in the x direction, \(\Delta t\) is the time interval (the product of vx⋅ΔT gives the length to the collision volume box) and A is the area of the wall with which the molecules will collide. Half of the molecules within this volume will collide with the wall since half will be traveling toward it and half will be traveling away from it. The number of molecules in this collision volume will be given by the total number of molecules in the sample and the fraction of the total volume that is the collision volume. And thus, the number of molecules that will collide with the wall is given by
    The Kinetic Molecular Theory of Gases | Chemistry Optional Notes for UPSCAnd thus the number of molecules colliding with the wall will be

The Kinetic Molecular Theory of Gases | Chemistry Optional Notes for UPSC

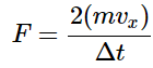
  • The magnitude of that force imparted per collision will be determined by the time-rate of change in momentum of each particle as it hits the surface. It can be calculated by determining the total momentum change and dividing by the total time required for the event. Since each colliding molecule will change its velocity from vx to –vx, the magnitude of the momentum change is 2(mvx). Thus the force imparted per collision is given by
    The Kinetic Molecular Theory of Gases | Chemistry Optional Notes for UPSCand the total force imparted is

The Kinetic Molecular Theory of Gases | Chemistry Optional Notes for UPSC(2.3.1), (2.3.2), (2.3.3)

Since the pressure is given as the total force exerted per unit area, the pressure is given by
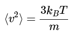
The Kinetic Molecular Theory of Gases | Chemistry Optional Notes for UPSCThe question then becomes how to deal with the velocity term. Initially, it was assumed that all of the molecules had the same velocity, and so the magnitude of the velocity in the x-direction was merely a function of the trajectory. However, real samples of gases comprise molecules with an entire distribution of molecular speeds and trajectories. To deal with this distribution of values, we replace (v2x) with the squared average of velocity in the x direction  ⟨vx2 .
The distribution function for velocities in the x direction, known as the Maxwell-Boltzmann distribution, is given by:
The Kinetic Molecular Theory of Gases | Chemistry Optional Notes for UPSCThis function has two parts: a normalization constant and an exponential term. The normalization constant is derived by noting that
The Kinetic Molecular Theory of Gases | Chemistry Optional Notes for UPSC (2.3.5)

Question for The Kinetic Molecular Theory of Gases
Try yourself:
According to the Kinetic Molecular Theory, what is the relationship between the average kinetic energy of gas particles and the temperature?
View Solution

Normalizing the Maxwell-Boltzmann Distribution

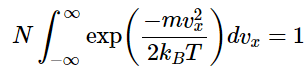
The Maxwell-Boltzmann distribution has to be normalized because it is a continuous probability distribution. As such, the sum of the probabilities for all possible values of vx must be unity. And since v-x can take any value between -∞ and ∞, then Equation  2.3.5 must be true. So if the form of  f(vx) is assumed to be
The Kinetic Molecular Theory of Gases | Chemistry Optional Notes for UPSC
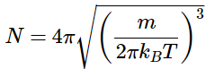
The normalization constant  N  can be found from
The Kinetic Molecular Theory of Gases | Chemistry Optional Notes for UPSC
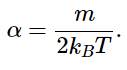
The expression can be simplified by letting  α=m/2kBT. It is then more simply written
The Kinetic Molecular Theory of Gases | Chemistry Optional Notes for UPSC
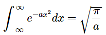
A table of definite integrals says that
The Kinetic Molecular Theory of Gases | Chemistry Optional Notes for UPSC
So
The Kinetic Molecular Theory of Gases | Chemistry Optional Notes for UPSC
And thus the normalized distribution function is given by
The Kinetic Molecular Theory of Gases | Chemistry Optional Notes for UPSC(2.3.6)

Calculating an Average from a Probability Distribution

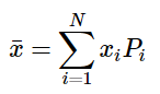
Calculating an average for a finite set of data is fairly easy. The average is calculated by
The Kinetic Molecular Theory of Gases | Chemistry Optional Notes for UPSC

But how does one proceed when the set of data is infinite? Or how does one proceed when all one knows are the probabilities for each possible measured outcome? It turns out that that is fairly simple too!

The Kinetic Molecular Theory of Gases | Chemistry Optional Notes for UPSC

where  Pis the probability of measuring the value  xi. This can also be extended to problems where the measurable properties are not discrete (like the numbers that result from rolling a pair of dice) but rather come from a continuous parent population. In this case, if the probability is of measuring a specific outcome, the average value can then be determined by
The Kinetic Molecular Theory of Gases | Chemistry Optional Notes for UPSC
where P(x) is the function describing the probability distribution, and with the integration taking place across all possible values that x can take.

Question for The Kinetic Molecular Theory of Gases
Try yourself:
What is the purpose of normalizing the Maxwell-Boltzmann distribution?
View Solution

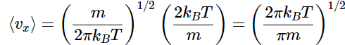
Calculating the average value of  vx

A value that is useful (and will be used in further developments) is the average velocity in the x direction. This can be derived using the probability distribution, as shown in the mathematical development box above. The average value of  vx is given by
The Kinetic Molecular Theory of Gases | Chemistry Optional Notes for UPSC
This integral will, by necessity, be zero. This must be the case as the distribution is symmetric, so that half of the molecules are traveling in the +x direction, and half in the –x direction. These motions will have to cancel. So, a more satisfying result will be given by considering the magnitude of  vx, which gives the speed in the x direction. Since this cannot be negative, and given the symmetry of the distribution, the problem becomes
The Kinetic Molecular Theory of Gases | Chemistry Optional Notes for UPSC
In other words, we will consider only half of the distribution, and then double the result to account for the half we ignored.
For simplicity, we will write the distribution function as
The Kinetic Molecular Theory of Gases | Chemistry Optional Notes for UPSC
where
The Kinetic Molecular Theory of Gases | Chemistry Optional Notes for UPSC
and
The Kinetic Molecular Theory of Gases | Chemistry Optional Notes for UPSC
A table of definite integrals shows
The Kinetic Molecular Theory of Gases | Chemistry Optional Notes for UPSC
so
The Kinetic Molecular Theory of Gases | Chemistry Optional Notes for UPSC
Substituting our definitions for N and α produces
The Kinetic Molecular Theory of Gases | Chemistry Optional Notes for UPSC
This expression indicates the average speed for motion of in one direction.

However, real gas samples have molecules not only with a distribution of molecular speeds and but also a random distribution of directions. Using normal vector magnitude properties (or simply using the Pythagorean Theorem), it can be seen that

⟨v⟩= ⟨vx⟩+ ⟨vy⟩+ ⟨vz⟩2
Since the direction of travel is random, the velocity can have any component in x, y, or z directions with equal probability. As such, the average value of the x, y, or z components of velocity should be the same. And so
⟨v⟩2 = 3⟨vx⟩2
Substituting this into the expression for pressure (Equation 2.3.4) yields
The Kinetic Molecular Theory of Gases | Chemistry Optional Notes for UPSC
All that remains is to determine the form of the distribution of velocity magnitudes the gas molecules can take. One of the first people to address this distribution was James Clerk Maxwell (1831-1879). In his 1860 paper (Maxwell, Illustrations of the dynamical theory of gases. Part 1. On the motions and collisions of perfectly elastic spheres, 1860), proposed a form for this distribution of speeds which proved to be consistent with observed properties of gases (such as their viscosities). He derived this expression based on a transformation of coordinate system from Cartesian coordinates ( x,  y,  z) to spherical polar coordinates ( v,  θ,  ϕ). In this new coordinate system, v represents the magnitude of the velocity (or the speed) and all of the directional data is carried in the angles  θ and  ϕ . The infinitesimal volume unit becomes
dx dy dz = v2sin(θ) dvd θ dϕ
Applying this transformation of coordinates, and ignoring the angular part (since he was interested only in the speed) Maxwell’s distribution (Equation 2.3.6) took the following form
The Kinetic Molecular Theory of Gases | Chemistry Optional Notes for UPSC (2.3.7)
This function has three basic parts to it: a normalization constant (N), a velocity dependence (v2), and an exponential term that contains the kinetic energy (½mv2). Since the function represents the fraction of molecules with the speed v, the sum of the fractions for all possible velocities must be unity. This sum can be calculated as an integral. The normalization constant ensures that
The Kinetic Molecular Theory of Gases | Chemistry Optional Notes for UPSC
Choosing the normalization constant as
The Kinetic Molecular Theory of Gases | Chemistry Optional Notes for UPSC
yields the final form of the Maxwell distribution of molecular speeds.
The Kinetic Molecular Theory of Gases | Chemistry Optional Notes for UPSC(2.3.8)

At low velocities, the v2 term causes the function to increase with increasing v, but then at larger values of v, the exponential term causes it to drop back down asymptotically to zero. The distribution will spread over a larger range of speed at higher temperatures, but collapse to a smaller range of values at lower temperatures (Table 2.3.1).

The Kinetic Molecular Theory of Gases | Chemistry Optional Notes for UPSC

Figure 2.3.1: Maxwell Distribution of speeds for hydrogen molecules at differing temperatures.

Question for The Kinetic Molecular Theory of Gases
Try yourself:
What is the average value of the velocity in the x direction?
View Solution

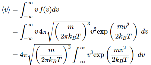
Calculating the Average Speed

Using the Maxwell distribution as a distribution of probabilities, the average molecular speed in a sample of gas molecules can be determined.
(2.3.9), (2.3.10), (2.3.11)
The Kinetic Molecular Theory of Gases | Chemistry Optional Notes for UPSC
The following can be found in a table of integrals:
The Kinetic Molecular Theory of Gases | Chemistry Optional Notes for UPSC
So
The Kinetic Molecular Theory of Gases | Chemistry Optional Notes for UPSC
Which simplifies to
The Kinetic Molecular Theory of Gases | Chemistry Optional Notes for UPSC
Note: the value of  ⟨v⟩ is twice that of  ⟨vx⟩ which was derived in an earlier example!
⟨v⟩= 2⟨vx

Solved Examples

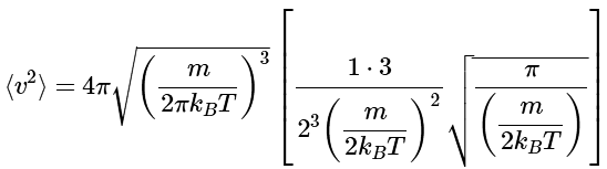
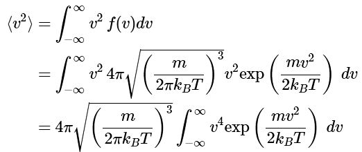
Q1: What is the average value of the squared speed according to the Maxwell distribution law?
Ans:
(2.3.12), (2.3.13), (2.3.14)
The Kinetic Molecular Theory of Gases | Chemistry Optional Notes for UPSC 
A table of integrals indicates that
The Kinetic Molecular Theory of Gases | Chemistry Optional Notes for UPSC
Substitution (noting that  n=2) yields
The Kinetic Molecular Theory of Gases | Chemistry Optional Notes for UPSC
which simplifies to
The Kinetic Molecular Theory of Gases | Chemistry Optional Notes for UPSC
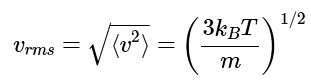
Note: The square root of this average squared speed is called the root mean square (RMS) speed, and has the value
The Kinetic Molecular Theory of Gases | Chemistry Optional Notes for UPSC

The entire distribution is also affected by molecular mass. For lighter molecules, the distribution is spread across a broader range of speeds at a given temperature, but collapses to a smaller range for heavier molecules (Table 2.3.2).

The Kinetic Molecular Theory of Gases | Chemistry Optional Notes for UPSC

Figure 2.3.2: Maxwell Distribution of speeds at 800 K for different gasses of differing molecular masses.

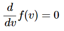
The probability distribution function can also be used to derive an expression for the most probable speed (vmp), the average (vave), and the root-mean-square (vrms) speeds as a function of the temperature and masses of the molecules in the sample. The most probable speed is the one with the maximum probability. That will be the speed that yields the maximum value of  f(v). It is found by solving the expression
The Kinetic Molecular Theory of Gases | Chemistry Optional Notes for UPSCfor the value of v that makes it true. This will be the value that gives the maximum value of f(v) for the given temperature. Similarly, the average value can be found using the distribution in the following fashion
vave = ⟨v⟩
and the root-mean-square (RMS) speed by finding the square root of the average value of v2. Both demonstrated above.
The Kinetic Molecular Theory of Gases | Chemistry Optional Notes for UPSC

The document The Kinetic Molecular Theory of Gases | Chemistry Optional Notes for UPSC is a part of the UPSC Course Chemistry Optional Notes for UPSC.
All you need of UPSC at this link: UPSC
312 docs

FAQs on The Kinetic Molecular Theory of Gases - Chemistry Optional Notes for UPSC

1. What is the Maxwell-Boltzmann distribution?
Ans. The Maxwell-Boltzmann distribution is a probability distribution that describes the distribution of speeds of particles in a gas. It is based on the kinetic molecular theory of gases and provides information about the different velocities of gas molecules at a given temperature.
2. How is the Maxwell-Boltzmann distribution normalized?
Ans. The Maxwell-Boltzmann distribution is normalized by integrating the distribution function over all possible velocities and then dividing by the total number of particles. This normalization ensures that the distribution function represents a probability distribution, with the total probability equal to 1.
3. What does the Maxwell-Boltzmann distribution tell us about gas molecules?
Ans. The Maxwell-Boltzmann distribution tells us about the distribution of velocities of gas molecules. It provides information about the most probable velocity, as well as the average and root-mean-square velocities of the gas molecules. This distribution helps in understanding various properties of gases, such as diffusion and effusion.
4. How does the Maxwell-Boltzmann distribution relate to temperature?
Ans. The Maxwell-Boltzmann distribution is directly related to temperature. As temperature increases, the distribution curve shifts towards higher velocities, indicating that the average speed of gas molecules increases. Similarly, as temperature decreases, the distribution curve shifts towards lower velocities, indicating a decrease in average speed.
5. How is the Maxwell-Boltzmann distribution used in practical applications?
Ans. The Maxwell-Boltzmann distribution is widely used in various fields, including physics, chemistry, and engineering. It helps in understanding and predicting the behavior of gases in different scenarios. For example, it is used in the design of gas sensors, in analyzing gas mixtures, and in modeling the behavior of gases in chemical reactions.
Related Searches

The Kinetic Molecular Theory of Gases | Chemistry Optional Notes for UPSC

,

video lectures

,

Exam

,

mock tests for examination

,

Viva Questions

,

study material

,

The Kinetic Molecular Theory of Gases | Chemistry Optional Notes for UPSC

,

Previous Year Questions with Solutions

,

pdf

,

MCQs

,

Semester Notes

,

Free

,

practice quizzes

,

Sample Paper

,

Summary

,

past year papers

,

Important questions

,

The Kinetic Molecular Theory of Gases | Chemistry Optional Notes for UPSC

,

shortcuts and tricks

,

ppt

,

Objective type Questions

,

Extra Questions

;