Class 8 Exam  >  Class 8 Notes  >  Mathematics (Maths) Class 8  >  Chapter Notes: Algebraic Expressions and Identities

Algebraic Expressions and Identities Chapter Notes | Mathematics (Maths) Class 8 PDF Download

What are Algebraic Expressions?

Any mathematical expression that consists of numbers, variables and operations are called Algebraic Expression. 

Components of Algebraic Expression
Algebraic Expressions and Identities Chapter Notes | Mathematics (Maths) Class 8

  • Constants: Fixed numerical values. For example, in the expression 3x+43x + 43x +4, the number 4 is a constant.
  • Variables: Symbols that represent unknown values and can change. For example, xx in 3x+43x + 43x +4 is a variable.
  • Coefficients: Numbers that are multiplied by the variables. In the expression 3x3x, 3 is the coefficient of xx.
  • Operators: Symbols that indicate mathematical operations, such as ++, -, \times×, and \div÷.

Monomials, Binomials and Polynomials

Algebraic Expressions and Identities Chapter Notes | Mathematics (Maths) Class 8

Addition and Subtraction of Algebraic Expressions

Steps to Add or Subtract Algebraic Expression

  • First of all, we have to write the algebraic expressions in different rows in such a way that the like terms come in the same column.
  • Add them as we add other numbers.
  • If any term of the same variable is not there in another expression then write is as it is in the solution.

Example 1:Add 15p2 – 4p + 5 and 9p – 11

Solution:

Write down the expressions in separate rows with like terms in the same column and add. 

Algebraic Expressions and Identities Chapter Notes | Mathematics (Maths) Class 8

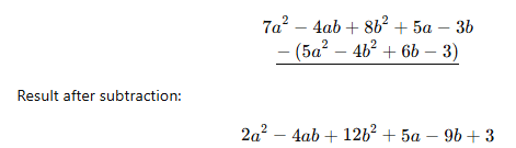
Example 2: Subtract 5a2 – 4b+ 6b – 3 from 7a2 – 4ab + 8b2 + 5a – 3b.

Solution:

For subtraction also write the expressions in different rows. But to subtract we have to change their signs from negative to positive and vice versa.

Algebraic Expressions and Identities Chapter Notes | Mathematics (Maths) Class 8

Multiplication of Algebraic Expression: Introduction

While multiplying, we need to take care of some points about the multiplication of like and unlike terms.

1. Multiplication of Like Terms

The coefficients will get multiplied.The power will not get multiplied but the resultant variable will be the addition of the individual powers.

Example3:The product of 4x and 3x will be 12x2.
(4x) x (3x) = 12x2

Example 4:The product of 5x, 3x and 4x will be 60x3.
(5x) x (3x) x (4x) = 60x3

2. Multiplication of Unlike Terms

  • The coefficients will get multiplied.
  • The power will remain the same if the variable is different.
  • If some of the variables are the same then their powers will be added.

Question for Chapter Notes: Algebraic Expressions and Identities
Try yourself:What is the product of 6x and 4x?
View Solution

Example5:The product of 2p and 3q will be 6pq
(2p) x (3q) = 6pq

Example 6:The product of 2x2y, 3x and 9 will  be 54x3y
(2x2y) x (3x) x (9) = 54x3y

Multiplying a Monomial by a Monomial


Multiplying Two Monomials

While multiplying two polynomials the resultant variable will come by

  • The coefficient of product = Coefficient of the first monomial × Coefficient of the second monomial
  • The algebraic factor of product = Algebraic factor of the first monomial × Algebraic factor of the second monomial.

Example 7: 

(3x2) × (4x3) = 12x2+3 = 12x5
Explanation: Multiply the coefficients 3 × 4 = 12 and add the exponents of x (2 + 3 = 5).

Example 8:

(2a3b) × (5ab2) = 10a3+1b1+2 = 10a4b3

Explanation: Multiply the coefficients 2 × 5 = 10, add the exponents of a (3 + 1 = 4), and add the exponents of b (1 + 2 = 3).

Multiplying Three or More Monomials

While multiplying three or more monomial the criterion will remain the same.

Example 9:

4xy × 5x2y2 × 6x3y3 = (4xy × 5x2y2) × 6x3y3

= 20x3y3 × 6x3y3

= 120x3y3 × x3y3

= 120(x3 × x3) × (y3 × y3)

= 120x6y6

= 120x6y6

We can do it in another way also:

4xy × 5x2y2 × 6x3y3

= (4 × 5 × 6) × (x × x2 × x3) × (y × y2 × y3)

= 120x6y6

Example 10: Find the volume of each rectangular box with given length, breadth, and height.

LengthBreadthHeight
2ax3by5cz
m2nn2pp2m
2q4q28q3

Volume = length × breadth × height

For (i) volume = (2ax) × (3by) × (5cz)
= 2 × 3 × 5 × (ax) × (by) × (cz)
= 30abcxyz

For (ii) volume = m2n × n2p × p2m
= (m2 × m) × (n × n2) × (p × p2)
= m3n3p3

For (iii) volume = 2q × 4q2 × 8q3
= 2 × 4 × 8 × q × q2 × q3
= 64q6

Multiplying a Monomial by a Polynomial

Multiplying a monomial by a binomial

To multiply a monomial with a binomial we have to multiply the monomial with each term of the binomial.

Example 11: Simplify 2x × (3x + 5xy).
Solution: 2x × (3x + 5xy) = (2x × 3x) + (2x × 5xy)
= 6x2 + 10x2y

Example 12: Simplify a2 × (2ab − 5c).
Solution: a2 × (2ab − 5c) = (a2 × 2ab) − (a2 × 5c)
= 2a3b − 5a2c

Multiplying a Monomial by a Trinomial

Consider 4q × (5q2 + 6q + 8).
As in the earlier case, we use the distributive law:
4q × (5q2 + 6q + 8) = (4q × 5q2) + (4q × 6q) + (4q × 8)
= 20q3 + 24q2 + 32q
Multiply each term of the trinomial by the monomial and add products.

Example 13: Simplify the expressions and evaluate them as directed:

(i) x(x − 4) + 3 for x = 2

(ii) 5z(3z − 9) − 4(z − 2) − 45 for z = −1

Solution:
(i) x(x − 4) + 3 = x2 − 4x + 3
For x = 2:
x2 − 4x + 3 = (2)2 − 4(2) + 3
= 4 − 8 + 3 = −1
(ii) 5z(3z − 9) − 4(z − 2) − 45 = 15z2 − 45z − 4z + 8 − 45
= 15z2 − 49z − 37
For z = −1:
15z2 − 49z − 37 = 15(−1)2 − 49(−1) − 37
= 15 + 49 − 37 = 27

Question for Chapter Notes: Algebraic Expressions and Identities
Try yourself:What is the result of multiplying 5a and 2a2?
View Solution

Multiplying a Polynomial by a Polynomial

Multiplying a binomial by a binomial

We use the distributive law of multiplication in this case. Multiply each term of a binomial with every term of another binomial. After multiplying the polynomials we have to look for the like terms and combine them.

Example 14: Simplify (3a + 4b) × (2a + 3b)

Solution:

(3a + 4b) × (2a + 3b)

= 3a × (2a + 3b) + 4b × (2a + 3b)    [distributive law]

= (3a × 2a) + (3a × 3b) + (4b × 2a) + (4b × 3b)

= 6 a+ 9ab + 8ba + 12b2

= 6 a2 + 17ab + 12b2     [Since ba = ab]

Multiplying a Binomial by a Trinomial

In this, we also have to multiply each term of the binomial with every term of the trinomial.

Example 15: Simplify (p + q) (2p – 3q + r) – (2p – 3q) r.

Solution:

We have a binomial (p + q) and one trinomial (2p – 3q + r)

(p + q) (2p – 3q + r)

= p × (2p – 3q + r) + q × (2p – 3q + r) [distributive law]

= 2p2 – 3pq + pr + 2pq – 3q2 + qr

= 2p2 – pq – 3q2 + qr + pr    (–3pq and 2pq are like terms)

(2p – 3q) r = 2pr – 3qr

Therefore,

(p + q) (2p – 3q + r) – (2p – 3q) r

= 2p2 – pq – 3q2 + qr + pr – (2pr – 3qr)

= 2p2 – pq – 3q2 + qr + pr – 2pr + 3qr

= 2p2 – pq – 3q2 + (qr + 3qr) + (pr – 2pr)

= 2p2 – 3q2 – pq + 4qr – pr

What is Identity? 

An identity is an equality that is true for every value of the variable but an equation is true for only some of the values of the variables.

So, an equation is not an identity.

Like, x2 = 1, is valid if x is 1 but is not true if x is 2.so it is an equation but not an identity.

Algebraic Expressions and Identities Chapter Notes | Mathematics (Maths) Class 8

Standard Identities

(a + b)= a2 + 2ab + b2

(a - b)2 = a2 – 2ab + b2

a2 – b2 = (a + b) (a - b)

(x + a) (x + b) = x2 + (a + b)x + ab

(a + b + c)2 = a2 + b2 + c2 + 2ab + 2bc + 2ca

These identities are useful in carrying out squares and products of algebraic expressions. They give alternative methods to calculate products of numbers and so on.

The document Algebraic Expressions and Identities Chapter Notes | Mathematics (Maths) Class 8 is a part of the Class 8 Course Mathematics (Maths) Class 8.
All you need of Class 8 at this link: Class 8
81 videos|423 docs|31 tests

FAQs on Algebraic Expressions and Identities Chapter Notes - Mathematics (Maths) Class 8

1. What are algebraic expressions and how are they different from numerical expressions?
Ans.Algebraic expressions are mathematical phrases that include numbers, variables, and operation symbols (like +, −, ×, ÷). They can represent a range of values. Unlike numerical expressions, which consist only of numbers and operations, algebraic expressions include variables that can change, allowing for more complex relationships and calculations.
2. How do you add and subtract algebraic expressions?
Ans.To add or subtract algebraic expressions, you combine like terms. Like terms are terms that have the same variable raised to the same power. For example, in the expression \(3x + 5x\), you can add the coefficients (3 + 5) to get \(8x\). For subtraction, you subtract the coefficients of like terms. For example, \(7y - 2y = 5y\).
3. What is the process for multiplying a monomial by a polynomial?
Ans.To multiply a monomial by a polynomial, you distribute the monomial to each term in the polynomial. For instance, if you have \(3x\) (the monomial) and \(2x^2 + 5x - 4\) (the polynomial), you multiply \(3x\) by each term: \(3x \cdot 2x^2 = 6x^3\), \(3x \cdot 5x = 15x^2\), and \(3x \cdot (-4) = -12x\). Therefore, the result is \(6x^3 + 15x^2 - 12x\).
4. Can you explain what identities are in algebra?
Ans.Identities in algebra are equations that hold true for all values of the variables involved. They represent fundamental truths about numbers and operations. For example, the identity \(a + b = b + a\) demonstrates the commutative property of addition, showing that the order of addition does not affect the sum.
5. What are standard identities in algebra and provide an example?
Ans.Standard identities are commonly used algebraic formulas that simplify calculations and help in factoring. An example of a standard identity is \((a + b)^2 = a^2 + 2ab + b^2\). This identity is useful for expanding the square of a binomial and can be applied in various algebraic problems.
Related Searches

ppt

,

mock tests for examination

,

Algebraic Expressions and Identities Chapter Notes | Mathematics (Maths) Class 8

,

shortcuts and tricks

,

Previous Year Questions with Solutions

,

Free

,

Algebraic Expressions and Identities Chapter Notes | Mathematics (Maths) Class 8

,

Extra Questions

,

study material

,

video lectures

,

past year papers

,

Sample Paper

,

Summary

,

Objective type Questions

,

pdf

,

Important questions

,

Semester Notes

,

MCQs

,

Exam

,

practice quizzes

,

Viva Questions

,

Algebraic Expressions and Identities Chapter Notes | Mathematics (Maths) Class 8

;