JEE Exam  >  JEE Notes  >  Physics for JEE Main & Advanced  >  Concept of Angle and T-Ratios

Concept of Angle and T-Ratios | Physics for JEE Main & Advanced PDF Download

Introduction to Trigonometry

  • The word 'trigonometry' is derived from the Greek words 'trigon' and 'metron' and it means 'measuring the sides of a triangle'. The subject was originally developed to solve geometric problems involving triangles. Sea captains studied it for navigation, surveyors to map out the new lands, by engineers and others. 
  • Currently, trigonometry is used in many areas such as the science of seismology, designing electric circuits, describing the state of an atom, predicting the heights of tides in the ocean, analysing a musical tone, and many other areas.

Measurement of Angles 

There are two systems of measurement of angles:

(i) Sexagesimal or English System: Here 1 right angle = 90 (degrees)
1 = 60’ (minutes)
1’ = 60" (seconds)
(ii) Circular System: Here an angle is measured in radians. One radian corresponds to the angle subtended by an arc of length ’r ’ at the centre of the circle of radius r. It is a constant quantity and does not depend upon the circle's radius.
(a) Relation between the two systems: Degree =  Radian*180 / π
(b) If θ is the angle subtended at the centre of a circle of radius 'r',
by an arc of length 'l' then l / r = θ
Representation of Angle in Circular SystemRepresentation of Angle in Circular System

Note: l, r are in the same units and θ is always in radians.

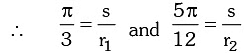
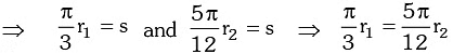
Example.1. If the arcs of the same length in two circles subtend angles of 60° and 75° at their centres. Find the ratio of their radii.
Sol: Let r1 and r2 be the radii of the given circles and let their arcs of the same length s subtend angles of 60 and 75 at their centres.
Now,
Concept of Angle and T-Ratios | Physics for JEE Main & Advanced
Concept of Angle and T-Ratios | Physics for JEE Main & Advanced
Concept of Angle and T-Ratios | Physics for JEE Main & Advanced
⇒ 4r1 = 5r2 ⇒ r1 : r2 = 5 : 4

Question for Concept of Angle and T-Ratios
Try yourself:Which of the following is correct?
View Solution

T-ratios (or Trigonometric Functions)

A Right Angled TriangleA Right Angled Triangle

In a right-angle triangle:

sin θ = p / h
cos θ = b / h
tan θ = p / b
cosec θ = h / p
sec θ = h / b 
cot θ = b / p
'p' is perpendicular, 'b' is base and 'h' is hypotenuse.

Note : The quantity by which the cosine falls short of unity i.e. 1 - cos θ, is called the versed sine θ of θ and also by which the sine falls short of unity i.e. 1- sinθ is called the coversed sine of θ.

New Definition of T-ratios 
Concept of Angle and T-Ratios | Physics for JEE Main & Advanced

By using rectangular coordinates the definitions of trigonometric functions can be extended to angles of any size in the following way (see diagram). A point P is taken with coordinates (x, y). The radius vector OP has length r and the angle 0 is taken as the directed angle measured anticlockwise from the x-axis.

The three main trigonometric functions are then defined in terms of r and the coordinates x and y:

  • sinθ = y / r
  • cosθ = x / r
  • tanθ = y / x

(The other functions are reciprocals of these)
This can give negative values of the trigonometric functions.

Question for Concept of Angle and T-Ratios
Try yourself:If tanθ = −4/3 then sinθ is
View Solution
 

The document Concept of Angle and T-Ratios | Physics for JEE Main & Advanced is a part of the JEE Course Physics for JEE Main & Advanced.
All you need of JEE at this link: JEE
268 videos|756 docs|171 tests

FAQs on Concept of Angle and T-Ratios - Physics for JEE Main & Advanced

1. Can you explain the concept of angles in trigonometry?
Ans. In trigonometry, angles are measured in degrees or radians. A degree is divided into 60 minutes, and a minute is divided into 60 seconds. A radian is a unit of angle, equal to approximately 57.2958 degrees. Angles can be positive or negative depending on their direction of rotation.
2. What are T-ratios (Trigonometric Functions) in trigonometry?
Ans. T-ratios, also known as trigonometric functions, are ratios of the sides of a right triangle. The main trigonometric functions are sine, cosine, and tangent, denoted as sin, cos, and tan, respectively. These functions relate the angles of a triangle to the lengths of its sides.
3. How are T-ratios defined in trigonometry?
Ans. In trigonometry, sine (sin), cosine (cos), and tangent (tan) are defined as follows: - Sine (sin) = Opposite/Hypotenuse - Cosine (cos) = Adjacent/Hypotenuse - Tangent (tan) = Opposite/Adjacent
4. What is the new definition of T-ratios in trigonometry?
Ans. In the new definition of T-ratios, the reciprocal functions of sine, cosine, and tangent are introduced. These functions are cosecant (csc), secant (sec), and cotangent (cot), defined as the reciprocals of sine, cosine, and tangent, respectively.
5. How can I apply the concept of angles and T-ratios in JEE exams?
Ans. In JEE exams, questions related to angles and T-ratios often involve solving trigonometric equations or finding unknown sides and angles of a triangle using trigonometric functions. It is essential to understand the basic trigonometric concepts and formulas to solve such problems effectively.
Related Searches

Summary

,

Concept of Angle and T-Ratios | Physics for JEE Main & Advanced

,

video lectures

,

Concept of Angle and T-Ratios | Physics for JEE Main & Advanced

,

Objective type Questions

,

Free

,

shortcuts and tricks

,

Sample Paper

,

Exam

,

study material

,

ppt

,

MCQs

,

pdf

,

practice quizzes

,

Viva Questions

,

past year papers

,

Concept of Angle and T-Ratios | Physics for JEE Main & Advanced

,

mock tests for examination

,

Semester Notes

,

Extra Questions

,

Important questions

,

Previous Year Questions with Solutions

;