Physics Exam  >  Physics Notes  >  Electricity & Magnetism  >  Work and Energy in Electrostatics

Work and Energy in Electrostatics | Electricity & Magnetism - Physics PDF Download

In an external field E, the work done in moving a test charge Q, from a to b is,

Work and Energy in Electrostatics | Electricity & Magnetism - Physics

If a =∞ and b =r
⇒ W=Q[V(r) −V(∞)] = QV (r ) since V(∞) = 0
Work and Energy in Electrostatics | Electricity & Magnetism - PhysicsThe potential energy (the work it takes to create the system) per unit charge (just as the field is the force per unit charge). 

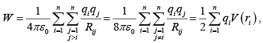
Energy of Point Charge Distribution

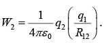
When the first charge q1 is placed, no work has been done. When q2 is placed work done W2 =q2V1 where V1 is the potential due to q1 so,
Work and Energy in Electrostatics | Electricity & Magnetism - Physics

Work and Energy in Electrostatics | Electricity & Magnetism - Physics

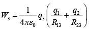
Similarly when the third charge q3 is placed
Work and Energy in Electrostatics | Electricity & Magnetism - Physics
The work necessary to assemble the first three charges is
Work and Energy in Electrostatics | Electricity & Magnetism - Physics
In general,
Work and Energy in Electrostatics | Electricity & Magnetism - Physics
where V(ri) is the potential at point ri (the position of qi ) due to all other charges.

Example 1: Four charges are situated at the corners of a square (side a ) as shown in the figure. How much work does it take to assemble the whole configuration of four charges?  

Work and Energy in Electrostatics | Electricity & Magnetism - Physics

Solution: Work done in placing first charge ( −q charge upper left corner) W1 = 0

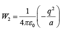
Work done in placing second charge ( + q charge lower left corner)
Work and Energy in Electrostatics | Electricity & Magnetism - Physics

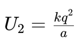
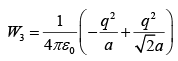
Work done in placing third charge ( −q charge lower right corner)
Work and Energy in Electrostatics | Electricity & Magnetism - Physics

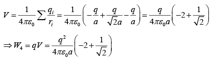
Potential at the fourth corner ( +q charge upper right corner)
Work and Energy in Electrostatics | Electricity & Magnetism - Physics

Total work done =W1+W2 +W3 +W4 
Work and Energy in Electrostatics | Electricity & Magnetism - Physics

Example 2: Three charges are arranged in an equilateral triangle of side length a. Calculate the total work done in assembling this configuration of charges.

Solution: 

To calculate the total work done in assembling this configuration of charges, we need to consider the work done in bringing each charge from infinity to its final position in the equilateral triangle. Let the charges be q, q, and q, and the side length of the equilateral triangle be a. The work done in bringing the first charge from infinity to its position in the triangle is zero, as there are no other charges present initially. Now, let's consider the work done in bringing the second charge to its position.  The electric potential energy of the second charge at its final position in the presence of the first charge is given by: Work and Energy in Electrostatics | Electricity & Magnetism - Physicswhere k is the Coulomb's constant.

The work done in bringing the second charge from infinity to its final position is the change in its potential energy, which is: 

Work and Energy in Electrostatics | Electricity & Magnetism - Physics

�2=�2−�2∞=��2�−0=��2�Next, let's consider the work done in bringing the third charge to its position. The electric potential energy of the third charge at its final position in the presence of the first two charges is given by:

Work and Energy in Electrostatics | Electricity & Magnetism - Physics

�3=��2�+��2�=2��2�The work done in bringing the third charge from infinity to its final position is the change in its potential energy, which is:

Work and Energy in Electrostatics | Electricity & Magnetism - Physics

�3=�3−�3∞=2��2�−0=2��2�Therefore, the total work done in assembling this configuration of charges is:

Work and Energy in Electrostatics | Electricity & Magnetism - Physics

�total=�2+�3=��2�+2��2�=3��2�So, the total work done in assembling this configuration of charges is Work and Energy in Electrostatics | Electricity & Magnetism - Physics3��2�

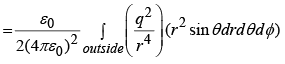
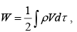
The Energy of Continuous Charge Distribution 

For a volume charge density
Work and Energy in Electrostatics | Electricity & Magnetism - Physics
Since
Work and Energy in Electrostatics | Electricity & Magnetism - Physics

Work and Energy in Electrostatics | Electricity & Magnetism - Physics

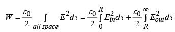
The above equation gives the correct energy W, whatever volume we use as long as it encloses all the charges, but the contribution from the volume integral goes up, and that of the surface integral goes down, as we take larger and larger volumes. In particular, if we integrate over all space, then the surface integral goes to zero, and we have 

Work and Energy in Electrostatics | Electricity & Magnetism - Physics

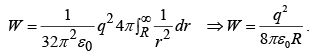
Example 3: Energy of a uniformly charged spherical shell of total charge q and radius R.

Work and Energy in Electrostatics | Electricity & Magnetism - PhysicsWork and Energy in Electrostatics | Electricity & Magnetism - Physics

Work and Energy in Electrostatics | Electricity & Magnetism - Physics

Work and Energy in Electrostatics | Electricity & Magnetism - Physics

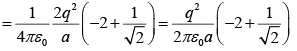
Example 4: Find the energy stored in a uniformly charged solid sphere of radius R and charge q.

Work and Energy in Electrostatics | Electricity & Magnetism - Physics

Work and Energy in Electrostatics | Electricity & Magnetism - Physics

Work and Energy in Electrostatics | Electricity & Magnetism - Physics

The document Work and Energy in Electrostatics | Electricity & Magnetism - Physics is a part of the Physics Course Electricity & Magnetism.
All you need of Physics at this link: Physics
82 videos|32 docs|22 tests
Related Searches

Important questions

,

past year papers

,

Semester Notes

,

Summary

,

Objective type Questions

,

MCQs

,

Viva Questions

,

Previous Year Questions with Solutions

,

practice quizzes

,

video lectures

,

Work and Energy in Electrostatics | Electricity & Magnetism - Physics

,

Sample Paper

,

shortcuts and tricks

,

study material

,

pdf

,

ppt

,

Work and Energy in Electrostatics | Electricity & Magnetism - Physics

,

Exam

,

Extra Questions

,

mock tests for examination

,

Free

,

Work and Energy in Electrostatics | Electricity & Magnetism - Physics

;