Class 10 Exam  >  Class 10 Notes  >  Chemistry for GCSE/IGCSE  >  Proteins

Proteins | Chemistry for GCSE/IGCSE - Class 10 PDF Download

Proteins

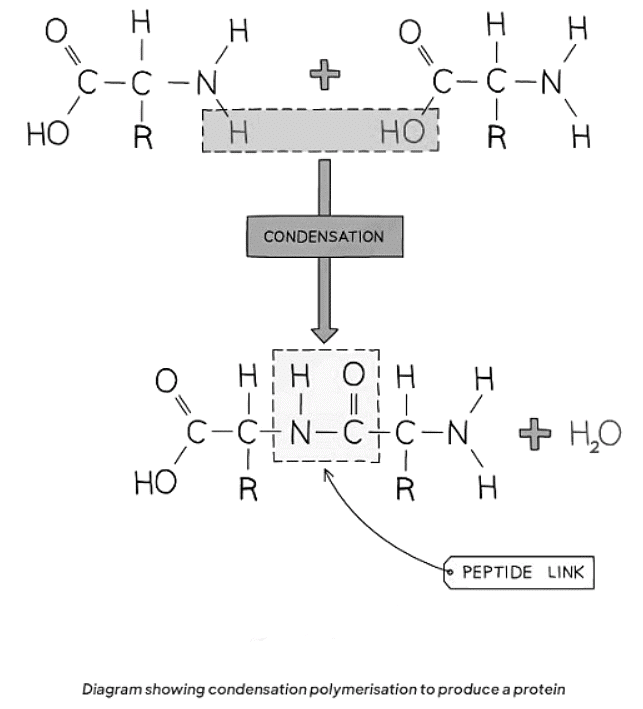
  • Proteins are condensation polymers that arise from amino acid monomers linked by amide bonds, also termed peptide links in proteins, resembling the arrangement found in nylon.
  • While the structure resembles nylon, the constituents in proteins vary, comprising amino acids.
  • Amino acids are diminutive molecules featuring NH2 and COOH functional groups.

Proteins | Chemistry for GCSE/IGCSE - Class 10

  • There exist twenty prevalent amino acids, each distinguished by their side chain denoted as R.
  • Proteins can encompass varying sequences of these amino acids, ranging from 60 to 600 in number.
  • These amino acids serve as the monomers that undergo polymerization to construct the protein structure.
    Proteins | Chemistry for GCSE/IGCSE - Class 10
  • The diagram depicts the structure of proteins, with carbon chains represented by boxes.
    Proteins | Chemistry for GCSE/IGCSE - Class 10

Question for Proteins
Try yourself:
How are proteins formed?
View Solution

The document Proteins | Chemistry for GCSE/IGCSE - Class 10 is a part of the Class 10 Course Chemistry for GCSE/IGCSE.
All you need of Class 10 at this link: Class 10
71 videos|147 docs|61 tests

FAQs on Proteins - Chemistry for GCSE/IGCSE - Class 10

1. What are proteins and why are they important for the body?
Ans. Proteins are large molecules made up of amino acids that are essential for the growth, repair, and maintenance of tissues in the body. They play a crucial role in various bodily functions, including enzyme activity, immune response, and muscle development.
2. How can someone increase their protein intake in their diet?
Ans. One can increase their protein intake by including protein-rich foods such as lean meats, poultry, fish, eggs, dairy products, legumes, nuts, and seeds in their diet. Protein supplements such as protein powders can also be used to boost protein intake.
3. What happens if someone does not consume enough protein in their diet?
Ans. A lack of protein in the diet can lead to muscle loss, weakened immune function, slow wound healing, hair loss, and skin problems. It is important to ensure adequate protein intake to maintain overall health and well-being.
4. Can someone consume too much protein?
Ans. Consuming excessive amounts of protein can put a strain on the kidneys and lead to dehydration. It is recommended to consume protein within the recommended daily intake levels to avoid potential health risks associated with high protein intake.
5. Are there any plant-based sources of protein for vegetarians and vegans?
Ans. Yes, there are plenty of plant-based sources of protein for vegetarians and vegans, including tofu, tempeh, legumes, quinoa, nuts, seeds, and plant-based protein powders. These sources can help individuals meet their protein requirements without consuming animal products.
Related Searches

past year papers

,

Summary

,

mock tests for examination

,

Viva Questions

,

Proteins | Chemistry for GCSE/IGCSE - Class 10

,

MCQs

,

Proteins | Chemistry for GCSE/IGCSE - Class 10

,

practice quizzes

,

Extra Questions

,

shortcuts and tricks

,

Objective type Questions

,

Important questions

,

study material

,

Sample Paper

,

pdf

,

Proteins | Chemistry for GCSE/IGCSE - Class 10

,

Free

,

Semester Notes

,

video lectures

,

Exam

,

Previous Year Questions with Solutions

,

ppt

;