Class 10 Exam  >  Class 10 Notes  >  Mathematics for GCSE/IGCSE  >  Rationalising Denominators

Rationalising Denominators | Mathematics for GCSE/IGCSE - Class 10 PDF Download

Rationalising Denominators

What does it mean to rationalise a denominator?

  • Fractions with surds in the denominator are not in their simplest form and require rationalization.
  • Rationalizing the denominator transforms a fraction with surds in the denominator into an equivalent fraction.
    • After rationalization, the denominator becomes an integer, while any surds remain in the numerator.

How do I rationalise the denominator of a surd?

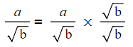
  • To rationalise the denominator if the denominator is a surd
    • Step 1: Multiply the top and bottom by the surd on the denominator:
      • Rationalising Denominators | Mathematics for GCSE/IGCSE - Class 10
      • This ensures we are multiplying by 1; so not affecting the overall value
  • Step 2: Multiply the numerator and denominators together
    • Rationalising Denominators | Mathematics for GCSE/IGCSE - Class 10 so the denominator is no longer a surd
  • Step 3: Simplify your answer if needed
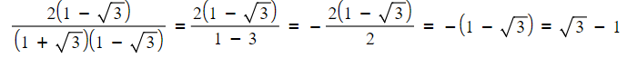
  • To rationalise the denominator if the denominator is an expression containing a surd:
    For example Rationalising Denominators | Mathematics for GCSE/IGCSE - Class 10
  • Step 1: Multiply the top and bottom by the expression on the denominator, but with the sign changed
    Rationalising Denominators | Mathematics for GCSE/IGCSE - Class 10
    • This ensures we are multiplying by 1; so not affecting the overall value
    • Step 2: Multiply the expressions on the numerator and denominator together
      • Rationalising Denominators | Mathematics for GCSE/IGCSE - Class 10 so the denominator no longer contains a surd
    • Step 3: Simplify your answer if needed
      Rationalising Denominators | Mathematics for GCSE/IGCSE - Class 10
The document Rationalising Denominators | Mathematics for GCSE/IGCSE - Class 10 is a part of the Class 10 Course Mathematics for GCSE/IGCSE.
All you need of Class 10 at this link: Class 10
38 videos|395 docs|19 tests

FAQs on Rationalising Denominators - Mathematics for GCSE/IGCSE - Class 10

1. What is the purpose of rationalising denominators in surds?
Ans. Rationalising denominators in surds helps simplify expressions by removing the surd from the denominator, making it easier to work with and manipulate algebraically.
2. How do you rationalise denominators containing surds?
Ans. To rationalise denominators containing surds, multiply both the numerator and denominator by the conjugate of the denominator. This process eliminates the surd from the denominator by creating a difference of squares.
3. Can you rationalise denominators with more than one term containing surds?
Ans. Yes, you can rationalise denominators with more than one term containing surds using the same method of multiplying by the conjugate of the denominator. It may require more steps, but the process remains the same.
4. Are there any restrictions when rationalising denominators in surds?
Ans. When rationalising denominators in surds, it is important to remember that you cannot multiply or divide by 0. Additionally, you may need to simplify the expression further after rationalising the denominator.
5. How does rationalising denominators in surds help in simplifying calculations?
Ans. Rationalising denominators in surds helps in simplifying calculations by making the expressions easier to work with and manipulate. It allows for clearer algebraic operations and can lead to a more streamlined solution.
Related Searches

Semester Notes

,

ppt

,

Exam

,

Objective type Questions

,

Rationalising Denominators | Mathematics for GCSE/IGCSE - Class 10

,

Important questions

,

Summary

,

shortcuts and tricks

,

past year papers

,

Rationalising Denominators | Mathematics for GCSE/IGCSE - Class 10

,

Viva Questions

,

pdf

,

Previous Year Questions with Solutions

,

Rationalising Denominators | Mathematics for GCSE/IGCSE - Class 10

,

study material

,

practice quizzes

,

mock tests for examination

,

Sample Paper

,

Extra Questions

,

video lectures

,

Free

,

MCQs

;