Notes: Fractions & Decimals | Mathematics & Pedagogy Paper 1 for CTET & TET Exams - CTET & State TET PDF Download

What is a Fraction?

A fraction is a part of a whole. If a whole is divided into equal parts, each part is called a fraction. It is made up of two parts.
Notes: Fractions & Decimals | Mathematics & Pedagogy Paper 1 for CTET & TET Exams - CTET & State TET

Fractions can be used to

  • name a part of a single thing.
    Notes: Fractions & Decimals | Mathematics & Pedagogy Paper 1 for CTET & TET Exams - CTET & State TETHere, 1 part out of 4 equal parts is red, we write it as 1 / 4.Notes: Fractions & Decimals | Mathematics & Pedagogy Paper 1 for CTET & TET Exams - CTET & State TET1 / 4 of the cake has been taken by Neha.
  • name a part of a group of things.
    Notes: Fractions & Decimals | Mathematics & Pedagogy Paper 1 for CTET & TET Exams - CTET & State TETIn this aquarium, you have 7 fish, out of which 2 are starfish. So, we write 2 / 7 are starfish.

Representation of a Fraction on a Number Line

The fraction 3 / 8 is shown on the number line as:
Notes: Fractions & Decimals | Mathematics & Pedagogy Paper 1 for CTET & TET Exams - CTET & State TET3 / 8 < 1, so we draw the number line from 0 to 1 and divide it into 8 equal parts. (∵  denominator = 8). The arrow shows the fraction 3 / 8.

Types of Fractions

  1. Proper Fractions
    The fractions in which the numerator is less than the denominator are called proper fractions.
    For example, 0 / 2, 1 / 4, 2 / 5, 3 / 7, 81 / 100, etc., are all proper fractions. All proper fractions are less than 1.
  2. Improper Fractions
    The fractions in which the numerator is greater than or equal to the denominator are called improper fractions.
    For example, 6 / 6, 7 / 4, 21 / 20, 121 / 100, etc., are all improper fractions.
    All improper fractions are greater than or equal to 1.
    Notes: Fractions & Decimals | Mathematics & Pedagogy Paper 1 for CTET & TET Exams - CTET & State TET(i) Mixed Numbers
    A mixed number has two parts, a whole number part (except 0) and a part with a fraction.
    For example,Notes: Fractions & Decimals | Mathematics & Pedagogy Paper 1 for CTET & TET Exams - CTET & State TETare all mixed numbers.Notes: Fractions & Decimals | Mathematics & Pedagogy Paper 1 for CTET & TET Exams - CTET & State TET
  3. Unit Fractions
    A fraction whose numerator is 1 and the denominator is greater than 1 is called a unit fraction, 
    For example, 1 / 8, 1 / 3, 1 / 5, etc.
  4. Like Fractions
    Fractions that have the same denominator are called like fractions.
    For example, 8 / 12, 7 / 12, 17 / 12, 23 / 12 are all like fractions.
  5. Unlike Fractions
    Fractions whose denominators are different are called unlike fractions.
    For example, 4 / 6, 3 / 8, 12 / 15, 23 / 35 are all unlike fractions.

Edurev Tips: We can write a mixed number as an improper fraction and an improper fraction as a mixed number.

Example 1: Write 7 / 5 as a mixed number.

Method 1: Pictorially, it can be shown as:
Notes: Fractions & Decimals | Mathematics & Pedagogy Paper 1 for CTET & TET Exams - CTET & State TETNotes: Fractions & Decimals | Mathematics & Pedagogy Paper 1 for CTET & TET Exams - CTET & State TETIt can also be represented on the number line as:Notes: Fractions & Decimals | Mathematics & Pedagogy Paper 1 for CTET & TET Exams - CTET & State TETJump five-fifths to land on 1. Jump 2 more fifths to land on 7 / 5.This is same as jumping to 1 and then to another 2 / 5.∴ 7 / 5 as a mixed number is Notes: Fractions & Decimals | Mathematics & Pedagogy Paper 1 for CTET & TET Exams - CTET & State TETMethod 2: By Division Method,
Notes: Fractions & Decimals | Mathematics & Pedagogy Paper 1 for CTET & TET Exams - CTET & State TETNotes: Fractions & Decimals | Mathematics & Pedagogy Paper 1 for CTET & TET Exams - CTET & State TET

Edurev Tips: 

Notes: Fractions & Decimals | Mathematics & Pedagogy Paper 1 for CTET & TET Exams - CTET & State TET

Example 2: Write Notes: Fractions & Decimals | Mathematics & Pedagogy Paper 1 for CTET & TET Exams - CTET & State TETas an improper fraction.

Pictorially, it can be shown as:
Notes: Fractions & Decimals | Mathematics & Pedagogy Paper 1 for CTET & TET Exams - CTET & State TETNotes: Fractions & Decimals | Mathematics & Pedagogy Paper 1 for CTET & TET Exams - CTET & State TETMultiply the whole number part by the denominator and add numerator to the product.Alternatively,
Notes: Fractions & Decimals | Mathematics & Pedagogy Paper 1 for CTET & TET Exams - CTET & State TET

Equivalent Fractions

Consider the following fraction bars.
Fractions that name the same part of the whole are called equivalent fractions.
Notes: Fractions & Decimals | Mathematics & Pedagogy Paper 1 for CTET & TET Exams - CTET & State TETTherefore, 1 / 4, 2 / 8 and 3 / 12 are equivalent fractions and we write 1 / 4 = 2 / 8 = 3 / 12.

Edurev Tips:
Notes: Fractions & Decimals | Mathematics & Pedagogy Paper 1 for CTET & TET Exams - CTET & State TET

Thus, to find equivalent fractions, we either multiply or divide the numerator and denominator by the same number.

Example 3: Fill in the missing numbers.
Notes: Fractions & Decimals | Mathematics & Pedagogy Paper 1 for CTET & TET Exams - CTET & State TETNotes: Fractions & Decimals | Mathematics & Pedagogy Paper 1 for CTET & TET Exams - CTET & State TETNotes: Fractions & Decimals | Mathematics & Pedagogy Paper 1 for CTET & TET Exams - CTET & State TETNotes: Fractions & Decimals | Mathematics & Pedagogy Paper 1 for CTET & TET Exams - CTET & State TET

Notes: Fractions & Decimals | Mathematics & Pedagogy Paper 1 for CTET & TET Exams - CTET & State TETNotes: Fractions & Decimals | Mathematics & Pedagogy Paper 1 for CTET & TET Exams - CTET & State TETNotes: Fractions & Decimals | Mathematics & Pedagogy Paper 1 for CTET & TET Exams - CTET & State TETNotes: Fractions & Decimals | Mathematics & Pedagogy Paper 1 for CTET & TET Exams - CTET & State TET

Writing a Fraction in its Simplest Form

A fraction is in its simplest form when its numerator and denominator have no common factors other than 1.

Fractions such as 1 / 2, 3 / 5, 5 / 8 are all fractions in their simplest form. In 1 / 2, there is no common factor of 1 and 2 except 1. Likewise, the only common factor of 3 and 5 in 3 / 5 is 1 and of 5 and 8 in 5 / 8 is 1.
The fraction 10 / 15 is not in its simplest form because 5 is a common factor of 10 and 15.
Similarly, 3 / 21 is not in its simplest form because 3 is a common factor of both 3 and 21.

Example 4: Express the following fractions in their simplest form.
(a) 6 / 8
(b) 15 / 30
(c) 210 / 330

(a) Divide both numerator and denominator by a common factor.
Notes: Fractions & Decimals | Mathematics & Pedagogy Paper 1 for CTET & TET Exams - CTET & State TETDividing 6 and 8 by 2, we have,Notes: Fractions & Decimals | Mathematics & Pedagogy Paper 1 for CTET & TET Exams - CTET & State TET(b) 
Notes: Fractions & Decimals | Mathematics & Pedagogy Paper 1 for CTET & TET Exams - CTET & State TETNotes: Fractions & Decimals | Mathematics & Pedagogy Paper 1 for CTET & TET Exams - CTET & State TETHence, 15 / 30 in its simplest form = 1 / 2, because 1 and 2 have no common factor except 1.Alternative Method:
Notes: Fractions & Decimals | Mathematics & Pedagogy Paper 1 for CTET & TET Exams - CTET & State TET
Method: To reduce a fraction to its simplest form, keep dividing by common factors until the only common factor is 1.
(c)
Notes: Fractions & Decimals | Mathematics & Pedagogy Paper 1 for CTET & TET Exams - CTET & State TETNotes: Fractions & Decimals | Mathematics & Pedagogy Paper 1 for CTET & TET Exams - CTET & State TET

Comparing Fractions

1. Comparing Fractions with Like Denominators

Example 5: For a singing competition, 6 / 15 of the children are girls and 9 / 15 are boys. Whose number is greater in the competition, of boys or of girls?

To answer this question we have to compare 6 / 15 and 9 / 15. We can use two ways for comparing them and then state a general rule.
Method 1: Comparing Pictorially
Notes: Fractions & Decimals | Mathematics & Pedagogy Paper 1 for CTET & TET Exams - CTET & State TETOn comparing the shaded parts, you can see that 9 / 15 > 6 / 15.
∴ The number of boys is more.
Method 2: Comparing on Number Line
Notes: Fractions & Decimals | Mathematics & Pedagogy Paper 1 for CTET & TET Exams - CTET & State TET9 / 15 is to the right of 6 / 15, therefore,  9 / 15 > 6 / 15.

Rule: If two or more fractions have the same denominator, the fraction with the greater numerator is the greater number, e.g., 6 / 7 > 5 / 7 or 5 / 7 < 6 / 7.

2. Comparing Fractions with Unlike Denominators
Example 6: Which is greater: 1 / 3 or 2 / 5?

Pictorially, 1 / 3 and 2 / 5 can be compared as:
Method 1
Notes: Fractions & Decimals | Mathematics & Pedagogy Paper 1 for CTET & TET Exams - CTET & State TETOn comparing the shaded parts, you can see that 2 / 5 > 1 / 3.Method 2
Notes: Fractions & Decimals | Mathematics & Pedagogy Paper 1 for CTET & TET Exams - CTET & State TETComparing fractions on number line, you can see that 2 / 5 is on the right of 1 / 3.Notes: Fractions & Decimals | Mathematics & Pedagogy Paper 1 for CTET & TET Exams - CTET & State TET

3. By Finding Equivalent Fractions Using LCM
To compare 1 / 3 and 2 / 5, we convert them into equivalent fractions both having the same denominator.
The common denominator in this case will be taken as the LCM of 3 and 5.
LCM of 3 and 5 = 3 × 5 = 15.
Notes: Fractions & Decimals | Mathematics & Pedagogy Paper 1 for CTET & TET Exams - CTET & State TETNotes: Fractions & Decimals | Mathematics & Pedagogy Paper 1 for CTET & TET Exams - CTET & State TET

Edurev Tips: This is the most commonly used method for comparing and ordering unlike fractions.

Ordering Fractions

Now that you know how to compare fractions, you can order them in any order— increasing or decreasing.

Example 7: Arrange the fractions 7 / 8, 5 / 12, 15 / 16 in increasing order.

Step 1: Find the LCM of the denominators 8, 12 and 16.
LCM of 8, 12 and 16 = 2 × 2 × 2 × 3 × 2 = 48
Notes: Fractions & Decimals | Mathematics & Pedagogy Paper 1 for CTET & TET Exams - CTET & State TETStep 2: Find the equivalent fractions with denominator 48.
Notes: Fractions & Decimals | Mathematics & Pedagogy Paper 1 for CTET & TET Exams - CTET & State TETStep 3: Compare the equivalent fractions:
Notes: Fractions & Decimals | Mathematics & Pedagogy Paper 1 for CTET & TET Exams - CTET & State TETArranging the fractions in increasing order,Notes: Fractions & Decimals | Mathematics & Pedagogy Paper 1 for CTET & TET Exams - CTET & State TETYou can write the same fractions in decreasing order asNotes: Fractions & Decimals | Mathematics & Pedagogy Paper 1 for CTET & TET Exams - CTET & State TET

Ordering Unit Fractions

A unit fraction has 1 as its numerator, but the denominator can vary.
For example, 1 / 2, 1 / 3, 1 / 4, 1 / 5 are unit fractions. What conclusion do you draw from the following diagrams?
Notes: Fractions & Decimals | Mathematics & Pedagogy Paper 1 for CTET & TET Exams - CTET & State TETIt can be clearly seen thatNotes: Fractions & Decimals | Mathematics & Pedagogy Paper 1 for CTET & TET Exams - CTET & State TETThus, if the numerator is the same, the fraction with the least denominator is the greatest.

Addition and Subtraction of Fractions

1. To Add or Subtract Like Fractions (Fractions with the Same Denominator)

When we add or subtract fractions with the same denominator, we just add or subtract the numerators and keep the denominator same.

Notes: Fractions & Decimals | Mathematics & Pedagogy Paper 1 for CTET & TET Exams - CTET & State TET

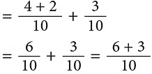
2. To Add or Subtract Unlike Fractions
Example 8: Ravi and Nisha are painting a wall. Ravi painted 1 / 2 of the wall and Nisha painted 1 / 4 of the wall. What part of the wall did they paint altogether?

Wall painted by Ravi = 1 / 2
Wall painted by Nisha = 1 / 4
Total part of the wall painted = 1 / 4 + 1 / 2
To be able to add these, first change one or both of the fractions to fractions having common denominator.
Notes: Fractions & Decimals | Mathematics & Pedagogy Paper 1 for CTET & TET Exams - CTET & State TETTherefore, 3 / 4 part of the wall was painted by Ravi and Nisha.

Rule: When we add fractions with different denominators, we change the fractions to fractions having the same denominator. This common denominator is the least common denominator of the given fractions.

What is meant by least common denominator?
Study the two rows of fractions given below:
Notes: Fractions & Decimals | Mathematics & Pedagogy Paper 1 for CTET & TET Exams - CTET & State TETThe numbers 12, 24 and 36 are some of the common denominators of 1 6 and 34. Of these, 12 is the least common denominator. Also, we can see that 12 is the LCM of 6 and 4. Thus, the least common denominator of two fractions is the same as the least common multiple of their denominators.
To add or subtract unlike fractions, write the given fractions as equivalent fractions with the least common denominator (LCM of the denominators) and then add or subtract like fractions.

Example 9: Add:
Notes: Fractions & Decimals | Mathematics & Pedagogy Paper 1 for CTET & TET Exams - CTET & State TETNotes: Fractions & Decimals | Mathematics & Pedagogy Paper 1 for CTET & TET Exams - CTET & State TET

Notes: Fractions & Decimals | Mathematics & Pedagogy Paper 1 for CTET & TET Exams - CTET & State TETMethod 1: LCM of 4 and 5 = 4 × 5 = 20
Notes: Fractions & Decimals | Mathematics & Pedagogy Paper 1 for CTET & TET Exams - CTET & State TETMethod 2: You may also set your work as under:
Notes: Fractions & Decimals | Mathematics & Pedagogy Paper 1 for CTET & TET Exams - CTET & State TETNotes: Fractions & Decimals | Mathematics & Pedagogy Paper 1 for CTET & TET Exams - CTET & State TETNotes: Fractions & Decimals | Mathematics & Pedagogy Paper 1 for CTET & TET Exams - CTET & State TETNotes: Fractions & Decimals | Mathematics & Pedagogy Paper 1 for CTET & TET Exams - CTET & State TETStep 1: LCM of 4 and 5 = 20
Step 2: Divide 20 by the denominator of the first fraction. 20 ÷ 4 = 5
Multiply quotient 5 by numerator 3 and write 3 × 5.
Divide 20 by the denominator of the second fraction. 20 ÷ 5 = 4
Multiply quotient 4 by numerator 2 and write 2 × 4.
Now, complete as shown.
Notes: Fractions & Decimals | Mathematics & Pedagogy Paper 1 for CTET & TET Exams - CTET & State TETLCM of 6 and 10 = 30.Changing 5 / 6 and 1 / 10 to equivalent fractions having the same denominator 30.
Notes: Fractions & Decimals | Mathematics & Pedagogy Paper 1 for CTET & TET Exams - CTET & State TETNotes: Fractions & Decimals | Mathematics & Pedagogy Paper 1 for CTET & TET Exams - CTET & State TET

Example 10: Subtract:
Notes: Fractions & Decimals | Mathematics & Pedagogy Paper 1 for CTET & TET Exams - CTET & State TETNotes: Fractions & Decimals | Mathematics & Pedagogy Paper 1 for CTET & TET Exams - CTET & State TET

Notes: Fractions & Decimals | Mathematics & Pedagogy Paper 1 for CTET & TET Exams - CTET & State TETMethod 1
LCM of 8 and 4 = 8.
Notes: Fractions & Decimals | Mathematics & Pedagogy Paper 1 for CTET & TET Exams - CTET & State TETMethod 2
Notes: Fractions & Decimals | Mathematics & Pedagogy Paper 1 for CTET & TET Exams - CTET & State TETNotes: Fractions & Decimals | Mathematics & Pedagogy Paper 1 for CTET & TET Exams - CTET & State TETLCM of 7 and 11 is 7 × 11 = 77.Notes: Fractions & Decimals | Mathematics & Pedagogy Paper 1 for CTET & TET Exams - CTET & State TET

Addition of Mixed Fractions

Type I: With Same Denominators

Example 11: When released, a gas balloon first rose by Notes: Fractions & Decimals | Mathematics & Pedagogy Paper 1 for CTET & TET Exams - CTET & State TETand then again by

Notes: Fractions & Decimals | Mathematics & Pedagogy Paper 1 for CTET & TET Exams - CTET & State TETWhat is the total height to which the gas balloon rose?

Pictorially, the problem can be represented as:
Notes: Fractions & Decimals | Mathematics & Pedagogy Paper 1 for CTET & TET Exams - CTET & State TETThus, we can add mixed numbers by first adding whole numbers and then proper fractions. Therefore, the above work can be set as:Notes: Fractions & Decimals | Mathematics & Pedagogy Paper 1 for CTET & TET Exams - CTET & State TET

Example 12: A cow gave Notes: Fractions & Decimals | Mathematics & Pedagogy Paper 1 for CTET & TET Exams - CTET & State TETlitres of milk in the morning and Notes: Fractions & Decimals | Mathematics & Pedagogy Paper 1 for CTET & TET Exams - CTET & State TET litres in the evening. Find the total quantity of the milk given by the cow.

Method 1
Notes: Fractions & Decimals | Mathematics & Pedagogy Paper 1 for CTET & TET Exams - CTET & State TETMethod 2
Total quantity of milk given by the cow
Notes: Fractions & Decimals | Mathematics & Pedagogy Paper 1 for CTET & TET Exams - CTET & State TETConvert each mixed number to improper fraction.Notes: Fractions & Decimals | Mathematics & Pedagogy Paper 1 for CTET & TET Exams - CTET & State TET∴ So, the cow gaveNotes: Fractions & Decimals | Mathematics & Pedagogy Paper 1 for CTET & TET Exams - CTET & State TETlitres of milk in all.

Type II: With Different Denominators

Example 13: Add:
Notes: Fractions & Decimals | Mathematics & Pedagogy Paper 1 for CTET & TET Exams - CTET & State TET

Method 1
Notes: Fractions & Decimals | Mathematics & Pedagogy Paper 1 for CTET & TET Exams - CTET & State TETLCM of 2 and 4 = 4.Notes: Fractions & Decimals | Mathematics & Pedagogy Paper 1 for CTET & TET Exams - CTET & State TETMethod 2
Notes: Fractions & Decimals | Mathematics & Pedagogy Paper 1 for CTET & TET Exams - CTET & State TETBy changing into improper fractionsNotes: Fractions & Decimals | Mathematics & Pedagogy Paper 1 for CTET & TET Exams - CTET & State TETNotes: Fractions & Decimals | Mathematics & Pedagogy Paper 1 for CTET & TET Exams - CTET & State TET

Example 14: Add:
Notes: Fractions & Decimals | Mathematics & Pedagogy Paper 1 for CTET & TET Exams - CTET & State TET

Method 1
Notes: Fractions & Decimals | Mathematics & Pedagogy Paper 1 for CTET & TET Exams - CTET & State TET
LCM of 4, 6, 12 = 2 × 2 × 3 = 12.
Notes: Fractions & Decimals | Mathematics & Pedagogy Paper 1 for CTET & TET Exams - CTET & State TETNotes: Fractions & Decimals | Mathematics & Pedagogy Paper 1 for CTET & TET Exams - CTET & State TETNotes: Fractions & Decimals | Mathematics & Pedagogy Paper 1 for CTET & TET Exams - CTET & State TETMethod 2
Notes: Fractions & Decimals | Mathematics & Pedagogy Paper 1 for CTET & TET Exams - CTET & State TETNotes: Fractions & Decimals | Mathematics & Pedagogy Paper 1 for CTET & TET Exams - CTET & State TET

Edurev Tips: Method 1 is particularly useful when the whole number parts of given fraction are large numbers such as in
Notes: Fractions & Decimals | Mathematics & Pedagogy Paper 1 for CTET & TET Exams - CTET & State TET

Subtraction of Mixed Fractions

Example 15: Subtract:
Notes: Fractions & Decimals | Mathematics & Pedagogy Paper 1 for CTET & TET Exams - CTET & State TET

Notes: Fractions & Decimals | Mathematics & Pedagogy Paper 1 for CTET & TET Exams - CTET & State TET
Notes: Fractions & Decimals | Mathematics & Pedagogy Paper 1 for CTET & TET Exams - CTET & State TET

Example 16: Subtract
Notes: Fractions & Decimals | Mathematics & Pedagogy Paper 1 for CTET & TET Exams - CTET & State TET

Method 1
Notes: Fractions & Decimals | Mathematics & Pedagogy Paper 1 for CTET & TET Exams - CTET & State TETNotes: Fractions & Decimals | Mathematics & Pedagogy Paper 1 for CTET & TET Exams - CTET & State TETStep 1: Subtract the whole numbers.
Step 2: Change fractions to equivalent fractions, 1 / 4 = 3 / 12.
Step 3: Subtract the fractions.
Method 2
Convert mixed fractions into improper fractions.
Notes: Fractions & Decimals | Mathematics & Pedagogy Paper 1 for CTET & TET Exams - CTET & State TET

Subtracting from Whole Numbers

Subtracting from 1

Example 17: Mira is preparing a sweet dish. She used 5 / 8 litre of milk from a jug containing 1 litre milk. How much milk is left in the jug?

Quantity of milk remaining in jug
Notes: Fractions & Decimals | Mathematics & Pedagogy Paper 1 for CTET & TET Exams - CTET & State TET
Notes: Fractions & Decimals | Mathematics & Pedagogy Paper 1 for CTET & TET Exams - CTET & State TET
Or
Notes: Fractions & Decimals | Mathematics & Pedagogy Paper 1 for CTET & TET Exams - CTET & State TET
Mira still has 3 / 8 litre of milk left in the jug.

Example 18: David lives 3 kilometres away from a town. Paul lives 56 of a kilometre away from the town. How much closer does Paul live to the town than David?

Method 1
Paul lives
Notes: Fractions & Decimals | Mathematics & Pedagogy Paper 1 for CTET & TET Exams - CTET & State TETNotes: Fractions & Decimals | Mathematics & Pedagogy Paper 1 for CTET & TET Exams - CTET & State TETThus, Paul livesNotes: Fractions & Decimals | Mathematics & Pedagogy Paper 1 for CTET & TET Exams - CTET & State TETkm closer to the town as compared to David.Method 2
Paul lives
Notes: Fractions & Decimals | Mathematics & Pedagogy Paper 1 for CTET & TET Exams - CTET & State TETkm closer.Notes: Fractions & Decimals | Mathematics & Pedagogy Paper 1 for CTET & TET Exams - CTET & State TETThus, Paul livesNotes: Fractions & Decimals | Mathematics & Pedagogy Paper 1 for CTET & TET Exams - CTET & State TET km closer to the town as compared to David.

Edurev Tips: In subtraction sums like Notes: Fractions & Decimals | Mathematics & Pedagogy Paper 1 for CTET & TET Exams - CTET & State TET where whole number parts are large numbers, it may be easier and more convenient to apply method 1.Thus,Notes: Fractions & Decimals | Mathematics & Pedagogy Paper 1 for CTET & TET Exams - CTET & State TET

Example 19: Subtract:
Notes: Fractions & Decimals | Mathematics & Pedagogy Paper 1 for CTET & TET Exams - CTET & State TET

Method 1
Notes: Fractions & Decimals | Mathematics & Pedagogy Paper 1 for CTET & TET Exams - CTET & State TETNotes: Fractions & Decimals | Mathematics & Pedagogy Paper 1 for CTET & TET Exams - CTET & State TETMethod 2
Notes: Fractions & Decimals | Mathematics & Pedagogy Paper 1 for CTET & TET Exams - CTET & State TETNotes: Fractions & Decimals | Mathematics & Pedagogy Paper 1 for CTET & TET Exams - CTET & State TETMethod 2 is generally preferred.

Properties of Addition of Fractions

  1. Changing the order of two addends does not change the sum.
    Notes: Fractions & Decimals | Mathematics & Pedagogy Paper 1 for CTET & TET Exams - CTET & State TETPictorially, it can be shown as:Notes: Fractions & Decimals | Mathematics & Pedagogy Paper 1 for CTET & TET Exams - CTET & State TETNotes: Fractions & Decimals | Mathematics & Pedagogy Paper 1 for CTET & TET Exams - CTET & State TETSimilarly, by actual addition, you can verify that;Notes: Fractions & Decimals | Mathematics & Pedagogy Paper 1 for CTET & TET Exams - CTET & State TETNotes: Fractions & Decimals | Mathematics & Pedagogy Paper 1 for CTET & TET Exams - CTET & State TET
  2. Changing the way in which we group the addends does not change the sum.
    Notes: Fractions & Decimals | Mathematics & Pedagogy Paper 1 for CTET & TET Exams - CTET & State TETNotes: Fractions & Decimals | Mathematics & Pedagogy Paper 1 for CTET & TET Exams - CTET & State TETNotes: Fractions & Decimals | Mathematics & Pedagogy Paper 1 for CTET & TET Exams - CTET & State TETThus,Notes: Fractions & Decimals | Mathematics & Pedagogy Paper 1 for CTET & TET Exams - CTET & State TETOr
    Notes: Fractions & Decimals | Mathematics & Pedagogy Paper 1 for CTET & TET Exams - CTET & State TETNotes: Fractions & Decimals | Mathematics & Pedagogy Paper 1 for CTET & TET Exams - CTET & State TETNotes: Fractions & Decimals | Mathematics & Pedagogy Paper 1 for CTET & TET Exams - CTET & State TETThis is called the grouping property of addition of fractions.
  3. Additive property of 0.
    Notes: Fractions & Decimals | Mathematics & Pedagogy Paper 1 for CTET & TET Exams - CTET & State TETThus, the sum of a fraction and 0 is the fraction itself.

Decimals

A decimal is another way of expressing a fraction.

1. Tenths
Notes: Fractions & Decimals | Mathematics & Pedagogy Paper 1 for CTET & TET Exams - CTET & State TETThe fraction 1 / 10, as a decimal, is written as 0.1 and read as zero point one. The following shaded parts can be read as:
Notes: Fractions & Decimals | Mathematics & Pedagogy Paper 1 for CTET & TET Exams - CTET & State TETNotes: Fractions & Decimals | Mathematics & Pedagogy Paper 1 for CTET & TET Exams - CTET & State TETNotes: Fractions & Decimals | Mathematics & Pedagogy Paper 1 for CTET & TET Exams - CTET & State TET

The dot or the point between the two digits is called the decimal point.

Whole numbers and decimal numbers can also be combined as shown below: The picture given alongside shows, on a ruler, a length of 1 cm + 7 parts out of 1 cm. Since each cm is further divided into 10 equal parts (as can be seen), the above given number can be written as 1.7.
Notes: Fractions & Decimals | Mathematics & Pedagogy Paper 1 for CTET & TET Exams - CTET & State TET1.7 is also a decimal number and is read as one point seven.Notes: Fractions & Decimals | Mathematics & Pedagogy Paper 1 for CTET & TET Exams - CTET & State TET2. Hundredths
Let us now divide a whole into 100 equal parts.
Notes: Fractions & Decimals | Mathematics & Pedagogy Paper 1 for CTET & TET Exams - CTET & State TETNotes: Fractions & Decimals | Mathematics & Pedagogy Paper 1 for CTET & TET Exams - CTET & State TETNotes: Fractions & Decimals | Mathematics & Pedagogy Paper 1 for CTET & TET Exams - CTET & State TET

We read

  • 0.01 as zero point zero one,
  • 0.08 as zero point zero eight,
  • 0.75 as zero point seven five.

0.41 is 41 hundredths or 4 tenths 1 hundredth.
Notes: Fractions & Decimals | Mathematics & Pedagogy Paper 1 for CTET & TET Exams - CTET & State TETNotes: Fractions & Decimals | Mathematics & Pedagogy Paper 1 for CTET & TET Exams - CTET & State TETSimilarly,Notes: Fractions & Decimals | Mathematics & Pedagogy Paper 1 for CTET & TET Exams - CTET & State TETNotes: Fractions & Decimals | Mathematics & Pedagogy Paper 1 for CTET & TET Exams - CTET & State TETSo, a decimal number has two parts—the whole number part and the decimal part separated by a decimal point. Number of digits after the decimal point is called the number of decimal places.
Notes: Fractions & Decimals | Mathematics & Pedagogy Paper 1 for CTET & TET Exams - CTET & State TETIn the above number, there are 2 decimal places after the whole number part.

Edurev Tips: Whenever there is no whole number part, do not forget to write 0 before the decimal point, e.g., .65 is always written as 0.65.

3. Thousandths
If we divide one whole into thousand equal parts, then each part of the whole represents one-thousandth.
Thus, 1 / 1000 = 0.001 or one-thousandth read as zero point zero zero one.
The decimal 0.716 = 716 / 1000 (716 thousandths) represents 716 parts out of 1000 parts.
Sumit and Ritu are both reading the number 0.716 in different ways. Tick Notes: Fractions & Decimals | Mathematics & Pedagogy Paper 1 for CTET & TET Exams - CTET & State TET the correct one?Notes: Fractions & Decimals | Mathematics & Pedagogy Paper 1 for CTET & TET Exams - CTET & State TETIn expanded form, we write 0.716 as:Notes: Fractions & Decimals | Mathematics & Pedagogy Paper 1 for CTET & TET Exams - CTET & State TETSimilarly, 49.107 is forty-nine and one hundred seven thousandths and is read as forty-nine point one zero seven.
In expanded form,
Notes: Fractions & Decimals | Mathematics & Pedagogy Paper 1 for CTET & TET Exams - CTET & State TETNotice the following pattern.Notes: Fractions & Decimals | Mathematics & Pedagogy Paper 1 for CTET & TET Exams - CTET & State TET

The number of digits after the decimal point in the decimal numeral is equal to the number of zeros after 1 in the denominator of the corresponding common fraction.

Place Value and Decimals

The place value chart shown below can also be used to understand decimals. The place value of each digit in the number 2222.222 is shown below.
Notes: Fractions & Decimals | Mathematics & Pedagogy Paper 1 for CTET & TET Exams - CTET & State TETThe first place to the right of the decimal point is the tenths place, the second place to the right is the hundredths place and so on. The last place after the decimal point tells us how to name the decimal part.

Edurev Tips: Digit at each place has a place value one-tenth (1 / 10) that of the place to its left.

Here it is 222 thousandths.
Using the place value chart, we can write the expanded form of any decimal number. Take the number 1279.364.
Notes: Fractions & Decimals | Mathematics & Pedagogy Paper 1 for CTET & TET Exams - CTET & State TET1279.364 = 1 thousand + 2 hundreds + 7 tens + 9 ones + 3 tenths + 6 hundredths + 4 thousandths= 1 × 1000 + 2 × 100 + 7 × 10 + 9 × 1 + 3 × 1 / 10 + 6 × 1 / 100 + 4 × 10 / 100Or
Notes: Fractions & Decimals | Mathematics & Pedagogy Paper 1 for CTET & TET Exams - CTET & State TET= 1000 + 200 + 70 + 9 + 3 / 10 + 6 / 100 + 4 / 1000 (Fractional form)
= 1000 + 200 + 70 + 9 + 0.3 + 0.06 + 0.004 (Decimal form)

Converting Fractions to Decimals and Vice versa

  1. Converting Fractions to Decimals
    Fractions whose denominators are 10, 100 or 1000 can be easily converted to decimals by putting the decimal point in the numerator accordingly.
    Examples:
    Notes: Fractions & Decimals | Mathematics & Pedagogy Paper 1 for CTET & TET Exams - CTET & State TETNotes: Fractions & Decimals | Mathematics & Pedagogy Paper 1 for CTET & TET Exams - CTET & State TETNotes: Fractions & Decimals | Mathematics & Pedagogy Paper 1 for CTET & TET Exams - CTET & State TETNotes: Fractions & Decimals | Mathematics & Pedagogy Paper 1 for CTET & TET Exams - CTET & State TETNotes: Fractions & Decimals | Mathematics & Pedagogy Paper 1 for CTET & TET Exams - CTET & State TETNotes: Fractions & Decimals | Mathematics & Pedagogy Paper 1 for CTET & TET Exams - CTET & State TETFor fractions which can be converted to equivalent fractions having denominators 10 or multiples of 10, we apply the same method as above.Notes: Fractions & Decimals | Mathematics & Pedagogy Paper 1 for CTET & TET Exams - CTET & State TETSimilarly,Notes: Fractions & Decimals | Mathematics & Pedagogy Paper 1 for CTET & TET Exams - CTET & State TETNotes: Fractions & Decimals | Mathematics & Pedagogy Paper 1 for CTET & TET Exams - CTET & State TET
  2. Converting Decimals to Fractions
    Decimals can also be converted to fractions as under:
    Notes: Fractions & Decimals | Mathematics & Pedagogy Paper 1 for CTET & TET Exams - CTET & State TETPictorial representation of how to convert a decimal to a fractionNotes: Fractions & Decimals | Mathematics & Pedagogy Paper 1 for CTET & TET Exams - CTET & State TETFractions in simplest form

Equivalent Decimals

Decimals that name the same amount are called equivalent decimals.

Observe the following.
Notes: Fractions & Decimals | Mathematics & Pedagogy Paper 1 for CTET & TET Exams - CTET & State TETAs can be seen, these two pictures name the same amount, so 0.8 = 0.80.8 tenths = 80 hundredths8 / 10 = 80 / 100
Thus, 0.8 = 0.80 = 0.800 = 0.8000 = ______
Similarly, 1.8 = 1.80 = 1.800 ; 37.41 = 37.410 = 37.4100, etc.

From the above it is clear that writing zeros at the right hand end of a decimal number does not change its value.

1. Like Decimals and Unlike Decimals
Decimals having the same number of decimal places are called like decimals.
Notes: Fractions & Decimals | Mathematics & Pedagogy Paper 1 for CTET & TET Exams - CTET & State TETDecimals having different number of decimal places are called unlike decimals.Thus, 1.2, 4.03, 0.895 are all unlike decimals.2. Converting Unlike Decimals to Like Decimals
Unlike decimals can be converted to like decimals by finding their equivalent decimals.

Example 1: Convert 6.8, 7.83 and 12.040 to like decimals.

The greatest number of decimal places is 3, so we convert all of them to equivalent decimals with 3 decimal places.
6.8 → 6.800, 7.83 → 7.830, 12.040
Hence, 6.8, 7.83 and 12.040 when converted to like decimals becomes 6.800, 7.830, 12.040.

Comparing and Ordering Decimals

1. Comparing Decimals
To compare decimal numbers, we follow the following steps.
Step 1: Convert the decimals into like decimals.
Step 2: First, compare the whole number parts. The number with the greater whole number part is greater.
Step 3: If the whole number parts are the same, compare the tenths digits. The decimal number having greater tenths digit names a greater number.
Step 4: If the tenths digits are the same, compare the hundredths digits and so on.

Example 2: Which number is bigger: 3.612 or 3.621?

The numbers are
Notes: Fractions & Decimals | Mathematics & Pedagogy Paper 1 for CTET & TET Exams - CTET & State TETOn comparing the digits from the left, you find that the hundredths digits differ. Since 2 hundredths > 1 hundredths, therefore, 3.621 > 3.612.

2. Ordering Decimals

Example 3: Arrange 21.012, 21.002, 24.102 in increasing order.

On comparing the whole number parts, you find that 24.102 is the greatest. Now, compare 210.12 and 21.002.
The whole number parts being the same, we start comparing from the tenths digit.
Notes: Fractions & Decimals | Mathematics & Pedagogy Paper 1 for CTET & TET Exams - CTET & State TETThe digits at the hundredths differ. Since 1 hundredths > 0 hundredth, so 21.012 > 21.002.Thus, the given numbers in increasing order are: 21.002, 21.012, 24.102.

Addition and Subtraction of Decimals

1. Addition
To add two or more decimals, we follow these steps.
Step 1: Convert the decimal to like decimals.
Step 2: Line up the decimal points, i.e., the addends are placed one below the other such that the tens digit is below tens, ones is below ones, decimal points below the decimal point, tenths below the tenths and so on.
Step 3: Add, as in case of whole numbers. Carry wherever necessary.
Step 4: Place the decimal point in the sum directly below the decimal point in the addends.

Example 4: Add: 4.83, 312.9 and 23.031.

First, we convert the numbers to be added to like decimals.
We have: 4.83 → 4.830, 312.9 → 312.900, 23.031.
Now, line up the decimals and add.
Notes: Fractions & Decimals | Mathematics & Pedagogy Paper 1 for CTET & TET Exams - CTET & State TET

Example 5: Add: 6.9, 3.405 and 9.46.

First, we convert the numbers to be added to like decimals.
Converting into like decimals 6.9 → 6.900, 3.405,  9.46 → 9.460.
Now, line up the decimals and add.
Notes: Fractions & Decimals | Mathematics & Pedagogy Paper 1 for CTET & TET Exams - CTET & State TET

Edurev Tips: A whole number can be expressed in the decimal form as: 12 = 12.0 or 12.00 or 12.000 and so on.

2. Subtraction
To subtract one decimal number from the other, we follow the steps given below.
Step 1: Convert the decimal to like decimals.
Step 2: Line up the decimal points.
Step 3: Subtract in each place value.
Step 4: Regroup, wherever necessary.

Example 6: Subtract 6.253 from 16.67.

  1. Convert into like decimals as 16.67 → 16.670, 6.253 and line up the decimal points.
  2. Subtract the thousandths.
    You cannot subtract 3 thousandths from 0 thousandths, so borrow 1 hundredths from 7 hundredths leaving behind 6 hundredths.
    1 hundredths = 10 thousandths
    0 thousandths → 10 thousandths
    Now, subtract thousandths, 10 – 3 = 7 thousandths.
  3. Subtract the hundredths.
    6 – 5 = 1 hundredth
  4. Subtract the tenths.
    6 – 2 = 4 tenths
  5. Subtract the ones.
    6 – 6 = 0 ones
  6. Subtract the tens.
    1 – 0 = 1 ten
    Notes: Fractions & Decimals | Mathematics & Pedagogy Paper 1 for CTET & TET Exams - CTET & State TETSo, 16.67 – 6.253 = 10.417.

Example 7: Find 312.8 – 59.98.

Notes: Fractions & Decimals | Mathematics & Pedagogy Paper 1 for CTET & TET Exams - CTET & State TET

Multiplication of Decimals

1. Multiplication by 10, 100, 1000
Observe the following examples.
(i)Notes: Fractions & Decimals | Mathematics & Pedagogy Paper 1 for CTET & TET Exams - CTET & State TETNotes: Fractions & Decimals | Mathematics & Pedagogy Paper 1 for CTET & TET Exams - CTET & State TET5 tenths × 10 = 5 ones0.5 × 10 = 5
(ii) Notes: Fractions & Decimals | Mathematics & Pedagogy Paper 1 for CTET & TET Exams - CTET & State TETNotes: Fractions & Decimals | Mathematics & Pedagogy Paper 1 for CTET & TET Exams - CTET & State TET2 ones 7 tenths × 10 = 2 tens 7 ones2.7 × 10 = 27

We observe that:
Multiplying a decimal by 10 moves the decimal point 1 place to the right.

(iii) Notes: Fractions & Decimals | Mathematics & Pedagogy Paper 1 for CTET & TET Exams - CTET & State TETNotes: Fractions & Decimals | Mathematics & Pedagogy Paper 1 for CTET & TET Exams - CTET & State TET1 ones 7 tenths 8 hundredths × 100= 1 hundreds 7 tens 8 ones
(iv) Notes: Fractions & Decimals | Mathematics & Pedagogy Paper 1 for CTET & TET Exams - CTET & State TET
Notes: Fractions & Decimals | Mathematics & Pedagogy Paper 1 for CTET & TET Exams - CTET & State TET3 tenths × 100 = 3 tens

We observe that:
Multiplying a decimal by 100 moves the decimal point 2 places to the right.

(v) Notes: Fractions & Decimals | Mathematics & Pedagogy Paper 1 for CTET & TET Exams - CTET & State TETNotes: Fractions & Decimals | Mathematics & Pedagogy Paper 1 for CTET & TET Exams - CTET & State TET2 thousandths × 1000 = 2 ones

Edurev Tips: A number without a decimal point is considered to have the decimal point to the extreme right. 317 means 317.0

(vi) Notes: Fractions & Decimals | Mathematics & Pedagogy Paper 1 for CTET & TET Exams - CTET & State TETNotes: Fractions & Decimals | Mathematics & Pedagogy Paper 1 for CTET & TET Exams - CTET & State TET1 one 8 tenths = 1 thousand 8 hundreds(vii) Notes: Fractions & Decimals | Mathematics & Pedagogy Paper 1 for CTET & TET Exams - CTET & State TETNotes: Fractions & Decimals | Mathematics & Pedagogy Paper 1 for CTET & TET Exams - CTET & State TET

We observe that:
Multiplying a decimal by 1000 moves the decimal point 3 places to the right.

2. Multiplication by a Counting Number

Example 8: If one litre of petrol costs ₹ 74.03, what will be the cost of 12 litres of petrol?

Cost of 12 L petrol = ₹ 74.03 × 12
Notes: Fractions & Decimals | Mathematics & Pedagogy Paper 1 for CTET & TET Exams - CTET & State TETNotes: Fractions & Decimals | Mathematics & Pedagogy Paper 1 for CTET & TET Exams - CTET & State TETStep 1: Multiply, as you would multiply counting numbers.
Notes: Fractions & Decimals | Mathematics & Pedagogy Paper 1 for CTET & TET Exams - CTET & State TETStep 2: Place the decimal point in the product at a place so that the number of decimal places in the product is equal to the total number of decimal places of the factors.
Notes: Fractions & Decimals | Mathematics & Pedagogy Paper 1 for CTET & TET Exams - CTET & State TET

Example 9: Multiply 6.095 by 45.

Notes: Fractions & Decimals | Mathematics & Pedagogy Paper 1 for CTET & TET Exams - CTET & State TET

3. Multiplication of a Decimal Number by a Decimal Number
Lets us find the product of 12.7 and 0.4.
Notes: Fractions & Decimals | Mathematics & Pedagogy Paper 1 for CTET & TET Exams - CTET & State TETThe above work can also be set as:
Working
Notes: Fractions & Decimals | Mathematics & Pedagogy Paper 1 for CTET & TET Exams - CTET & State TETMultiply, as you would multiply the counting numbers.Notes: Fractions & Decimals | Mathematics & Pedagogy Paper 1 for CTET & TET Exams - CTET & State TETThe total number of decimal places in the product is equal to the sum of the decimal places of the factors.

Example 10: Multiply:
(a) 0.8 × 0.3
(b) 0.007 × 0.03
(c) 0.009 × 1.2

(a)
Notes: Fractions & Decimals | Mathematics & Pedagogy Paper 1 for CTET & TET Exams - CTET & State TETNotes: Fractions & Decimals | Mathematics & Pedagogy Paper 1 for CTET & TET Exams - CTET & State TET(b)
Notes: Fractions & Decimals | Mathematics & Pedagogy Paper 1 for CTET & TET Exams - CTET & State TETNotes: Fractions & Decimals | Mathematics & Pedagogy Paper 1 for CTET & TET Exams - CTET & State TET(c)
Notes: Fractions & Decimals | Mathematics & Pedagogy Paper 1 for CTET & TET Exams - CTET & State TETNotes: Fractions & Decimals | Mathematics & Pedagogy Paper 1 for CTET & TET Exams - CTET & State TET

Example 11: Multiply 23.02 by 0.12.

Notes: Fractions & Decimals | Mathematics & Pedagogy Paper 1 for CTET & TET Exams - CTET & State TET

Example 12: Multiply 1.035 by 2.95.

Notes: Fractions & Decimals | Mathematics & Pedagogy Paper 1 for CTET & TET Exams - CTET & State TET

Example 13: Multiply:
(a) 2.6 by 30
(b) 13.46 by 600

(a) 2.6 × 30 = 2.6 × 3 × 10 = 7.8 × 10 = 78.
(b) 13.46 × 600 = 13.46 × 6 × 100 = 80.76 × 100 = 8076.

Division of Decimals

1. Division by 10, 100, 1000
Observe the following examples.
(i) Notes: Fractions & Decimals | Mathematics & Pedagogy Paper 1 for CTET & TET Exams - CTET & State TETNotes: Fractions & Decimals | Mathematics & Pedagogy Paper 1 for CTET & TET Exams - CTET & State TET2 ones ÷ 10 = 2 tenths = 0.2

(ii) Notes: Fractions & Decimals | Mathematics & Pedagogy Paper 1 for CTET & TET Exams - CTET & State TETNotes: Fractions & Decimals | Mathematics & Pedagogy Paper 1 for CTET & TET Exams - CTET & State TET6 tenths ÷ 10 = 6 hundredths = 0.06

We observe that:
Dividing a decimal by 10 moves the decimal point one place to the left.

(iii) Notes: Fractions & Decimals | Mathematics & Pedagogy Paper 1 for CTET & TET Exams - CTET & State TET
Notes: Fractions & Decimals | Mathematics & Pedagogy Paper 1 for CTET & TET Exams - CTET & State TET

4 ones ÷ 100 = 4 hundredths = 0.04

(iv) Notes: Fractions & Decimals | Mathematics & Pedagogy Paper 1 for CTET & TET Exams - CTET & State TETNotes: Fractions & Decimals | Mathematics & Pedagogy Paper 1 for CTET & TET Exams - CTET & State TET2 ones 7 tenths ÷ 100 = 2 hundredths 7 thousandths = 0.027

Dividing a decimal by 100 moves the decimal point 2 places to the left.

(v) Notes: Fractions & Decimals | Mathematics & Pedagogy Paper 1 for CTET & TET Exams - CTET & State TETNotes: Fractions & Decimals | Mathematics & Pedagogy Paper 1 for CTET & TET Exams - CTET & State TET7 ones ÷ 1000 = 7 thousandths = 0.007

(vi) Notes: Fractions & Decimals | Mathematics & Pedagogy Paper 1 for CTET & TET Exams - CTET & State TET

(vii) Notes: Fractions & Decimals | Mathematics & Pedagogy Paper 1 for CTET & TET Exams - CTET & State TET

Dividing a decimal by 1000 moves the decimal point 3 places to the left.

2. Division by a Counting Number

Example 14: Find: 20.22 ÷ 6.

Compare the two workings shown below.
Step 1:
Notes: Fractions & Decimals | Mathematics & Pedagogy Paper 1 for CTET & TET Exams - CTET & State TET1. 20.22 / 6
Step 2:
Notes: Fractions & Decimals | Mathematics & Pedagogy Paper 1 for CTET & TET Exams - CTET & State TET2. Notes: Fractions & Decimals | Mathematics & Pedagogy Paper 1 for CTET & TET Exams - CTET & State TETStep 3:
Notes: Fractions & Decimals | Mathematics & Pedagogy Paper 1 for CTET & TET Exams - CTET & State TET3. 2022 / 6 = 337
Step 4:
Notes: Fractions & Decimals | Mathematics & Pedagogy Paper 1 for CTET & TET Exams - CTET & State TET4. 337 ÷ 100 = 3.37
Actual Working
Notes: Fractions & Decimals | Mathematics & Pedagogy Paper 1 for CTET & TET Exams - CTET & State TET
Method:
1. Divide, as you would divide counting numbers.
2. Place the decimal point in the quotient directly above the decimal point in the dividend.
Short form
Notes: Fractions & Decimals | Mathematics & Pedagogy Paper 1 for CTET & TET Exams - CTET & State TET

So, 20.22 ÷ 6 = 3.37

Example 15: Divide: 2.67 by 3.

Notes: Fractions & Decimals | Mathematics & Pedagogy Paper 1 for CTET & TET Exams - CTET & State TET3 > 2, so we put a zero in the quotient.Check
3 × 0.89 = 2.67
∴ 2.67 ÷ 3 = 0.89.

Example 16: Solve: 1414.332 ÷ 17.

Notes: Fractions & Decimals | Mathematics & Pedagogy Paper 1 for CTET & TET Exams - CTET & State TET∴ 1414.332 ÷ 17 = 83.196.

Example 17: Divide the following.
(a) 14.448 ÷ 14
(b) 262.85 ÷ 35

(a)

Notes: Fractions & Decimals | Mathematics & Pedagogy Paper 1 for CTET & TET Exams - CTET & State TET∴ 14.448 ÷ 14 = 1.032.
(b)
Notes: Fractions & Decimals | Mathematics & Pedagogy Paper 1 for CTET & TET Exams - CTET & State TET∴ 262.85 ÷ 35 = 7.51.
Check
35 × 7.51 = 262.85
If the last remainder is not zero, write as many zeros on the right of the dividend as are necessary to make the last remainder zero.

Example 18: Find: 9.2 ÷ 16.

Notes: Fractions & Decimals | Mathematics & Pedagogy Paper 1 for CTET & TET Exams - CTET & State TET∴ 9.2 ÷ 16 = 0.575.

When the divisor is a multiple of 10 or 100 or 1000, etc., then the process of division can be shortened, as shown below.

Example 19: Find: 94.24 ÷ 80.

Notes: Fractions & Decimals | Mathematics & Pedagogy Paper 1 for CTET & TET Exams - CTET & State TET∴ 94.24 ÷ 80 = 1.178
Short form:
Notes: Fractions & Decimals | Mathematics & Pedagogy Paper 1 for CTET & TET Exams - CTET & State TET

Edurev Tips: 94.24 ÷ 10 = 9.424

3. Division of a Decimal Number by a Decimal Number
You have learnt how to divide a decimal number by a whole number. To divide a decimal number by a decimal number, we make the divisor a whole number.
Look at the following example.
Notes: Fractions & Decimals | Mathematics & Pedagogy Paper 1 for CTET & TET Exams - CTET & State TET

(i) Multiply the divisor by a multiple of 10 to make it a whole number.
Thus, 0.7 × 10 = 7.

(ii) Multiply the dividend by the same multiple of 10.
Thus, 4.41 × 10 = 44.1.
Now, divide as usual:
44.1 ÷ 7 = 44.1 / 7 = 6.3
Notes: Fractions & Decimals | Mathematics & Pedagogy Paper 1 for CTET & TET Exams - CTET & State TETThe work can be set as:
Notes: Fractions & Decimals | Mathematics & Pedagogy Paper 1 for CTET & TET Exams - CTET & State TET

Example 20: Divide : (a) 6.265 ÷ 0.07 (b) 1.8 ÷ 0.003

(a)
Notes: Fractions & Decimals | Mathematics & Pedagogy Paper 1 for CTET & TET Exams - CTET & State TET
(b)
Notes: Fractions & Decimals | Mathematics & Pedagogy Paper 1 for CTET & TET Exams - CTET & State TET

Example 21: Divide: 4.20 by 1.05.

4.20 ÷ 1.05 = 4.20 / 1.05
Notes: Fractions & Decimals | Mathematics & Pedagogy Paper 1 for CTET & TET Exams - CTET & State TET2 decimal places in divisor, s o shif t de cima l p oint 2 places to the right both in divisor and dividend.Notes: Fractions & Decimals | Mathematics & Pedagogy Paper 1 for CTET & TET Exams - CTET & State TET∴ 4.20 ÷ 1.05 = 4.

Example 22: Find 20.169 ÷ 0.83.

Notes: Fractions & Decimals | Mathematics & Pedagogy Paper 1 for CTET & TET Exams - CTET & State TETShift decimal point 2 places to the right.Notes: Fractions & Decimals | Mathematics & Pedagogy Paper 1 for CTET & TET Exams - CTET & State TET∴ 20.169 ÷ 0.83 = 24.3.

Example 23: Divide 66.468 by 76.4.

Notes: Fractions & Decimals | Mathematics & Pedagogy Paper 1 for CTET & TET Exams - CTET & State TET∴ 66.468 ÷ 76.4 = 0.87.

Example 24: Divide:
(a) 90 ÷ 0.60
(b) 36 ÷ 0.06

(a)
Notes: Fractions & Decimals | Mathematics & Pedagogy Paper 1 for CTET & TET Exams - CTET & State TET(b)
Notes: Fractions & Decimals | Mathematics & Pedagogy Paper 1 for CTET & TET Exams - CTET & State TET

Changing Common Fractions to Decimal Fractions

Example 25: Change 4 / 5 to a decimal fraction.

To convert 4 / 5 to a decimal, we divide the numerator 4 by the denominator 5, as follows.

Notes: Fractions & Decimals | Mathematics & Pedagogy Paper 1 for CTET & TET Exams - CTET & State TETPut decimal point after the whole number and add 1 zero to ensure complete division.∴ 4 / 5 = 0.8.

Example 26: Express 85 / 16 as a decimal.

To convert 85 / 16 to a decimal, divide the numerator 85 by the denominator 16.
Notes: Fractions & Decimals | Mathematics & Pedagogy Paper 1 for CTET & TET Exams - CTET & State TETPut decimal point after the whole number and add 4 zeros to ensure complete division.∴ 85 / 16 = 5.3125.

The document Notes: Fractions & Decimals | Mathematics & Pedagogy Paper 1 for CTET & TET Exams - CTET & State TET is a part of the CTET & State TET Course Mathematics & Pedagogy Paper 1 for CTET & TET Exams.
All you need of CTET & State TET at this link: CTET & State TET
30 videos|210 docs|69 tests

FAQs on Notes: Fractions & Decimals - Mathematics & Pedagogy Paper 1 for CTET & TET Exams - CTET & State TET

1. What is a fraction?
Ans. A fraction represents a part of a whole or a ratio of two numbers. It consists of a numerator (the top number) and a denominator (the bottom number) separated by a fraction bar.
2. How do you find equivalent fractions?
Ans. Equivalent fractions are fractions that represent the same value but have different numerators and denominators. To find equivalent fractions, you can multiply or divide both the numerator and denominator by the same non-zero number.
3. How do you write a fraction in its simplest form?
Ans. To write a fraction in its simplest form, you need to find the greatest common factor (GCF) of the numerator and denominator and then divide both numbers by the GCF to reduce the fraction to its simplest form.
4. How do you compare fractions?
Ans. To compare fractions, you can either convert them to a common denominator or use cross-multiplication. When comparing fractions with the same denominator, you can simply compare the numerators.
5. How do you add and subtract fractions?
Ans. To add or subtract fractions, you need to make sure they have the same denominator. If they don't, you can find a common denominator by multiplying the denominators together. Once the fractions have the same denominator, you can add or subtract the numerators while keeping the denominator the same.
Related Searches

Free

,

study material

,

Viva Questions

,

Previous Year Questions with Solutions

,

practice quizzes

,

MCQs

,

Semester Notes

,

Notes: Fractions & Decimals | Mathematics & Pedagogy Paper 1 for CTET & TET Exams - CTET & State TET

,

Extra Questions

,

past year papers

,

Notes: Fractions & Decimals | Mathematics & Pedagogy Paper 1 for CTET & TET Exams - CTET & State TET

,

Sample Paper

,

ppt

,

shortcuts and tricks

,

Exam

,

pdf

,

Summary

,

video lectures

,

Important questions

,

Notes: Fractions & Decimals | Mathematics & Pedagogy Paper 1 for CTET & TET Exams - CTET & State TET

,

Objective type Questions

,

mock tests for examination

;