Electrical Engineering (EE) Exam  >  Electrical Engineering (EE) Notes  >  Engineering Mathematics for Electrical Engineering  >  Cauchy’s integral theorem and integral formula

Cauchy’s integral theorem and integral formula | Engineering Mathematics for Electrical Engineering - Electrical Engineering (EE) PDF Download

Cauchy’s Integral Formula

Cauchy's integral formula is a fundamental result in complex analysis, a branch of mathematics. It asserts that a holomorphic function defined on a disk is completely determined by its values on the boundary of the disk. This formula provides integral representations for all derivatives of a holomorphic function. Named after Augustin-Louis Cauchy, this theorem is a cornerstone of complex analysis.

Simply Connected Region
A region is termed as simply connected if, for any closed curve C within the region, all points inside CC are also contained within the region. This implies that the region has no holes or isolated boundary points.

Cauchy’s Integral Theorem

Statement: If f(z) is an analytic function in a simply-connected region R, then ∫c f(z) dz = 0 for every closed contour c contained in R.

(or)

If f(z) is an analytic function and its derivative f'(z) is continuous at all points within and on a simple closed curve C, then ∫c f(z) dz = 0.

Cauchy’s Integral Formula

If a complex function f(z) is analytic within and on a closed contour c inside a simply-connected domain, and if z0 is any point in the middle of C, thenCauchy’s integral theorem and integral formula | Engineering Mathematics for Electrical Engineering - Electrical Engineering (EE)Here, the integral should be taken in the positive sense around c.

Generalisation of Cauchy’s Integral Formula

If f(z) is an analytic function within and on a simple closed curve C and if z0 is any point within c, thenCauchy’s integral theorem and integral formula | Engineering Mathematics for Electrical Engineering - Electrical Engineering (EE)Converse of Cauchy’s Integral Theorem

If a complex function f(z) is continuous throughout the simple connected domain D and if ∫c f(z) dz = 0 for every closed contour c in D, then f(z) will be an analytic function in D.

This theorem is also known as Morera’s theorem.

Solved Numericals

Q1. The value of the integral Cauchy’s integral theorem and integral formula | Engineering Mathematics for Electrical Engineering - Electrical Engineering (EE)where C is the circle of radius 2 centred at the origin taken in the anti-clockwise direction is:
Solution:

Cauchy’s integral theorem and integral formula | Engineering Mathematics for Electrical Engineering - Electrical Engineering (EE)
f(z) is a polynomial of degree 101 so number of zeros of f(z) is 101
Hence using Cauchy's argument principle,
Cauchy’s integral theorem and integral formula | Engineering Mathematics for Electrical Engineering - Electrical Engineering (EE)


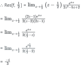
Q2. What is the value of Cauchy’s integral theorem and integral formula | Engineering Mathematics for Electrical Engineering - Electrical Engineering (EE), where C is the circle |z| = 1 is with positive orientation.
Solution: 
Given,

Cauchy’s integral theorem and integral formula | Engineering Mathematics for Electrical Engineering - Electrical Engineering (EE)

C is the circle |z| = 1 is with positive orientation

Let f(z) =  Cauchy’s integral theorem and integral formula | Engineering Mathematics for Electrical Engineering - Electrical Engineering (EE)

Putting 2z- 5z + 2 = 0

2z- 4z - z + 2 = 0

⇒ 2z(z - 2) - 1(z - 2) = 0

⇒ (z - 2)(2z - 1) = 0

Cauchy’s integral theorem and integral formula | Engineering Mathematics for Electrical Engineering - Electrical Engineering (EE)

Now z = 12 1/2 lies inside C 
Cauchy’s integral theorem and integral formula | Engineering Mathematics for Electrical Engineering - Electrical Engineering (EE)

Cauchy’s integral theorem and integral formula | Engineering Mathematics for Electrical Engineering - Electrical Engineering (EE)

∴ The value of the given integral is 2π/3.


Q3. The value of Cauchy’s integral theorem and integral formula | Engineering Mathematics for Electrical Engineering - Electrical Engineering (EE) is where C is a circle |z| = 1,
Solution: Given,

Cauchy’s integral theorem and integral formula | Engineering Mathematics for Electrical Engineering - Electrical Engineering (EE)
C is a circle, lzl=1
Let f(z) = Cauchy’s integral theorem and integral formula | Engineering Mathematics for Electrical Engineering - Electrical Engineering (EE)𝑧24𝑧(𝑧2+9)
Putting z(z+ 9) = 0
⇒ z = 0, 3i, - 3i
Now, z = 0 lies inside C.
Cauchy’s integral theorem and integral formula | Engineering Mathematics for Electrical Engineering - Electrical Engineering (EE)

Cauchy’s integral theorem and integral formula | Engineering Mathematics for Electrical Engineering - Electrical Engineering (EE)

∴ The value of given integral isCauchy’s integral theorem and integral formula | Engineering Mathematics for Electrical Engineering - Electrical Engineering (EE)


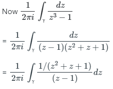
Q4. Let γ be the positively oriented circle in the complex plane given by {z ∈ ℂ: |z – 1| = 1}.  Then Cauchy’s integral theorem and integral formula | Engineering Mathematics for Electrical Engineering - Electrical Engineering (EE) equals:
Solution: 
Given,
Let γ be the positively oriented circle in the complex plane given by {z ∈ ℂ: |z – 1| = 1}.  Then Cauchy’s integral theorem and integral formula | Engineering Mathematics for Electrical Engineering - Electrical Engineering (EE)

Cauchy Integral Formula - 
Let f(z) be analytic in a region D and let C be a closed curve in D. If a is any point in D, then 

Cauchy’s integral theorem and integral formula | Engineering Mathematics for Electrical Engineering - Electrical Engineering (EE)

here Cauchy’s integral theorem and integral formula | Engineering Mathematics for Electrical Engineering - Electrical Engineering (EE) is a winding number. The winding number measures the number of times a path (counter-clockwise) winds around a point. 
We have γ = {z ∈ ℂ: |z – 1| = 1}.
Cauchy’s integral theorem and integral formula | Engineering Mathematics for Electrical Engineering - Electrical Engineering (EE)

Now using Cauchy Integral formula we get -
Cauchy’s integral theorem and integral formula | Engineering Mathematics for Electrical Engineering - Electrical Engineering (EE)

The document Cauchy’s integral theorem and integral formula | Engineering Mathematics for Electrical Engineering - Electrical Engineering (EE) is a part of the Electrical Engineering (EE) Course Engineering Mathematics for Electrical Engineering.
All you need of Electrical Engineering (EE) at this link: Electrical Engineering (EE)
44 videos|109 docs|58 tests

FAQs on Cauchy’s integral theorem and integral formula - Engineering Mathematics for Electrical Engineering - Electrical Engineering (EE)

1. What is Cauchy’s Integral Formula?
Ans. Cauchy’s Integral Formula states that if \( f(z) \) is a function that is continuous on and inside a simple closed curve \( C \), and has a derivative at every point inside \( C \), then for any point \( a \) inside \( C \), the value of \( f(a) \) can be expressed in terms of an integral around \( C \).
2. How is Cauchy’s Integral Formula different from Cauchy’s Integral Theorem?
Ans. Cauchy’s Integral Formula is used to calculate the value of a function at a point inside a closed curve \( C \), while Cauchy’s Integral Theorem states that if a function is analytic inside and on a simple closed curve \( C \), then the line integral of that function around \( C \) is equal to zero.
3. What is the significance of Cauchy’s Integral Formula in Mechanical Engineering?
Ans. In Mechanical Engineering, Cauchy’s Integral Formula is often used in the analysis and design of systems involving fluid flow, heat transfer, and stress distribution. It helps in calculating complex integrals to determine important parameters in engineering applications.
4. How is Cauchy’s Integral Formula applied in real-world engineering problems?
Ans. Cauchy’s Integral Formula is applied in real-world engineering problems to analyze the stress distribution in mechanical components, predict the flow of fluids in pipes and channels, and determine the temperature distribution in heat transfer systems. It helps engineers make informed decisions based on mathematical models.
5. What are some common misconceptions about Cauchy’s Integral Formula and Theorem?
Ans. One common misconception is that Cauchy’s Integral Formula and Theorem are only applicable in theoretical mathematics and have no practical engineering applications. In reality, these concepts play a crucial role in solving complex engineering problems and optimizing design processes.
Related Searches

Previous Year Questions with Solutions

,

shortcuts and tricks

,

Exam

,

Cauchy’s integral theorem and integral formula | Engineering Mathematics for Electrical Engineering - Electrical Engineering (EE)

,

ppt

,

Viva Questions

,

Cauchy’s integral theorem and integral formula | Engineering Mathematics for Electrical Engineering - Electrical Engineering (EE)

,

Objective type Questions

,

Free

,

Extra Questions

,

practice quizzes

,

Semester Notes

,

mock tests for examination

,

Cauchy’s integral theorem and integral formula | Engineering Mathematics for Electrical Engineering - Electrical Engineering (EE)

,

pdf

,

Sample Paper

,

Important questions

,

study material

,

video lectures

,

MCQs

,

Summary

,

past year papers

;