Q1: A DC series motor with negligible series resistance is running at a certain speed driving a load, where the load torque varies as cube of the speed. The motor is fed from a 400 V DC source and draws 40 A armature current. Assume linear magnetic circuit. The external resistance, in Ω, that must be connected in series with the armature to reduce the speed of the motor by half, is closest to (2025)
(a) 23.28
(b) 4.82
(c) 46.7
(d) 0
Ans: (a)
Sol: Given that the DC series motor's load torque varies as the cube of its speed, we need to determine the external resistance required to reduce the motor's speed by half. Here's a step-by-step explanation:
Initial Setup:
The motor draws an armature current Ia = 40.
It is powered by a 400 V DC source.
The motor needs to run at half its initial speed.
Torque-Speed Relationship:
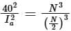
The torque T is proportional to the cube of the speed N:
T ∝ N3
For a series motor, torque is also proportional to the square of the armature current:

Therefore, we deduce:

Current Calculation for Halved Speed:
Let the new armature current for half speed be Ia = 10√2A.
Set up the proportionality based on speeds:

Solving gives Ia = 10√2A.
Voltage Equation:
Initial voltage equation without external resistance:
400 ∝ 40N
This implies that the voltage is directly proportional to the initial speed and current.
New Voltage Equation with External Resistance:
When the speed is halved and resistance is added:

Calculate External Resistance Rext:
Equating the proportional expressions, we get:

Solving this gives:
Rext = 23.28Ω
This calculation shows that an external resistance of approximately 23.28 is required to reduce the motor's speed by half while maintaining the specified load conditions.
Q2: A 5 kW. 220 V DC shunt motor has 0.5Ω armature resistance including brushes. The motor draws a no-load current of 3 A. The field current is constant at 1 A. Assuming that the core and rotational losses are constant and independent of the load, the current (in amperes) drawn by the motor while delivering the rated load, for the best possible efficiency, is _____ (rounded off to 2 decimal places). (2024)
(a) 27.28
(b) 36.25
(c) 18.56
(d) 23.35
Ans: (a)
Sol:
At no load, Eb = V−IaRa
= 220−(3−1)0.5
Eb = 219V
No load power developed
Mechanical loss = Eb⋅Ia
= 219×2 = 438 W
At rated load: Given :
Pout =500 W
Current drawn by motor
IL = Ia′ + 1 = 27.28 A
Q3: A separately excited DC motor rated 400 V, 15A, 1500RPM drives a constant torque load at rated speed operating from 400 V DC supply drawing rated current. The armature resistance is 1.2Ω. If the supply voltage drops by 10% with field current unaltered then the resultant speed of the motor in RPM is ___ (Round off to the nearest integer). (2023)
(a) 1343
(b) 2541
(c) 1145
(d) 1852
Ans: (a)
Sol: Seperately excited motor :
Back emf, Eb1 = 400 − 15 × 1.2 = 382 V
Given: τ = constant
∵ τ ∝ ϕIa
where ϕ → constant
∴ Ia → consant
If supply voltage is drops by 10%, then new value of supply voltage = 0.9 × 400 = 360 V
Now, back emf, Eb2= 360 − 15 × 1.2 = 342 V
We have,

Q4: A 280 V, separately excited DC motor with armature resistance of 1Ω and constant field excitation drives a load. The load torque is proportional to the speed. The motor draws a current of 30 A when running at a speed of 1000 rpm. Neglect frictional losses in the motor. The speed, in rpm, at which the motor will run, if an additional resistance of value 10Ω is connected in series with the armature, is _______. (round off to nearest integer) (2022)
(a) 482
(b) 254
(c) 365
(d) 625
Ans: (a)
Sol: Back emf,
Eb1 = 280−30×1 = 250V
When additional 10Ω10Ω resistance connected in series with armature.
Eb2 = 280−(10+1)Ia2 = 280−11Ia2
Given: τ ∝ N
We know, τ∝ϕIa (Here, ϕ→constant)
So,


Q5: A belt-driven DC shunt generator running at 300RPM300RPM delivers 100kW to a 200VDC grid. It continues to run as a motor when the belt breaks, taking 10kW from the DC grid. The armature resistance is 0.025Ω, field resistance is 50Ω, and brush drop is 2V. Ignoring armature reaction, the speed of the motor is _____ RPMRPM. (Round off to 2 decimal places.) (2021)
(a) 275.18
(b) 254.12
(c) 362.24
(d) 148.44
Ans: (s)
Sol:
In motoring case:
∴ 
∴ 
Q6: Consider a permanent magnet dc (PMDC) motor which is initially at rest. At t = 0, a dc voltage of 5 V is applied to the motor. Its speed monotonically increases from 0 rad/s to 6.32 rad/s in 0.5 s and finally settles to 10 rad/s. Assuming that the armature inductance of the motor is negligible, the transfer function for the motor is (2020)
(a)
(b)
(c)
(d)
Ans: (b)
Sol: 



Q7: A 250 V dc shunt motor has an armature resistance of 0.2Ω and a field resistance of 100Ω. When the motor is operated on no-load at rated voltage. It draws an armature current of 5 A and runs at 1200 rpm. When a load is coupled to the motor, it draws total line current of 50 A at rated voltage, with a 5% reduction in the air-gap flux due to armature reaction. Voltage drop across the brushes can be taken as 1 V per brush under all operating conditions. The speed of the motor, in rpm, under this loaded condition, is closest to: (2020)
(a) 1200
(b) 1000
(c) 1220
(d) 900
Ans: (c)
Sol: no load current 5 A



Q8: A 220 V DC shunt motor takes 3 A at no-load. It draws 25 A when running at full-load at 1500 rpm. The armature and shunt resistances are 0.5 Ω and 220 Ω,respectively. The no-load speed in rpm (round off to two decimal places) is ________ (2019)
(a) 4562.82
(b) 7896.28
(c) 1579.33
(d) 1583.44
Ans: (c)
Sol: 


Q9: A 200 V DC series motor, when operating from rated voltage while driving a certain load, draws 10 A current and runs at 1000 r.p.m. The total series resistance is 1 Ω. The magnetic circuit is assumed to be linear. At the same supply voltage, the load torque is increased by 44%. The speed of the motor in r.p.m. (rounded to the nearest integer) is ________ . (2018)
(a) 253
(b) 825
(c) 365
(d) 412
Ans: (b)
Sol: Form circuit diagram,

Load torque increased by 44% 



Q10: A separately excited dc motor has an armature resistance Ra = 0.05Ω. The field excitation is kept constant. At an armature voltage of 100 V, the motor produces a torque of 500 Nm at zero speed. Neglecting all mechanical losses, the no-load speed of the motor (in radian/s) for an armature voltage of 150 V is _____ (up to 2 decimal places). (2018)
(a) 50
(b) 500
(c) 600
(d) 850
Ans: (c)
Sol: Given separately initiated DC motor,
Field excitaion is constant,
Producing a torque of 500 N-m

When motor runs on no-load given all mechanical losses neglected. No-load current is negligible and the voltage drop at no-load can be negligible.
Already solved,

Q11: A 120 V DC shunt motor takes 2 A at no load. It takes 7 A on full load while running at 1200 rpm. The armature resistance is 0.8 Ω , and the shunt field resistance is 240 Ω . The no load speed, in rpm, is _______________. (SET-2 (2017))
(a) 1856
(b) 1479
(c) 3214
(d) 1242
Ans: (d)
Sol: Shunt motor take 7A on full load and runs at 1200 rpm.

Shunt motor takes 2A at no load


Q12: A 220 V, 10 kW, 900 rpm separately excited DC motor has an armature resistance Ra=0.02Ω. When the motor operates at rated speed and with rated terminal voltage, the electromagnetic torque developed by the motor is 70 Nm. Neglecting the rotational losses of the machine, the current drawn by the motor from the 220 V supply is (SET-2 (2017))
(a) 34.2A
(b) 30A
(c) 22A
(d) 4.84A
Ans: (b)
Sol: Neglecting rotor loss,



Separately excited motor,
∴ T ∝ Ia
For a torque 106.15 N-m
Ia = 45.75A
For a torque 70 N-m,
New 
Q13: A separately excited DC generator supplies 150 A to a 145 V DC grid. The generator is running at 800 RPM. The armature resistance of the generator is 0.1 Ω. If the speed of the generator is increased to 1000 RPM, the current in amperes supplied by the generator to the DC grid is _______. (SET-1 (2017))
(a) 200
(b) 55
(c) 550
(d) 145
Ans: (c)
Sol:
Given, Ra = 0.1Ω
As, DC generator is connected with DC grid, the output voltage will be constant.
When generator is running at 800 rpm,
Generator emf,
When generator is running at 1000 rpm,
Generator emf,
So, new armature currrent will be,

Q14: A 220 V DC series motor runs drawing a current of 30 A from the supply. Armature and field circuit resistances are 0.4 Ω and 0.1 Ω respectively. The load torque varies as the square of the speed. The flux in the motor may be taken as being proportional to the armature current. To reduce the speed of the motor by 50% the resistance in ohms that should be added in series with the armature is _________. (SET-1 (2017))
(a) 5.25
(b) 10.75
(c) 20.25
(d) 40.75
Ans: (b)
Sol:
For series motor,


Q154: A DC shunt generator delivers 45 A at a terminal voltage of 220 V. The armature and the shunt field resistances are 0.01 Ω and 44 Ω respectively. The stray losses are 375 W. The percentage efficiency of the DC generator is ____________. (SET-1 (2016))
(a) 160.25
(b) 48.25
(c) 86.84
(d) 44.65
Ans: (c)
Sol:
Stay losses = 375 Watt


Q16: A 4-pole, lap-connected, separately excited dc motor is drawing a steady current of 40 A while running at 600 rpm. A good approximation for the waveshape of the current in an armature conductor of the motor is given by (SET-1 (2016))
(a)
(b)
(c)
(d)
Ans: (c)
Sol: 4 pole, lap-connected, separatelt excited dc motor, N= 600 rpm
Itotal = 40A
Parallel path= 4 = no. of poles
Current in each parallel path = 40/4 = 10A
Current in armature conductor = 10A

So,

Q17: With an armature voltage of 100 V and rated field winding voltage, the speed of a separately excited DC motor driving a fan is 1000 rpm, and its armature current is 10 A. The armature resistance is 1 Ω. The load torque of the fan load is proportional to the square of the rotor speed. Neglecting rotational losses, the value of the armature voltage (in Volt) which will reduce the rotor speed to 500 rpm is ______. (SET-2 (2015))
(a) 22.4
(b) 54.6
(c) 552
(d) 47.5
Ans: (d)
Q18: A 4-pole, separately excited, wave wound DC machine with negligible armature resistance is rated for 230 V and 5 kW at a speed of 1200 rpm. If the same armature coils are reconnected to form a lap winding, what is the rated voltage (in volts) and power (in kW) respectively at 1200 rpm of the reconnected machine if the field circuit is left unchanged ? (SET-2 (2015))
(a) 230 and 5
(b) 115 and 5
(c) 115 and 2.5
(d) 230 and 2.5
Ans: (b)
Sol: A=2, separately excited dc machine
For wave winding,
Dividing equation (i) by equation (ii),
For Power:
Wave:
Total conductor in single path = Z/2
Let, resistance of = Z/2 conductor =R
Total resistance,

Total conductor in single path = Z/4
Let, resistance of single path = R/2
Total resistance 
By equation (i) and (ii),

Q19: A DC motor has the following specifications: 10 hp, 37.5 A, 230 V; flux/pole = 0.01 Wb, number of poles = 4, number of conductors = 666, number of parallel paths = 2. Armature resistance = 0.267 Ω. The armature reaction is negligible and rotational losses are 600 W. The motor operates from a 230 V DC supply. If the motor runs at 1000 rpm, the output torque produced (in Nm) is ___-________. (SET-1 (2015))
(a) 25.8
(b) 48.6
(c) 57.8
(d) 64.4
Ans: (c)
Sol: 

Q20: A separately excited DC motor runs at 1000 rpm on no load when its armature terminals are connected to a 200V DC source and the rated voltage is applied to the field winding. The armature resistance of this motor is 1 Ω. The no-load armature current is negligible. With the motor developing its full load torque, the armature voltage is set so that the rotor speed is 500 rpm. When the load torque is reduced to 50% of the full load value under the same armature voltage conditions, the speed rises to 520 rpm. Neglecting the rotational losses, the full load armature current (in Ampere) is _______. (SET-1 (2015))
(a) 2
(b) 4
(c) 8
(d) 16
Ans: (c)
Sol: 
From condition (1),
Since from (2),


on solving, IfL = 8A.
Q21: A separately excited DC generator has an armature resistance of 0.1 Ω and negligible armature inductance. At rated field current and rated rotor speed, its open-circuit voltage is 200 V. When this generator is operated at half the rated speed, with half the rated field current, an un-charged 1000 μF capacitor is suddenly connected across the armature terminals. Assume that the speed remains unchanged during the transient. At what time (in microsecond) after the capacitor is connected will the voltage across it reach 25 V? (SET-1 (2015))
(a) 62.25
(b) 69.30
(c) 73.25
(d) 77.3
Ans: (b)
Sol: 




Q22: A separately excited 300 V DC shunt motor under no load runs at 900 rpm drawing an armature current of 2 A. The armature resistance is 0.5 Ω and leakage inductance is 0.01 H. When loaded, the armature current is 15 A. Then, the speed in rpm is _____. (SET-3 (2014))
(a) 332.23
(b) 468.85
(c) 880.43
(d) 956.48
Ans: (c)
Sol: Given, V = 300volt, no load speed
= 900rpm, no load current
Also, full load armature current,
Iaf = 15A
∴ induced emf in armature at load,

Let the speed of motor during loaded condition be N.
We know that:

Q23: The no-load speed of a 230 V separately excited dc motor is 1400 rpm. The armature resistance drop and the brush drop are neglected. The field current is kept constant at rated value. The torque of the motor in Nm for an armature current of 8 A is ________. (SET-3 (2014))
(a) 4.25
(b) 6.55
(c) 12.55
(d) 18.65
Ans: (c)
Sol: Given, Ia = 8A
No-load speed, N0 = 1400 rpm, V = 230 volt
Power developed in the motor, P = EaIa
Also Power, P = Torque × ω0
or, Torque
Since, armature resistance drop and brush drop are neglected therefore.


Q24: For a single phase, two winding transformer, the supply frequency and voltage are both increased by 10%. The percentage changes in the hysteresis loss and eddy current loss, respectively, are (SET-2 (2014))
(a) 10 and 21
(b) -10 and 21
(c) 21 and 10
(d) -21 and 10
Ans: (a)
Sol: Eddy current loss,
and Hysteresis loss,




Therefore, % increase in eddy current loss



Therefore, % increase in hysteresis loss
Thus, hysteresis loss increased by 10% and eddy current loss by 21%.
Q25: A 250 V dc shunt machine has armature circuit resistance of 0.6 Ω and field circuit resistance of 125 Ω. The machine is connected to 250 V supply mains. The motor is operated as a generator and then as a motor separately. The line current of the machine in both the cases is 50 A. The ratio of the speed as a generator to the speed as a motor is _____. (SET-2 (2014))
(a) 0.77
(b) 1.27
(c) 0.55
(d) 1.52
Ans: (b)
Sol: Given, V = 250V, Ra = 0.6Ω, Rf = 125Ω, IL= 50A both for motor as well as generator action.
Field current,
For motor action:
For generator action:
For a DC shunt machine, Ea ∝ ϕωn
Therefore, ratio of the speed as a generator to the speed of motor = 1.271
Q26: A 15 kW, 230 V dc shunt motor has armature circuit resistance of 0.4 Ω and field circuit resistance of 230 Ω . At no load and rated voltage, the motor runs at 1400 rpm and the line current drawn by the motor is 5 A. At full load, the motor draws a line current of 70 A. Neglect armature reaction. The full load speed of the motor in rpm is _____. (SET-1 (2014))
(a) 620.14
(b) 1860.25
(c) 1240.63
(d) 410.46
Ans: (c)
Sol: 
No load armature current,
Induced emf at no-load,
Also, at full load,
Induced emf at full load,
we know that,
(as flux ϕ is constant in shunt motor)
Therefore, full-load speed of motor = 1240.63 rpm