Electric Charge
- Electric charge is an intrinsic property of protons and electrons and only two types of charge have been discovered positive and negative. It is a scalar quantity. Its SI unit is coulomb.
- Like charge bodies repel and unlike charge bodies attract each other.
- A proton has a positive charge ( +e ) and an electron has a negative charge ( −e ). | e | = 1.6 × 10−19 C .
Electricity
- The electricity deals with the movement of electric charges.
- Static Electricity When a plastic comb is rubbed against dry hair or a glass rod is rubbed with silk, they develop the ability to attract small objects like bits of paper, dust, and feathers. In this state, the plastic comb or glass rod is referred to as electrified or charged.
- The electricity generated through the friction between two suitable materials is known as static electricity, or sometimes frictional electricity.
- Friction causes one object to gain a positive charge and the other to acquire a negative charge, depending on their properties.
Question for Electricity
Try yourself:
Which type of charge does a proton possess?Explanation
- Protons possess a positive charge by nature.
- Positive charge is denoted by the symbol "+".
- Electrons, on the other hand, possess a negative charge.
Report a problem
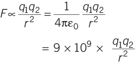
Coulomb’s Law
The electrostatic force of interaction acting between two stationary point charges is directly proportional to the product of magnitude of charges and inversely proportional to the square of the distance between them.
where, ε0 is called permittivity of free space.
Electric Field
- The space in the surrounding of any charge in which its influence can be experienced by other charge, is called electric field.
- Field created by a charge in their surroundings is called electric field.
- Electric field intensity (E) at any point is defined as the electrostatic force (F) acting per unit positive test charge (q0) at that point.
Its unit is newton/coulomb. - Electric field due to a point charge q at a distance r is given by

- Therefore, electric field intensity is inversely proportional to the square of the distance r from the point charge.
Electric Field Lines
- An electric field line is an imaginary line or curve drawn through a region of space so that its tangent at any point is in the direction of the electric field vector at that point. The relative closeness of the lines at some place gives an idea about the intensity of electric field at that point.
- Two lines can never intersect. Electric field lines always begin on a positive charge and end on a negative charge and do not start or stop in mid-space.
Electric Potential
- Electric potential at a point in an electric field is equal to the work done per unit charge in carrying a test charge from infinity to that point. Its unit is joule/coulomb.
- Electric potential, V = W/q0.
- Potential difference between two points in electric field is equal to the work done per unit charge in carrying a positive test charge from one point to the other point.
- Potential difference between two points A and B of the field, VA - VB = W/q0. Its unit is also joule/coulomb.
- Potential difference is that physical quantity which decides the direction of flow of charge between two points in electric field.
- Positive charge always tends to move from higher potential towards lower potential.
- When charge is given to a closed metallic body, it resides only on outer surface and electric field remains zero inside it but potential remains same at every point inside the conductor as that of on the surface of the conductor.
Electric Dipole and Capacitor
- An electric dipole consists of two equal and opposite point charges separated by a very small distance.
- Electric dipole moment of the dipole is product of charge and the separation between the charges.
- A capacitor or condenser is a device over which a large amount of charge can be stored without changing its dimensions. A capacitor is used in several electrical devices having an electric motor and in electronic circuits.
- The capacitance of a conductor is equal to the ratio of the charge (q) given to the conductor to change in its potential (V ) is given by
C = q/V - Its unit is coulomb/volt or farad. Farad (F) is a large unit of capacitance. Its practical unit is microfarad (µ F).
1 µ F = 10−6F
Type of Materials
- Conductors are materials that contain a large number of free electrons, allowing them to conduct electricity effectively. Metals are excellent conductors of electricity.
- Insulators are materials that lack free electrons within their structure and therefore do not conduct electricity. Examples of insulators include wood, plastic, and rubber.
- Semiconductors are materials that do not have free electrons at room temperature but develop free electrons when the temperature is increased, thus exhibiting conductive properties. Silicon and germanium are examples of semiconductors.
Electric Current
- Electric current is simply a flow of charge. Its magnitude is equal to the time rate of flow of charge through any conductor. Its unit is ampere. It is a scalar quantity.
Electric current, l = q/t - An electric current whose magnitude and direction do not change with time is called direct current, and whose magnitude changes continuously and direction changes periodically is called alternating current.
- Inverter is a device which converts DC to AC.
- In solid conductors, electric current flows due to flow of electrons, in liquids due to flow of ions as well as electrons and in semiconductors due to flow of electrons and holes.
Electrical Resistance
- The obstruction offered by any conductor in the path of flow of current, is called its electrical resistance. Its SI unit is ohm (Ω) and its dimension is [ML2T–3A–2].
- Electrical resistance of a conductor,
R = ρI/A
where, l = length of the conductor
A = cross-sectional area
ρ = resistivity of the material of the conductor.
Conductance
Conductance and conductivity is the reciprocal of resistance and the resistivity of the material respectively. The SI unit of conductance is Ω−1 i.e., mho and to that of conductivity is Ω−1 m−1.
Question for Electricity
Try yourself:
Which of the following statements is true about electric field lines?Explanation
- Electric field lines are imaginary lines drawn through a region of space to show the direction of the electric field.
- They always begin on a positive charge and end on a negative charge.
- Two electric field lines can never intersect.
- Electric field lines do not start or stop in mid-space, they always originate from a positive charge and terminate on a negative charge.
Report a problem
Resistivity
- The resistivity of a material is equal to the electrical resistance of its wire of unit length and of unit area of cross-section. Its unit is ohm-metre.
- Resistivity of a material depends on temperature and nature of the material. It is independent of dimensions of the conductor, i.e., length, area of cross-section etc.
- Resistivity of metals increases with increase in temperature as
ρt = ρ0(1 + α t )
where, ρ0 and ρt are resistivities of metal at 0° C and t ° C and α = temperature coefficient of resistance of the material. - For metals, α is positive. For some alloys like nichrome, manganin and constantan, α is positive but very low. For semiconductors and insulators, α is negative.
- Resistivity is low for metals, more for semiconductors and very high for alloys like nichrome, constantan etc.
- Resistivity of alloys like nichrome, constantan etc., is very low and has high boiling point, this makes richrome a very good conductor of electricity and ideal for material making wires other insulation devices.
Combination of Resistances
- If resistances R1, R2 and R3 are connected in series, then their equivalent resistance is given by R = R1 + R2 + R3
- In series combination, equal current flows through each resistors.
- If resistances R1, R2, R3 are connected in parallel, then their equivalent resistance is given by

- In parallel combination, potential difference across each resistor remains same.
Ohm’s law
It states that if physical conditions of any conductor such as temperature, pressure etc., remain unchanged, then electric current (I) flowing through it is directly proportional to the potential difference (V ) applied across its ends, i.e.,
I ∝ V or V = IR
where, R is the electrical resistance of the conductor.
Kirchhoff’s Law
- Kirchhoff ’s current law states that the net current on a junction in an electrical circuit will be zero. It is based on conservation of charge.
- Kirchhoff ’s voltage law states that the algebraic sum of all the potential difference along a closed loop is zero. It is based on conservation of energy.
Electric Cell
- An electric cell is a device which converts chemical energy into electrical energy. Electric cell are of two types
- Primar y cell cannot be charged. Voltaic, Daniell and Leclanche cells are primary cells.
- Secondary cell can be charged again and again. Acid and alkali accumulators are secondary cells.
- Working of electric cells is based on chemical effect of electric current.
Emf of a Cell
- The work done by the cell to bring a ( + )ve charge from its own terminal to the other is known as its emf (electromotive force). Electromotive force is work but not a force.
Question for Electricity
Try yourself:
Which law states that the algebraic sum of all the potential differences along a closed loop is zero?Explanation
- Kirchhoff's Voltage Law states that the algebraic sum of all the potential differences along a closed loop is zero. It is based on the conservation of energy in an electrical circuit.
Report a problem
Joule’s Law of Heating
- When a potential difference V is applied across the ends of a conductor of resistance R, an electric current will flow through the conductor.
- Current can produce three effects : heating effect, magnetic effect and chemical effect.
- Heat is produced in conductor in time t is given by

This is known as Joule’s law of heating.
- Electric bulb, electric kettle, heater etc., devices work on the basis of heating effect of electric current.
- To protect the domestic appliances from sudden change in electricity, fuses are used. It is made of tin, lead, alloy (63% + 37%).
- It should have high resistance and low melting point always connected in series.
Electrical Power
The electrical energy produced or consumed per unit time is called electric power.
Electric power, P = VI = I2 R = V2/R
1 kWh = 3.6 × 106 J
It is the electric energy (called 1 unit).
Chemical Effect of Electric Current
- When an electric current is passed through an acidic or basic solution, it decomposes into its positive and negative ions. The positive ions collect at negative electrode (cathode) and the negative ions collect at positive electrode (anode).
- This phenomenon is called electrolysis. It is chemical effect of current. The process of coating of a base metal with a layer of more expensive metal, is called electroplating.
Faraday’s Laws of Electrolysis
- First law The total mass (m) deposited at an electrode in the process of electrolysis is directly proportional to the total charge (q) passed through the electrolyte, i.e.,
m ∝ q
m = Zq = ZIt
where, I = electric current
t = time
Z = electrochemical equivalent of the substance deposited at electrode - Second law If same strength of electric current is allowed to flow for same time in different electrolytes, then mass of the substance liberated at the electrodes is directly proportional to their chemical equivalent, i.e.,

- Domestic Electrification: In home electrical systems, two terminals from the distribution network are provided: one is the live wire and the other is the neutral wire, which is grounded at the local substation. A third terminal, known as the earth, is included for safety purposes within the building.
- Lighting Appliances: Appliances designed to produce light, rather than just transmit electricity, are called lighting appliances. Examples include incandescent lamps, compact fluorescent lamps, and other similar devices.
- Lightning Protection: Electrical discharges that occur between charged clouds or between a cloud and the ground can cause damage to buildings. To safeguard structures from such damage, lightning conductors are installed.