Q1: Two balanced three-phase loads, as shown in the figure, are connected to a 100√3V, three-phase, 50 Hz main supply. Given Z1=(18 + j24)Ω and Z2 = (6 + j8)Ω. The ammeter reading, in amperes, is _______. (round off to nearest integer) (2022)
(a) 15
(b) 20
(c) 18
(d) 22
Ans: (b)
Sol: First perform delta to star conversion we know, for balanced load
Draw the per phase diagram:
Zeq = (6 + j8)∣∣(6 + j8) = (3 + j8)Ω = 5∠53.13°Ω
Therefore, Meter reading, I = 100/5 = 20A
Q2: Currents through ammeters A2 and A3 in the figure are 1∠10° and 1∠70° respectively. The reading of the ammeter A1 (rounded off to 3 decimal places) is ________ A. (2020)
(a) 1.121
(b) 1.732
(c) 2.254
(d) 3.214
Ans: (b)
Sol: I = 1∠10° + 1∠70°
I = 1.732∠40°
The ready of ammeter is 1.732 A.
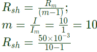
Q3: A moving coil instrument having a resistance of 10 Ω, gives a full-scale deflection when the current is 10 mA. What should be the value of the series resistance, so that it can be used as a voltmeter for measuring potential difference up to 100 V? (2019)
(a) 9Ω
(b) 99Ω
(c) 990Ω
(d) 9990Ω
Ans: (d)
Sol:
Vm = ImRm
= 10 mA x 10Ω
= 100 mV
(0 − 100 mV) ⇒ (0 − 100V)
Rse = Rm[m - 1]
Rse = 10(1000 - 1)
= 9990Ω
Q4: A 0-1 Ampere moving iron ammeter has an internal resistance of 50 mΩ and inductance of 0.1 mH. A shunt coil is connected to extend its range to 0-10 Ampere for all operating frequencies. The time constant in milliseconds and resistance in mΩ of the shunt coil respectively are (2018)
(a) 2, 5.55
(b) 2, 1
(c) 2.18, 0.55
(d) 11.1, 2
Ans: (a)
Sol: Given,
Im = 1A,
Rm = 50mΩ
Lm = 0.1mH,
I = 10A
We know,
= 5.55mΩ
For all frequencies time constant of shunt and meter arm should be equal.
i.e. 
= 0.002 = 2ms
Q5: A dc voltage with ripple is given by v(t) = [100 + 10sin(ωt) − 5sin(3ωt)] volts.
Measurements of this voltage v(t), made by moving-coil and moving-iron voltmeters, show readings of V1 and V2 respectively. The value of V2 − V1, in volts, is _________. (SET-1 (2016))
(a) 0.1
(b) 0.31
(c) 0.66
(d) 1
Ans: (b)
Sol: V(t) = 100 + 10sin(ωt) − 5sin(3ωt) volt
moving coil,
V1 = Vavg. = 100V
moving iron,
= 100.312
V2 − V1 = 0.312
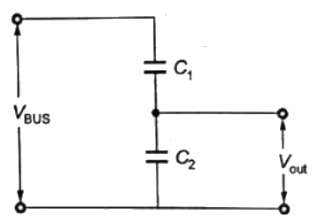
Q6: A capacitive voltage divider is used to measure the bus voltage Vbus in a high-voltage 50 Hz AC system as shown in the figure. The measurement capacitors C1 and C2 have tolerances of ±10% on their nominal capacitance values. If the bus voltage Vbus is 100 kV rms, the maximum rms output voltage Vout (in kV), considering the capacitor tolerances, is __________. (SET-2(2015))
(a) 8.52
(b) 11.95
(c) 16.35
(d) 22.25
Ans: (b)
Sol:
VBUS is 100kVrms
C1 = 1μF ± 10%
C2 = 9μF ± 10%
To get maximum output voltage we need minimum C2 and maximum C1,
So,C2 = 8.1μF and C1 = 1.1μF
So, Vout rms = 
= 11.95kV
Q7: Match the following. (SET-2(2015))
(a) P-1 Q-2 R-1 S-3
(b) P-1 Q-2 R-1 S-3
(c) P-1 Q-2 R-3 S-3
(d) P-3 Q-1 R-2 S-1
Ans: (c)
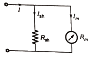
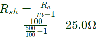
Q8: A (0-50 A) moving coil ammeter has a voltage drop of 0.1 V across its terminals at full scale deflection. The external shunt resistance (in milliohms) needed to extend its range to (0-500 A) is _______. (SET-1(2015))
(a) 0.11
(b) 0.22
(c) 0.45
(d) 0.68
Ans: (b)
Sol:
Ifs = 50 A,
Vm = 0.1 V,
Rm = 0.1/50 = 2 × 10−3Ω
∵ m = 10
Rsh = 

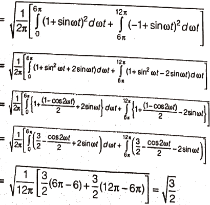
Q9: A periodic waveform observed across a load is represented by
The measured value, using moving iron voltmeter connected across the load, is (SET-3 (2014))
(a) 
(b) 
(c) 3/2
(d) 2/3
Ans: (a)
Sol: Since moving iron voltmeter reads rms value,
Vrms=

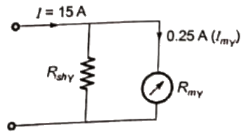
Q10: Two ammeters X and Y have resistances of 1.2 Ω and 1.5 Ω respectively and they give full-scale deflection with 150 mA and 250 mA respectively. The ranges have been extended by connecting shunts so as to give full scale deflection with 15 A. The ammeters along with shunts are connected in parallel and then placed in a circuit in which the total current flowing is 15 A. The current in amperes indicated in ammeter X is_____. (SET-2(2014))
(a) 10.28
(b) 5.45
(c) 15.85
(d) 20.45
Ans: (a)
Sol:
Given,
RmX = 1.2Ω,
RmY = 1.5Ω
ImX = 0.15A,
ImY = 0.25A
and I = full scale deflection current = 15A
∴ Shunt multiplying factor for ammeter X is
and shunt multiplier resistance,

Also, shunt multiplying factor for ammeteer Y is
and shunt multiplier resistance,
when these ammeters are connected in parrelel as shown in the figure below,
Let current in ammeter X be IX then,

∴ Current in ammeter X = 10.28 A
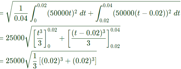
Q11: The saw-tooth voltage waveform shown in the figure is fed to a moving iron voltmeter. Its reading would be close to __________ (SET-2 (2014))
(a) 26.26
(b) 57.73
(c) 82.96
(d) 96.48
Ans: (b)
Sol: Moving iron voltmeter reads rms value of voltage and current. From the given waveform of voltage,


= 57.73 Volt
∴ Voltage reading by moving iron voltmeter = 57.73 Volts
Q12: The dc current flowing in a circuit is measured by two ammeters, one PMMC and another electrodynamometer type, connected in series. The PMMC meter contains 100 turns in the coil, the flux density in the air gap is 0.2Wb/m2, and the area of the coil is 80 mm2. The electrodynamometer ammeter has a change in mutual inductance with respect to deflection of 0.5 mH/deg. The spring constants of both the meters are equal. The value of current, at which the deflections of the two meters are same, is ______ (SET-1(2014))
(a) 2.8
(b) 3.2
(c) 6.8
(d) 4.2
Ans: (b)
Sol: For a PMMC ammeter, at equilibrim, we have :
controlling torque (Tc) = Deflecting torque(Td)
Kθ1 = GI or θ1 = GI/K
where, G = nBA
For an electrodynometer ammeter, at equilibrium,
Controlling torque = Deflecting torque

For the deflection in the two meter to be same,
θ1 = θ2
Given, n = number of turns = 100
B = 0.2Wb/m2
A = 80mm2 = 80 × 10−6 m2
and dM/dθ = 0.5mH/rad
= 0.5 x 10-3 H/rad
Putting the values in I, we get
= 1.6/0.5 = 3.2 A
∴ Required value of current,
I = 3.2 Amp.
Q13: The input impedance of the permanent magnet moving coil (PMMC) voltmeter is infinite. Assuming that the diode shown in the figure below is ideal, the reading of the voltmeter in Volts is (2013)
(a) 4.46
(b) 3.15
(c) 2.23
(d) 0
Ans: (a)
Sol: In the half cycle, D is ON
⇒ V0 = 0V
In negative half cycle, D id OFF, PMMC voltmeter measures average value of V0.
In case of half wave rectification,
= 4.456 V
Q14: An analog voltmeter uses external multiplier settings. With a multiplier setting of 20 kΩ, it reads 440 V and with a multiplier setting of 80 kΩ, it reads 352 V. For a multiplier setting of 40 kΩ, the voltmeter reads (2012)
(a) 371V
(b) 383V
(c) 394V
(d) 406V
Ans: (d)
Sol:
when,
when,
Rs2 = 80kΩ, v =352V

Rm = 220kΩ, V = 480 V
when, Rs3 = 40kΩ and V = 480V
⇒ v = 406.15 V
Q15: A periodic voltage waveform observed on an oscilloscope across a load is shown. A permanent magnet moving coil (PMMC) meter connected across the same load reads (2012)
(a) 4V
(b) 5V
(c) 8V
(d) 10V
Ans: (a)
Sol: As PMMC meter reads only DC voltage or average value and average value is equal to

Q16: An ammeter has a current range of 0-5 A, and its internal resistance is 0.2 Ω. In order to change the range to 0-25 A, we need to add a resistance of (2010)
(a) 0.8 Ω in series with the meter
(b) 1.0 Ω in series with the meter
(c) 0.04 Ω in parallel with the meter
(d) 0.05 Ω in parallel with the meter
Ans: (d)
Sol: To extend the range of ammeter, a resistance Rsh is connected across the meter.
Im = full scale deflection current = 5A
I = 25A
Multiplying power = m = I/Im = 25/5 = 5

Q17: A current of −8 + 6√2(sinωt + 30°) A is passed through three meters. They are a centre zero PMMC meter, a true rms meter and a moving iron instrument. The respective reading (in A) will be (2006)
(a) 8, 6, 10
(b) 8, 6, 8
(c) -8, 10, 10
(d) -8, 2, 2
Ans: (c)
Sol:
I = −8 + 6√2sin(ωt + 30°)
I1 = −8A
I2 = 6√2sin(ωt + 30°)
Average value of I1 = −8A
Average value of I2 = 0
So Average value of I = −8A
PMMC reads only average value of current
Therefore PMMC reads = -8A
RMS value of 
RMS meter and moving iron meter both reads rms value of the current.
So, both m2 and m3 reads 10A.
Q18: A 1000 V DC supply has two 1-core cables as its positive and negative leads, their insulation resistances to earth are 4MΩ and 6MΩ, respectively, as shown in the figure. A voltmeter with resistance 50kΩ is used to measure the insulation of the cable. When connected between the positive core and earth, then voltmeter reads (2005)
(a) 8V
(b) 16V
(c) 24V
(d) 40V
Ans: (a)
Sol:
Resistance of voltmeter (RV) appear parallel to 4MΩ
Effective resistance between A and B,
RAB = RV||4MΩ
RV = 50kΩ = 0.05MΩ
RAB = 0.05||4MΩ = 0.05MΩ
RAC = RAB + RBC
= 0.05 + 6 = 6.05 MΩ
I = 
Voltmeter reads,

Q19: A DC ammeter has a resistance of 0.1 Ω and its current range is 0-100 A. If the range is to be extended to 0-500 A, then meter required the following shunt resistance (2005)
(a) 0.010 Ω
(b) 0.011 Ω
(c) 0.025 Ω
(d) 1.0Ω
Ans: (c)
Sol:
Im = fill scale deflection current = 100 A
I = current to be measure = 500A
Multiplying power,
Rm = 0.1Ω

Q20: A PMMC voltmeter is connected across a series combination of DC voltage source V1 = 2V and AC voltage source V2(t) = 3sin(4t)V. The meter reads (2005)
(a) 2V
(b) 5V
(c) (2 + √3/2)V
(d) (√17/2)V
Ans: (a)
Sol: Total voltage across PMMC
= VT = V1 + V2
= 2 + 3sin(4t)V
PMMC reads average value
Average value of V1 = 2V
Average value of V2 = 0
Average value of VT= 2V
So PMMC reads = 2V.
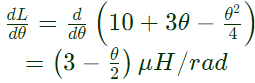
Q21: A moving iron ammeter produces a full scale torque of 240 μNm with a deflection of 120° at a current of 10 A . The rate of change of self induction (μH/radian) of the instrument at full scale is (2004)
(a) 2.0 μH/radian
(b) 4.8 μH/radian
(c) 12.0 μH/radian
(d) 114.6 μH/radian
Ans: (b)
Sol: Torque produced,
Where I = 10A
T = 240μN − m

Rate of change of self-inductance
⇒ dL/dθ = 4.8 x 10-6 H/radian
Q22: A moving coil of a meter has 100 turns, and a length and depth of 10 mm and 20 mm respectively. It is positioned in a uniform radial flux density of 200 mT. The coil carries a current of 50 mA. The torque on the coil is (2004)
(a) 200 μNm
(b) 100 μNm
(c) 1000 μNm
(d) 1 μNm
Ans: (a)
Sol: T = Torque on the coil = NBAI
where,
N = Number of turns = 100
B = Flux density
= 200mT = 200 × 10−3T
A = Area of the coil
= length × depth
= (10 × 10−3) × (20 × 10−3)
= 200 × 10−6m2
I = Current through the coil
= 50mA = 50 x 10-3
T = NBAI
= 100 x (200 x 10-3) x (200 x 10-6)
= x (50 x 10-3)
= 2 x 10-4 N - m = 200μN-m
Q23: A galvanometer with a full scale current of 10 mA has a resistance of 1000 Ω. The multiplying power (the ratio of measured current to galvanometer current) of 100 Ω shunt with this galvanometer is (2004)
(a) 110
(b) 100
(c) 11
(d) 10
Ans: (c)
Sol:
Full scale current of galvanometer
Im = 10mA
Resistance of meter Rm = 1000Ω
Resistance of shunt Rsh = 100Ω
Multiplying power

Q24: The inductance of a certain moving-iron ammeter is expressed as L = 10 + 30 − (θ2/4)μH, where θ is the deflection in radians from the zero position. The control spring torque is 25 × 10−6 Nm/radian. The deflection of the pointer in radian when the meter carries a current of 5 A, is (2003)
(a) 2.4
(b) 2
(c) 1.2
(d) 1
Ans: (c)
Sol: Deflection torque in moving-iron ammeter,
Rate of change of inductance with deflection
Current , I = 5A
Deflecting torque,
Controlling torque
Tc = kθ =25 × 10−6θ
At equilibrium,
Tc = Td
25×10−6θ =
5θ/2 = 3
θ = 1.2rad
Q25: A rectifier type ac voltmeter of a series resistance Rs, an ideal full-wave rectifier bridge and a PMMC instrument as shown in figure. The internal. resistance of the instrument is 100 Ω and a full scale deflection is produced by a dc current of 1 mA. The value of Rs required to obtain full scale deflection with an ac voltage of 100 V (rms) applied to the input terminals is (2003)
(a) 63.56Ω
(b) 69.93Ω
(c) 89.93Ω
(d) 141.3kΩ
Ans: (c)
Sol: IFS = Current required to produce full scale deflection
d.c. sensitivity is,
For full wave rectifier a.c. sensitivity
Sac = 0.9 Sdc = 900Ω/V
Resistance of multiplier,
RS = sac V − Rm − 2Rd
Since, diodes are ideal,
Rd = 0
then, RS = 900 × 100 − 100 = 89.9kΩ
Q26: The effect of stray magnetic field on the actuating torque of a portable instrument is maximum when the operating field of the instrument and the stray fields are (2003)
(a) perpendicular
(b) parallel
(c) inclined at 60%
(d) inclined at 30%
Ans: (b)
Sol: Due to stray magnetic field, torque is also produced which can affect the torque produced due to operating field. If bothstray magnetic and operating field are parallel, torque due to both field become additive.
Q27: A Manganin swap resistance is connected in series with a moving coil ammeter consisting of a milli-ammeter and a suitable shunt in order to (2003)
(a) minimise the effect of temperature variation
(b) obtain large deflecting torque
(c) reduce the size of the meter
(d) minimise the effect of stray magnetic fields
Ans: (a)
Sol:
Coil is made of copper
A swamping resistance (Rsw) of manganin (which has a negligible temperature coefficient) having a resistance of 20 to 30 times the coil resistance is connected in series with the coil and a shunt of manganin is connected across this combination. Since copper forms a samll fraction of the series combination, the proportion in which the currents would divide between the meter and the shunt would not change appreciably with the change in temperature.
Q28: A 100μA ammeter has an internal resistance of 100Ω. For extending its range to measure 500μA, the shunt resistance required is of (in Ω) (2001)
(a) 20
(b) 22.22
(c) 25
(d) 50
Ans: (c)
Sol: 