CBSE Class 6  >  Class 6 Notes  >  Mathematics  >  Worksheet Solutions: Fractions - 1

Worksheet Solutions: Fractions - 1

Fill in the Blanks

Q1: When 4 children share 1 roti equally, each child gets ______ roti. 
Ans: 1/4 

When a whole item (roti) is divided into 4 equal parts, each part is 1/4 of the whole.

Fill in the Blanks

Q2: A whole roti is divided into 3 equal pieces. Each piece is ______ of the roti. 
Ans: 1/3 

When something is divided into 3 equal parts, each part is represented as 1/3 of the whole.

Fill in the Blanks

Q3: If 2 chikkis are divided equally among 6 children, each child gets ______ chikki
Ans: 1/3 

 Two chikkis divided among 6 children means each child gets a fraction 2/6, which simplifies to 1/3 of a chikki.

Fill in the Blanks

Q4:If 1 glass of juice is equally shared between 3 children, each child gets ______ glass of juice. 

Ans: 1/3 

Sharing 1 glass equally among 3 children results in each child receiving 1/3 of the glass.

Fill in the Blanks

Q5: To compare fractions with different denominators, we convert them to have the same ______. 
Ans: denominator 

Fractions need to be converted to have the same denominator so that their sizes can be compared directly.

True or False

Q1: The fraction 1/2 is smaller than 1/4. 
Ans: False 

Explanation: 1/2 is equal to one part out of two, which is larger than 1/4 (one part out of four). Therefore 1/2 > 1/4.

Q2: When 5 children share 2 cakes equally, each child's share is 2/5 of a cake. 
Ans: True 

Explanation: Dividing 2 cakes equally among 5 children gives each child 2/5 of a cake.

Q3: The fraction 3/6 is equivalent to 1/2. 
Ans: True 

Explanation: 3/6 can be simplified by dividing numerator and denominator by 3: 3/6 = (3÷3)/(6÷3) = 1/2, so they are equivalent.

Q4: The number line can only represent whole numbers, not fractions. 
Ans: False 

Explanation: Fractions can be placed on a number line between whole numbers. For example, 1/2 lies halfway between 0 and 1.

Q5: Adding 1/4 and 2/4 results in 3/4. 
Ans: True 

Explanation: When fractions have the same denominator, add the numerators: 1/4 + 2/4 = (1+2)/4 = 3/4.

Match the Following

Match the Following

Ans:

Match the Following

Answer the following Questions

Q1. Are Answer the following Questionsequivalent fractions? Why?

Sol: Here, the simplest form of 69\frac{6}{9} is:

Answer the following Questions

The simplest form of 1218\frac{12}{18} is:Answer the following Questions

The simplest form of 1525\frac{15}{25} is:Answer the following Questions

Since the simplest forms of 69\frac{6}{9} and 1218\frac{12}{18} are the same, they are equivalent fractions.
But the simplest form of 1525\frac{15}{25} is different, so it is not equivalent to the other two.

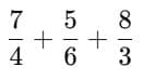
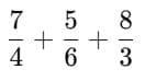
Q2. Add the following fractions and express the result as a mixed fraction:Answer the following Questions

Sol: Given,Answer the following Questions

Here, the LCM of 4, 6, and 3 is 12.

Now, expressing the fractions with denominator 12, we get:

Answer the following Questions

Now, convert 6312\frac{63}{12} into a mixed fraction:

6312=5312\frac{63}{12} = 5 \frac{3}{12}

Simplifying 312\frac{3}{12}:

312=14\frac{3}{12} = \frac{1}{4}

Therefore, Answer the following Questions is the correct answer.

Q3. Subtract as indicated:

Answer the following QuestionsSol: Given, Answer the following Questions

Here, the LCM of 3 and 4 is 12.

Now, convert both fractions into like fractions:

Answer the following Questions

Q4. Compare the following fraction and justify your answer:

Answer the following Questions

Sol: 

Given fractions are 74\frac{7}{4} and 53\frac{5}{3}.

Here, the LCM of denominators 4 and 3 is 12.

Now, converting both fractions to like fractions:

Answer the following Questions

Since 2112>2012\frac{21}{12} > \frac{20}{12},

74>53\frac{7}{4} > \frac{5}{3}

Word Problems 

Q1: Aman mixes 7/9 liters of lemon juice with 5/6 liters of orange juice to make fruit punch. What is the total volume of fruit punch he has made?

Sol: Given:
Lemon juice = 79\frac{7}{9} L
Orange juice = 56\frac{5}{6} L

Total volume of fruit punch

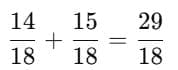
=79+56= \frac{7}{9} + \frac{5}{6}

First, find the LCM of 9 and 6.
LCM of 9 and 6 = 18

Convert the fractions into like fractions:

Word Problems 

Now, addWord Problems 

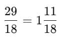
Converting into a mixed fraction, Word Problems 

Therefore, The total volume of fruit punch is 111181 \frac{11}{18} liters.


Q2: Rina's school is \\frac{11}{15}11/15 km from her home. She rides her bicycle for \\frac{2}{5}2/5 km from her home daily and then walks the remaining distance to reach her school. How much distance does she walk daily?

Sol: Given:
Total distance from home to school = 1115\frac{11}{15} km
Distance covered by bicycle = 25\frac{2}{5} km

Distance walked

=1115-25= \frac{11}{15} - \frac{2}{5}

Find the LCM of 15 and 5.
LCM = 15

Convert 25\frac{2}{5} into denominator 15:

Word Problems 

Now subtract:

1115-615=515\frac{11}{15} - \frac{6}{15} = \frac{5}{15}

Simplify:

515=13\frac{5}{15} = \frac{1}{3}

Therefore, Rina walks 13\frac{1}{3} km daily.

Q3: Mohan takes \\frac{5}{3}5/3 minutes to complete a swimming lap, while his friend Sohan takes 8/5 minutes to do the same. Who completes the lap faster and by how much?

Sol: Given:
Time taken by Mohan = 53 minutes
Time taken by Sohan = 85\frac{8}{5} minutes

To compare, convert both fractions to like denominators.

LCM of 3 and 5 = 15

Word Problems 

Since

2415<2515\frac{24}{15} < \frac{25}{15}

Sohan takes less time, so Sohan is faster.

Difference in time:

2515-2415=115\frac{25}{15} - \frac{24}{15} = \frac{1}{15}

Sohan completes the lap faster by 115\frac{1}{15} minute.

The document Worksheet Solutions: Fractions - 1 is a part of the Class 6 Course Mathematics for Class 6.
All you need of Class 6 at this link: Class 6

FAQs on Worksheet Solutions: Fractions - 1

1. How do I add and subtract fractions with different denominators?
Ans. To add or subtract fractions with different denominators, first find the lowest common multiple (LCM) of both denominators, then convert each fraction to an equivalent fraction using this common denominator, and finally add or subtract the numerators while keeping the denominator the same. For example, 1/3 + 1/4 becomes 4/12 + 3/12 = 7/12. This method ensures accurate calculation of fractional sums and differences in CBSE Class 6 Mathematics.
2. What's the difference between proper fractions, improper fractions, and mixed numbers?
Ans. Proper fractions have numerators smaller than denominators (like 3/5), improper fractions have numerators equal to or greater than denominators (like 7/4), and mixed numbers combine whole numbers with proper fractions (like 2¾). Understanding these distinctions helps students correctly identify fraction types and convert between them. Visualising examples using flashcards or mind maps reinforces these foundational fraction concepts effectively.
3. How do I simplify or reduce fractions to their lowest terms?
Ans. To simplify a fraction, find the greatest common divisor (GCD) of both numerator and denominator, then divide both by this GCD. For instance, 12/18 simplifies to 2/3 when divided by 6. Reducing fractions to simplest form is essential for comparing fractions accurately and solving worksheet problems involving fraction operations in Class 6 Mathematics.
4. Why do I need to find equivalent fractions when comparing fractions?
Ans. Equivalent fractions represent the same value but use different numerators and denominators, making comparison possible only when denominators match. Converting 1/2 and 2/5 to equivalent fractions (5/10 and 4/10) reveals that 1/2 is larger. This concept prevents calculation errors and builds understanding of fraction magnitude crucial for worksheet solutions and exam preparation.
5. How do I multiply and divide fractions correctly in these worksheet problems?
Ans. For multiplication, multiply numerators together and denominators together directly-no common denominator needed. For division, multiply the first fraction by the reciprocal of the second fraction. Example: 2/3 ÷ 4/5 becomes 2/3 × 5/4 = 10/12 = 5/6. Mastering these operations ensures accurate solutions in fraction-based CBSE Class 6 worksheet exercises and assessments.
Explore Courses for Class 6 exam
Get EduRev Notes directly in your Google search
Related Searches
mock tests for examination, pdf , Viva Questions, video lectures, Worksheet Solutions: Fractions - 1, ppt, MCQs, Objective type Questions, Worksheet Solutions: Fractions - 1, Worksheet Solutions: Fractions - 1, Previous Year Questions with Solutions, Exam, Summary, Extra Questions, practice quizzes, Important questions, past year papers, Semester Notes, Free, study material, shortcuts and tricks, Sample Paper;