| Table of contents | |
| Sum of the first n terms of an A.P. | |
| Geometric Progression (G.P.) | |
| Geometric Mean | |
| Sum of first n terms of a G.P. | |
| Illustrations - Applications |

Consider the following collections of numbers:
(1) 28, 2, 25, 27, …
(2) 2, 7, 11, 19, 31, 51, …
(3) 1, 2, 3, 4, 5, 6, …
(4) 20, 18, 16, 14, 12, 10, …
In (1) the numbers are not arranged by any definite rule.
In (2) the numbers are in ascending order but there is no clear rule to obtain the next term from the previous; hence the next term cannot be determined uniquely.
In (3) each term is obtained by adding 1 to the previous term; therefore the term after 6 is 6 + 1 = 7.
In (4) each term is obtained by subtracting 2 from the preceding term; therefore the term after 10 is 10 − 2 = 8.
Collections (1) and (2) do not form sequences in the mathematical sense, whereas (3) and (4) do form sequences because there is a definite rule to generate terms.
Definition. An ordered collection of numbers a1, a2, a3, a4, …, an, … is called a sequence if there is a definite rule that assigns a unique value to an for each natural number n. The term an is the nth term or the general term of the sequence. The sequence is finite if it has a finite number of terms and infinite if the terms continue without end.
A finite sequence a1, a2, …, an may be denoted by
appropriate notation and an infinite sequence by
or simply {an}, where an denotes the nth element.
Examples of sequences:
All the above examples are infinite sequences unless explicitly restricted.
Finite examples:
These examples are finite sequences.
A series is the sum of the terms of a sequence. If {an} is a sequence, then an expression of the form a1 + a2 + a3 + … + an + … is called a series. If the series contains a finite number of terms it is a finite series, otherwise an infinite series.
If Sn = u1 + u2 + u3 + … + un, then Sn is called the sum to n terms (or the sum of the first n terms) of the series. The summation symbol ∑ is often used to denote sums.

Illustrations:
A sequence a1, a2, a3, …, an is called an arithmetic progression (A.P.) if the difference between any term and its preceding term is constant. That is, a2 − a1 = a3 − a2 = … = d, where d is the common difference.
If three numbers a, b, c are in A.P., then b − a = c − b or equivalently a + c = 2b. The number b is called the arithmetic mean between a and c.
General form of an A.P.
An A.P. with first term a and common difference d can be written as:
a, a + d, a + 2d, a + 3d, …
The nth term (tn) of the A.P. is given by:
tn = a + (n − 1)d
Example: 1) 2,5,8,11,14,17,…… is an A.P. in which d = 3 is the common diference.
2) 15,13,11,9,7,5,3,1,–1, is an A.P. in which –2 is the common difference.
Solution: In (1) 2nd term = 5 , 1st term = 2, 3rd term = 8,
so 2nd term – 1st term = 5 – 2 = 3, 3rd term – 2nd term = 8 – 5 = 3
Here the difference between a term and the preceding term is same that is always constant. This constant is called common difference.
Now in general an A.P. series can be written as
a, a + d, a + 2d, a + 3d, a + 4d, ……
where ‘a’ is the 1st term and ‘d’ is the common difference.
Thus 1st term ( t1 ) = a = a + ( 1 – 1 ) d
2nd term ( t 2 ) = a + d = a + ( 2 – 1 ) d
3rd term (t3) = a + 2d = a + (3 – 1) d
4th term (t4) = a + 3d = a + (4 – 1) d
…………………………………………….
nth term (tn) = a + ( n – 1) d, where n is the position number of the term.
Using this formula we can get
50th term (= t 50) = a+ (50 – 1) d = a + 49d
Example 1: Find the 7th term of the A.P. 8, 5, 2, −1, −4, …
Solution:
a = 8
d = 5 − 8 = −3
t7 = a + (7 − 1)d
t7 = 8 + 6(−3)
t7 = 8 − 18
t7 = −10
Example 2: Which term of the A.P. 
Solution:
Assume the A.P. is of the form a, a + d, a + 2d, …
From the relation we obtain 17 = 3 + (n − 1)
Therefore n = 17 − 2 = 15
Hence, 17 is the 15th term of the A.P.
Example 3: If 5th and 12th terms of an A.P. are 14 and 35 respectively, find the A.P.
Solution:
Let a be the first term and d the common difference.
t5 = a + 4d = 14
t12 = a + 11d = 35
Subtracting, 7d = 21 ⇒ d = 3
Then a = 14 − 4×3 = 2
Hence the A.P. is 2, 5, 8, 11, 14, …
Example 4: Divide 69 into three parts which are in A.P. and the product of the first two parts is 483.
Solution:
Let the three parts be a − d, a, a + d.
(a − d) + a + (a + d) = 69
3a = 69 ⇒ a = 23
So the parts are 23 − d, 23, 23 + d.
Given (first part) × (second part) = 483
⇒ 23(23 − d) = 48323 − d = 483/23 = 21
d = 23 − 21 = 2
Therefore the parts are 21, 23, 25.
Example 5: Find the arithmetic mean between 4 and 10.
Solution: We know that the A.M. of a & b is = ( a + b ) /2
Hence, The A. M between 4 & 10 = ( 4 + 10 ) /2 = 7
Example 6: Insert 4 arithmetic means between 4 and 324.
4, –, –, –, –, 324
Solution: Here a= 4, d = ? n = 2 + 4 = 6, tn = 324
Now tn = a + ( n – 1 ) d
or 324= 4 + ( 6 – 1 ) d
or 320= 5d i.e., = i.e., d = 320 / 5 = 64
So the 1st AM = 4 + 64 = 68
2nd AM = 68 + 64 = 132
3rd AM = 132 + 64 = 196
4th AM = 196 + 64 = 260
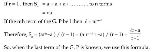
Let S be the Sum, a be the 1st term and l the last term of an A.P. If the number of term is n, then tn = l. Let d be the common difference of the A.P.
Now S = a + ( a + d ) + ( a + 2d ) + .. + (l– 2d ) + ( l– d ) + l
Again 
On adding the above, we have

Note: The above formula may be used to determine the sum of n terms of an A.P. when the first term a and the last term is given.
Now l = tn = a + ( n – 1 ) d

Note: The above formula may be used when the first term a, common difference d and the number of terms of an A.P. are given.
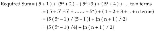
Sum of 1st n natural or counting numbers
On adding the above, we get
2S = ( n + 1 ) + ( n + 1 ) +....... to n terms
2S = n ( n + 1 )
S = n( n + 1 )/2
Then Sum of first n natural number is n( n + 1 ) / 2

Sum of 1st n odd number
S = 1 + 3 + 5 + …… + ( 2n – 1 )
Sum of first n odd number
S = 1 + 3 + 5 + …… + ( 2n – 1 )
Since S = n{ 2a + ( n –1 ) d } / 2, we find
S = n2
Then sum of first, n odd numbers is n, i.e. 1 + 3 + 5 + ..... + ( 2n – 1 ) = n2
Sum of the Squares of the first n natural nos.
Let S = 12 + 22 + 32 + …… + n2
We know m3 – ( m – 1 )3 = 3m2 – 3m + 1
We put m = 1, 2, 3,……,n

Thus sum of the squares of the first n natural numbers is
i.e.,

Similarly, sum of the cubes of first n natural numbers can be found out as
by taking the identity
m4 – ( m – 1 )4 = 4m3 – 6m2 + 4m – 1 and putting m = 1, 2, 3,…., n.
Thus

If in a sequence of terms each term is constant multiple of the proceeding term, then the sequence is called a Geometric Progression (G.P). The constant multiplier is called the common ratio
Examples: 1) In 5, 15, 45, 135,….. common ratio is 15/5 = 3
2) In 1, 1/2, 1/4, 1/9 … common ratio is (1/2) /1 = 1/2
3) In 2, –6, 18, –54, …. common ratio is (–6) / 2 = –3
Illustrations: Consider the following series :–
(i) 1 + 4 + 16 + 64 + …………….
Here second term / first term = 4/1 = 4; third term / second term = 16/4 = 4
fourth term/third term = 64/16 = 4 and so on.
Thus, we find that, in the entire series, the ratio of any term and the term preceding it, is a constant.
(ii) 1/3 – 1/9 + 1/27 – 1/81 + ………….
Here second term / 1st term = (–1/9) / ( 1/3) = –1/3
third term / second term = ( 1/27 ) / ( –1/9 ) = –1/3
fourth term / third term = ( –1/81 ) / (1/27 ) = –1/3 and so on.
Here also, in the entire series, the ratio of any term and the term preceding one is constant.
The above mentioned series are known as Geometric Series.
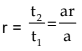
Let us consider the sequence a, ar, ar2 , ar3, ….
1st term = a, 2nd term = ar = ar 2–1, 3rd term = ar2 = ar3–1, 4th term = ar3 = ar 4 –1 , …..
Similarly 
Thus, common ratio = 
ar n–1/ar n–2 = r
Thus, general term of a G.P is given by ar n–1 and the general form of G.P. is
a + ar + ar2 + ar3 +……. ….
For example, 
So 
Example 1: If a, ar, ar2 , ar3 , …. be in G.P. Find the common ratio.
Solution: 1st term = a, 2nd term = ar
Ratio of any term to its preceding term = ar/a = r = common ratio.
Example 2: Which term of the progression 1, 2, 4, 8,… is 256?
Solution: a = 1, r = 2/1 = 2, n = ? tn = 256
tn = arn–1
or 256 = 1 × 2n–1 i.e., 28 = 2 n–1 or, n – 1 = 8 i.e., n = 9
Thus 9th term of the G. P. is 256
If a, b, c are in G.P., then b/a = c/b ⇒ b2 = ac. The number b is called the geometric mean between a and c.
Insert 3 geometric means between 1/9 and 9.
Solution:
1/9, –, –, –, 9
a = 1/9
Number of terms n = 2 + 3 = 5
t5 = 9
Find the G.P. where 4th term is 8 and 8th term is 128/625.
Solution:
Let a be the 1st term and r be the common ratio.
So
By the question t4 = 8 and t8 = 128/625
ar3 = 8 and ar7 = 128 / 625
ThereforeNow ar3 = 8 ⇒ a × (2/5) 3 = 8 ⇒ a = 125
Thus the G. P is
125, 50, 20, 8, 16/5, ………..
When r = –2/5 , a = –125 and the G.P is –125, 50, –20, 8, –16/5 ,………
Finally, the G.P. is 125, 50, 20, 8, 16/5, ………..
or, –125, 50, –20, 8, –16/5,………
Let a be the first term and r the common ratio. The sum of the first n terms is:

Multiply S by r and subtract to obtain:




Solution:
a = 1, r = 2, n = 8
S = a( rn − 1 )/(r − 1) = 1(28 − 1)/(2 − 1)
S = 28 − 1 = 256 − 1 = 255
Solution:
Solution: Let S = 3 + 33 + 333 + … (n terms) = 3(1 + 11 + 111 + … n terms)
Use decomposition and geometric-sum techniques to express the repeating-digit numbers in terms of geometric series.
Solution: Let S = 0.7 + 0.77 + 0.777 + … (n terms)
S = 7(0.1 + 0.11 + 0.111 + … n terms)
Transform these repeating decimals into sums involving geometric series.
using the sum of an infinite geometric series.Solution:
= 21/100 + 1/132
= (693 + 25)/3300 = 718/3300 = 359/1650
Solution:
Let the three numbers be a/r, a, ar.
Product a3 = 216
⇒ a = 6.So numbers are 6/r, 6, 6r and
their sum is 6/r + 6 + 6r = 19.Therefore 6/r + 6r = 13.
Multiply both sides by r: 6 + 6r2 = 13r.
Rearrange: 6r2 − 13r + 6 = 0.
Factor or solve the quadratic: (3r − 2)(2r − 3) = 0 ⇒ r = 2/3 or r = 3/2.
If r = 2/3: numbers = 9, 6, 4.
If r = 3/2: numbers = 4, 6, 9.
(I) A person is employed at ₹3000 per month and receives an increase of ₹100 per year. Find the total amount received in 25 years and the monthly salary in the last year.
SOLUTION:
He gets in the 1st year at the Rate of 3000 per month;
In the 2nd year he gets at the rate of ₹ 3100 per month;
In the 3rd year at the rate of ₹ 3200 per month so on.
In the last year the monthly salary will be
₹ {3000 + ( 25 – 1 ) × 100} = ₹ 5400
Total amount = ₹ 12 (3000 + 3100 + 3200 +… + 5400)= ₹ 12 × 25/2 (3000 + 5400)
= ₹ 150 × 8400
= ₹ 12,60,000
(II) A person borrows ₹8,000 at 2.76% simple interest per annum. The principal and interest are to be paid in 10 monthly instalments, each instalment double the preceding one. Find the first and last instalment.
SOLUTION:
Interest for 10 months at 2.76% p.a. is calculated on simple interest basis.
Interest = 2.76 × (10/12) × 8000 / 100 = ₹184.
Total amount to be repaid = 8000 + 184 = ₹8184.
The instalments form a G.P. with ratio r = 2 and sum S = a(210 − 1)/(2 − 1) = a(1024 − 1) = 1023a.
So 1023a = 8184 ⇒ a = 8184/1023 = ₹8.
First instalment = ₹8.
Last instalment = a × 29 = 8 × 512 = ₹4096.
96 videos|232 docs|83 tests |
| 1. What is the difference between a sequence and a series? | ![]() |
| 2. How do you identify an Arithmetic Progression (A.P.)? | ![]() |
| 3. What is the formula for the nth term of a Geometric Progression (G.P.)? | ![]() |
| 4. How can I find the sum of the first 'n' terms of an A.P.? | ![]() |
| 5. What is the Geometric Mean and how is it calculated? | ![]() |
96 videos|232 docs|83 tests |
![]() | Explore Courses for CA Foundation exam |