Q1: A wire has a mass 0.3 ± 0.003 g, radius 0.5 ± 0.005 mm and length 6 ± 0.06 cm. The maximum percentage error in the measurement of its density is:
(a) 1
(b) 2
(c) 3
(d) 4
Q2: If 97.52 is divided by 2.54, the correct result in terms of significant figures is:
(a) 38.4
(b) 38.3937
(c) 38.394
(d) 38.39
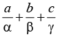
Q3: A physical quantity A is related to four observables a, b, c, and d as follows,
The percentage errors of measurement in a, b, c, and d are 1%, 3%, 2%, and 2% respectively. What is the percentage error in the quantity A?
(a) 12%
(b) 7%
(c) 5%
(d) 14%
Q4: A physical quantity is given by . The percentage error in measurement of Ma, Lb, and Tc are α, β respectively. Then the maximum percentage error in the quantity X is:
(a) aα+ bβ + cγ
(b) aα+ bβ – cγ
(c)
(d) None of these
Q5: If the length of rod A is 3.25 ± 0.01 cm and that of B is 4.19 ± 0.01 cm, then the rod B is longer than rod A by:
(a) 0.94 ± 0.00 cm
(b) 0.94 ± 0.01 cm
(c) 0.94 ± 0.02 cm
(d) 0.94 ± 0.005 cm
Q6: If L = 2.331 cm, B = 2.1 cm, then L + B =
(a) 4.431 cm
(b) 4.43 cm
(c) 4.4 cm
(d) 4 cm
Q7: The number of significant figures in all the given numbers 25.12, 2009, 4.156 and 1.217 × 10–4 is
(a) 1
(b) 2
(c) 3
(d) 4
Q8: In an experiment, the following observation's were recorded: L = 2.820 m, M = 3.00 kg, l = 0.087 cm, Diameter D = 0.041 cm. Taking g = 9.81 m/s2 using the formula,
the maximum percentage error in Y is
(a) 7.96%
(b) 4.56%
(c) 6.50%
(d) 8.42%
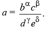
Q9: A physical parameter a can be determined by measuring the parameters b, c, d and e using the relation
If the maximum errors in the measurement of and are b1%, c1%, d1%, and e1%, , then the maximum error in the value of determined by the experiment is:
(a) (b1+ c1+ d1+ e1)%
(b) (b1+ c1– d1– e1)%
(c) (ab1+ bc1– gd1– de1)%
(d) (ab1+ bc1+ gd1+ de1)%
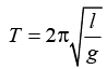
Q10: The period of oscillation of a simple pendulum is given by:
where is about 100 cm and is known to have 1 mm accuracy. The period is about 2 s. The time of 100 oscillations is measured by a stopwatch of least count 0.1 s. The percentage error in is:
(a) 0.1%
(b) 1%
(c) 0.2%
(d) 0.8%
Q11: The mean time period of second's pendulum is 2.00s and mean absolute error in the time period is 0.05s. To express maximum estimate of error, the time period should be written as
(a) (2.00 ± 0.01)s
(b) (2.00 + 0.025) s
(c) (2.00 ± 0.05) s
(d) (2.00 ± 0.10) s
Q12: Error in the measurement of radius of a sphere is 1%. The error in the calculated value of its volume is
(a) 1%
(b) 3%
(c) 5%
(d) 7%
Q13: Th e relative density of material of a body is found by weighing it first in air and then in water. If the weight in air is (5.00 ± 0.05) newton and weight in water is (4.00 ± 0.05) newton. Then the relative density along with the maximum permissible percentage error is
(a) 5.0 ± 11%
(b) 5.0 ± 1%
(c) 5.0 ± 6%
(d) 1.25 ± 5%
Q14: The resistance where V = 100 ± 5 volts and i = 10 ± 0.2 amperes. What is the total error in R ?
(a) 5%
(b) 7%
(c) 5.2%
(d) None
Q15: The length of a cylinder is measured with a meter rod having least count 0.1 cm. Its diameter is measured with vernier calipers having least count 0.01 cm. Given that length is 5.0 cm. and radius is 2.0 cm. The percentage error in the calculated value of the volume will be
(a) 1%
(b) 2%
(c) 3%
(d) 4%
Q16: According to Joule’s law of heating, heat produced H = I2Rt, where I is current, R is resistance and t is time . If the errors in the measurements of I,R. and t are 3%, 4% and 6% respectively then error in the measurement of H is
(a) ± 17%
(b) ± 16%
(c) ± 19%
(d) ± 25%
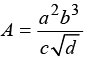
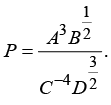
Q17: A physical quantity P is given by
The quantity which brings in the maximum percentage error in P is
(a) A
(b) B
(c) C
(d) D
Q18: If there is a positive error of 50% in the measurement of velocity of a body, then the error in the measurement of kinetic energy is
(a) 25%
(b) 50%
(c) 100%
(d) 125%
Q19: The random error in the arithmetic mean of 100 observations is x; then random enor in the arithmetic mean of 400 observations would be
(a) 4x
(b)
(c) 2x
(d) 
Q23: A thin copper wire of length l metre increases in length by 2% when heated through 10°C. Which is not the percentage increase in area when a square copper sheet of length l metre is heated through 10°C
(1) 12%
(2) 8%
(3) 16%
(4) 4%
Codes:
(a) 1, 2, and 3 are correct
(b) 1 and 2 are correct
(c) 2 and 4 are correct
(d) 1 and 3 are correct
Q24: A body travels uniformly a distance of (13.8 ± 0.2) m in a time (4.0 ± 0.3) s.
1. Its velocity with error limit is (3.5 ± 0.31) ms–1
2. Its velocity with error limit is (3.5 ± 0.11) ms–1
3. Percentage error in velocity is ± 4%
4. Percentage error in velocity is ± 9%
Codes:
(a) 1, 2, and 3 are correct
(b) 1 and 2 are correct
(c) 2 and 4 are correct
(d) 1 and 3 are correct
DIRECTION (Q25-Q27) : Read the passage given below and answer the questions that follows :
The internal radius of a 1m long resonance tube is measured as 3 cm. A tuning fork of frequency 2000 Hz is used. The first resonating length is measured as 4.6 cm and the second resonating length is measured as 14.0 cm.
Q25: Calculate the maximum percentage error in measurement of e.
(a) 3.33%
(b) 2.23%
(c) 4.33%
(d) 5.33%
Q26: Calculate the speed of sound at the room temperature.
(a) 275 m/s
(b) 376 m/s
(c) 356 m/s
(d) 330 m/s
Q27: Calculate the end correction.
(a) 0.2 cm
(b) 0.3 cm
(c) 0.1 cm
(d) 0.4 cm
DIRECTIONS (Q. 28-Q.30) : Each of these questions contains two statements: Statement-1 (Assertion) and Statement-2 (Reason). Each of these questions has four alternative choices, only one of which is the correct answer. You have to select the correct choice.
Q28: Statement-1: Number of significant figures in 0.005 is one and that in 0.500 is three.
Statement-2 : This is because zero is not significant.
(a) Statement-1 is True, Statement-2 is True; Statement-2 is a correct explanation for Statement-1.
(b) Statement-1 is True, Statement-2 is True; Statement-2 is NOT a correct explanation for Statement-1.
(c) Statement-1 is False, Statement-2 is True.
(d) Statement-1 is True, Statement-2 is False.
Q29: Statement-1: Out of th ree measuremen ts l = 0.7 m; l = 0.70 m and l = 0.700 m, the last one is most accurate.
Statement-2: In every measurement, only the last significant digit is not accurately known.
(a) Statement-1 is True, Statement-2 is True; Statement-2 is a correct explanation for Statement-1.
(b) Statement-1 is True, Statement-2 is True; Statement-2 is NOT a correct explanation for Statement-1.
(c) Statement-1 is False, Statement-2 is True.
(d) Statement-1 is True, Statement-2 is False.
Q30: Statement-I: Parallex method cannot be used for measuring distances of stars more than 100 light years
Statement-2: Because parallex angle reduces so much that it cannot be measured accurately.
(a) Statement-1 is True, Statement-2 is True; Statement-2 is a correct explanation for Statement-1.
(b) Statement-1 is True, Statement-2 is True; Statement-2 is NOT a correct explanation for Statement-1.
(c) Statement-1 is False, Statement-2 is True.
(d) Statement-1 is True, Statement-2 is False.
|
96 videos|367 docs|98 tests
|