Important Terms
- A sequence is an arrangement of numbers in a definite order according to some rule.
- The various numbers occurring in a sequence are called its terms. We denote the terms of a sequence by a1, a2, a3... etc. Here, the subscripts denote the positions of the terms. In general, the number at the nth place is called the nth term of the sequence and is denoted by an. The nth term is also called the general term of the sequence.
- A sequence having a finite number of terms is called a finite sequence.
- A sequence which do not have a last term and which extends indefinitely is known as an infinite sequence.
Geometric Progression
A sequence is said to be in geometric progression or G.P., if the ratio of any term to its preceding term is same throughout. Constant Ratio is common ratio denoted by 'r'.
General Term of a G.P.
The general term of a G.P. is given by
t
n = ar
n -1where 'a' is the first term and 'r' is the common ratio.
Properties of G.P.
- The ratio between the consecutive terms of a G.P. is always the same.

- rth term from the beginning x rth term from the end = constant = First term x Last term
- If a, b and c are in G.P,

- In a G.P. if the terms at equal distances are taken, these terms are also in G.P.
- If each term of a G.P. be multiplied or divided by the same non-zero number, the resulting series is also a G.P.
- The series obtained by taking the reciprocals of the terms of a G.P. is also a G.P.
- If each term of a G.P. is raised to the same non-zero number, the resulting series is also a G.P.
- If the corresponding terms of two different G.P.s are multiplied/divided together, the resulting series, so obtained, is also a G.P.
Sum of n terms of a G.P.
S
n = a + ar + ar² + ... + ar
n-1Case I: r = 1
S
n = a + a + a + ... + to n terms = na
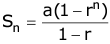
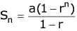
Case II: r < 1
Case III: r > 1

Sum of Infinite terms of a G.P.
Sum of infinite terms in G.P. , =

if |r| < 1
Geometric Mean Between Numbers a and b
If a and b are two positive numbers then a, G, b are in G.P.
⇒ G
2 = ab
⇒ G = √(ab)
Three or More Terms in G.P.
Number of terms is three: a/r, a, ar
Number of terms is four: a/(r
3), a/r, a, ar
3Number of terms is five:

and so on.