| Table of contents | |
| Rules of Construction of Root Locus | |
| Conclusion |
The root locus is a powerful graphical method used in control systems engineering to analyze how the poles of a closed-loop system vary with changes in a system parameter, typically the open-loop gain K. This technique helps engineers predict system stability and performance by plotting the paths of the closed-loop poles as K varies from zero to infinity (or negative infinity in some cases). Understanding the effect of gain on the root locus is crucial, as it directly influences the stability and dynamic behavior of the system. This document, sourced from a Testbook educational capsule, explores the fundamentals of root locus, with a particular emphasis on how gain K affects the pole locations for first-order and second-order systems, along with detailed rules and an example for constructing the root locus.
Usually, the open-loop gain (denoted as K) is varied. Based on the range of K, two types of root locus are defined:
The root locus uses the open-loop transfer function to predict closed-loop stability.
Consider the transfer function:

The characteristic equation is:
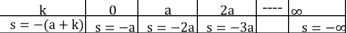
s=−(a+K)
Here, the root of the closed-loop equation is a function of a and the system gain K. As K varies, the pole location changes as follows:

The variation of closed loop pole path with the variation of parameter k is given as

As seen, k is varied from 0 to ∞ the root tends to move left side of the s-plane which means gaining more stability. Thus the system is stable for k ϵ (0, ∞).
The gain K directly affects the position of the closed-loop poles:
In the root locus, lines start from poles and end at zeros. Let the number of zeros be z and poles be p:
To construct the root locus, the following rules apply:
The root locus method provides a clear visualization of how the gain K influences the closed-loop pole locations, thereby affecting system stability and response. In first-order systems, increasing K shifts the pole leftward, enhancing stability. In second-order systems, K drives the poles from real to complex, introducing oscillatory behavior while maintaining stability in the left half-plane. By mastering the effect of gain on the root locus and applying construction rules, engineers can design systems with desired performance characteristics. This knowledge is particularly valuable for exams like GATE, where such concepts are frequently tested, emphasizing the practical importance of understanding gain’s role in control system design.
53 videos|116 docs|40 tests |
| 1. What is the significance of root locus in control systems? | ![]() |
| 2. How does the root locus behave for a first-order open-loop transfer function? | ![]() |
| 3. What are the rules for constructing a root locus? | ![]() |
| 4. How does the gain affect the root locus? | ![]() |
| 5. How can one determine the number of lines in the root locus? | ![]() |