NEET 2026 Guidance: 4 questions were asked in last 2 years and 15 questions were asked in last 5 years.
Q1. What is the angle between two forces of 2N and 3N having resultant as 4N?
Sol: Using the equation R = √(A2 + B2 + 2AB cos θ)
We can write,
⇒ 4 = √(22 + 32 + 2 × 2 × 3 cos θ)
⇒ 16 = 4 + 9 + 12 cos θ
⇒ 12 cos θ = 16 - 4 - 9
⇒ 12 cos θ = 3
⇒ cos θ = 3 / 12
⇒ cos θ = cos-1(0.25)
⇒ θ = 75'32', which is the required angle.
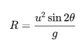
Q2. What is the angle of projection at which horizontal range and maximum height are equal?
Sol: We can write,
u2 sin 2θ / g = R (Horizontal Range)
Therefore, we can write,
sin 2θ = 2 sin θ Cos θ
u2 sin2 θ / 2g = Hmax (Maximum Height)
⇒ 2 sin θ cos θ = 1/2 sin2 θ
⇒ tan θ = 4
⇒ θ = 75.96°, which is the required angle of projection.
Q3. Two forces 5 kgwt and 10 kgwt are acting with an inclination of 120° between them. What is the angle which the resultant makes with 10 kgwt?
Sol: Let the angle between the forces be θ = 120∘.
Let β be the angle made by the resultant with the 10 kgwt force.
For the angle with the force P when the other force is Q:
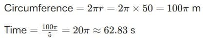
Q4. A cyclist moves in a circle of radius 50 m at a constant speed of 5 m/s. Find:
a) Magnitude of centripetal acceleration
b) Time taken to complete one circle
Sol: (a) Centripetal Acceleration

(b) Time for one Revolution

Q5. A body of mass m is thrown with velocity u at an angle of 30° to the horizontal and another body B of the same mass is thrown with velocity at an angle of 60° to the horizontal. Find the ratio of the horizontal range and maximum height of A and B?
Sol: Case 1:
When θ = 30°
RA = (u2 / g) × sin 2(30°)
⇒ RA = (u2 / g) × √3 / 2
When θ = 60°
RB = (u2 / g) × sin 2(60°)
⇒ RB = (u2 / g) × √3 / 2
⇒ RA : RB = 1:1
Case 2:
When θ = 30°
HA = (u2 / g) × sin2 30°
⇒ HA = (u2 / g) (1 / 4)
When θ = 60°
HB = (u2 / g) × sin2 60°
⇒ HB = (u2 / g) (3 / 4)
⇒ HA : HB = 1:3, which is the required ratio.
Q6. A projectile is fired with velocity 20 m/s at an angle 30° above the horizontal. Find:
a) Time of flight
b) Maximum height
c) Range
Sol: Given:
Initial speed, u=20 m/s
Angle of projection, θ = 30∘
Acceleration due to gravity, g = 10 m/s2
(a) Time of Flight
Time of flight = 2 sec
(b) Maximum Height (H)

(c) Horizontal Range (R)




Q7. An aircraft is flying at a height of 3400m above the ground. If the angle subtended at the ground observation point by the aircraft positions 10s apart is 30°, what is the speed of the aircraft?
Sol: The positions of the observer and the aircraft are depicted in the following figure.
Height of the aircraft from ground is given as, OR = 3400m
Angle subtended between the positions is given as, ∠POQ = 30°
Time = 10s
In ΔPRO, we can write:
tan 15° = PR / OR
⇒ PR = OR tan 15°
⇒ PR = 3400 × tan 15°
ΔPRO is similar to ΔRQO.
PR = RQ
⇒ PQ = PR + RQ
⇒ PQ = 2PR = 2 × 3400 tan 15°
⇒ PQ = 6800 × 0.268 = 1822.4m
Therefore, speed of the aircraft
1822.4 / 10 = 182.24m/s
Q8. In a harbour, wind is blowing at the speed of 72km/h and the flag on the mast of a boat anchored in the harbour flutters along the N-E direction. If the boat starts moving at a speed of 51km/h to the north, what is the direction of the flag on the mast of the boat?
Sol: Wind speed =72 km/h towards N-E. Boat speed =51 km/h towards N.
Direction of the flag = direction of apparent wind on the boat:

Resolve into East (i) and North (j):
The flag points almost due east, very slightly south of east (about 0.1°).
Q9. Find a unit vector parallel to the resultant of the vectors A = 2i + 3j + 4k and B = 3i + 5j + k.
Sol: 
Q10: If the range of a projectile is equal to its maximum height, find the angle of projection.
Sol: Let the angle of projection be θ and initial speed u.
Given,

| 1. What is the difference between scalar and vector quantities in motion? | ![]() |
| 2. How do you calculate the resultant displacement when two vectors are involved? | ![]() |
| 3. What are the equations of motion in two dimensions? | ![]() |
| 4. How can projectile motion be described in terms of its components? | ![]() |
| 5. What is the significance of the angle of projection in projectile motion? | ![]() |