Engineering Mathematics Exam  >  Engineering Mathematics Notes  >  Algebra- Engineering Maths  >  Lecture 8 - Eigenvalues and EigenVectors

Lecture 8 - Eigenvalues and EigenVectors | Algebra- Engineering Maths - Engineering Mathematics PDF Download

Lecture 8 - Eigenvalues and EigenVectors | Algebra- Engineering Maths - Engineering Mathematics

Eigenvalue Definition

  • Eigenvalues are the special set of scalars associated with the system of linear equations. It is mostly used in matrix equations. 
  • ‘Eigen’ is a German word that means ‘proper’ or ‘characteristic’. 
  • Therefore, the term eigenvalue can be termed as characteristic value, characteristic root, proper values or latent roots as well. In simple words, the eigenvalue is a scalar that is used to transform the eigenvector. The basic equation is Ax = λx. 
    The number or scalar value “λ” is an eigenvalue of A.
  • In Mathematics, an eigenvector corresponds to the real non zero eigenvalues which point in the direction stretched by the transformation whereas eigenvalue is considered as a factor by which it is stretched. In case, if the eigenvalue is negative, the direction of the transformation is negative.

For every real matrix,  there is an eigenvalue. Sometimes it might be complex. The existence of the eigenvalue for the complex matrices is equal to the fundamental theorem of algebra.

What are EigenVectors?

  • Eigenvectors are the vectors (non-zero) that do not change the direction when any linear transformation is applied. It changes by only a scalar factor. In a brief, we can say, if A is a linear transformation from a vector space V and x is a vector in V, which is not a zero vector, then v is an eigenvector of A if A(X) is a scalar multiple of x.
  • An Eigenspace of vector x consists of a set of all eigenvectors with the equivalent eigenvalue collectively with the zero vector. Though, the zero vector is not an eigenvector.
  • Let us say A is an “n × n” matrix and λ is an eigenvalue of matrix A, then x, a non-zero vector, is called as eigenvector if it satisfies the given below expression;
    Ax = λx
    x is an eigenvector of A corresponding to eigenvalue, λ.
  • Note:
    There could be infinitely many Eigenvectors, corresponding to one eigenvalue.
    For distinct eigenvalues, the eigenvectors are linearly dependent.

Eigenvalues of a Square Matrix

  • Suppose, An×n is a square matrix, then [A- λI] is called an Eigen or characteristic matrix, which is an indefinite or undefined scalar. Where determinant of Eigen matrix can be written as, |A- λI| and |A- λI| = 0 is the Eigen equation or characteristics equation, where “I” is the identity matrix. 
  • The roots of an Eigen matrix are called Eigen roots.
  • Eigenvalues of a triangular matrix and diagonal matrix are equivalent to the elements on the principal diagonals
    But eigenvalues of the scalar matrix are the scalar only.

Properties of Eigenvalues

  • Eigenvectors with Distinct Eigenvalues are Linearly Independent
  • Singular Matrices have Zero Eigenvalues
  • If A is a square matrix, then λ = 0 is not an eigenvalue of A
  • For a scalar multiple of a matrix: If A is a square matrix and λ is an eigenvalue of A. Then, aλ is an eigenvalue of aA.
  • For Matrix powers: If A is square matrix and λ is an eigenvalue of A and n ≥ 0 is an integer, then λn is an eigenvalue of An.
  • For polynomials of matrix: If A is a square matrix, λ is an eigenvalue of A and  p(x) is a polynomial in variable x, then p(λ) is the eigenvalue of matrix p(A).
  • Inverse Matrix: If A is a square matrix, λ is an eigenvalue of A, then λ-1 is an eigenvalue of A-1
  • Transpose matrix: If A is a square matrix, λ is an eigenvalue of A, then λ is an eigenvalue of At 

EigenValue Example

In this shear mapping, the blue arrow changes direction, whereas the pink arrow does not. Here, the pink arrow is an eigenvector because it does not change direction. Also, the length of this arrow is not changed; its eigenvalue is 1.
Lecture 8 - Eigenvalues and EigenVectors | Algebra- Engineering Maths - Engineering Mathematics

Eigenvalues of 2 x 2 Matrix

Let us have a look at the example given below to learn how to find the eigenvalues of a 2 x 2 matrix.

Example 1: Find the eigenvalues of the 2 x 2 matrix
Lecture 8 - Eigenvalues and EigenVectors | Algebra- Engineering Maths - Engineering Mathematics
Solution:

Given,
Lecture 8 - Eigenvalues and EigenVectors | Algebra- Engineering Maths - Engineering Mathematics Using the characteristic equation,
Let
Lecture 8 - Eigenvalues and EigenVectors | Algebra- Engineering Maths - Engineering Mathematics be the 2 x 2 identity matrix.
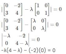
|A – λI| = 0
Lecture 8 - Eigenvalues and EigenVectors | Algebra- Engineering Maths - Engineering Mathematics -4λ + λ2 = 0
λ(λ – 4) = 0
λ = 0 or λ – 4 = 0
Thus, λ = 0 or λ = 4
Hence, the two eigenvalues of the given matrix are λ = 0 and λ = 4.
Go through the following problem to find the Eigenvalue of 3 x 3 matrix.

Example: Find the Eigenvalue for the matrix
Lecture 8 - Eigenvalues and EigenVectors | Algebra- Engineering Maths - Engineering Mathematics

Sol:
Given Matrix:
Lecture 8 - Eigenvalues and EigenVectors | Algebra- Engineering Maths - Engineering Mathematics
To find: Eigenvalues, λi
We know that  λi are the roots of det (A-λI)
Where, “I” is the identity Matrix.
Therefore,
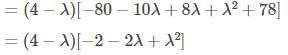
Lecture 8 - Eigenvalues and EigenVectors | Algebra- Engineering Maths - Engineering Mathematics = (4 − λ) [(10 − λ) (− 8 − λ) − 13 (− 6)] − 6 [(3) (− 8 − λ) − 13 (− 2)] + 10 [(3) (−6) − (10 − λ) (− 2)] 
Now, take the first part from the above equation.
Lecture 8 - Eigenvalues and EigenVectors | Algebra- Engineering Maths - Engineering Mathematics

On simplifying the above expression, we get
Lecture 8 - Eigenvalues and EigenVectors | Algebra- Engineering Maths - Engineering Mathematics which is the simplified form of the first term of the expression. …(1)
Similarly, for the second term of the equation, we get
Lecture 8 - Eigenvalues and EigenVectors | Algebra- Engineering Maths - Engineering Mathematics Similarly, for the third term,
Lecture 8 - Eigenvalues and EigenVectors | Algebra- Engineering Maths - Engineering Mathematics

Hence, 
det (A-λI) = (1)+(2)+(3)
det (A-λI) = -λ+ 6λ– 6λ – 8 – 12 +18λ +20-20λ
=-λ3+6λ2-8λ+0
Therefore, the Eigenvalues of the matrix A can be found by
3+6λ2-8λ =0
Now, multiply the above equation by (-1) on both sides, we get
λ3-6λ2+8λ =0
On factoring the above equation, we get
λ(λ2-6λ+8)=0
Thus,
λ = 0, and (λ2-6λ + 8) = 0
Use the quadratic equation formula to find the roots of the equation (λ2-6λ + 8) = 0
Here, a = 1, b = -6, c = 8
Now, the values in the quadratic formula,
Lecture 8 - Eigenvalues and EigenVectors | Algebra- Engineering Maths - Engineering Mathematics
Hence, λ= 2 and λ=4
Therefore, the Eigenvalues of matrix A are 0, 2, 4.

Practice Problems

Find the Eigenvalues for the following Matrices.

  • Lecture 8 - Eigenvalues and EigenVectors | Algebra- Engineering Maths - Engineering Mathematics
  • Lecture 8 - Eigenvalues and EigenVectors | Algebra- Engineering Maths - Engineering Mathematics
The document Lecture 8 - Eigenvalues and EigenVectors | Algebra- Engineering Maths - Engineering Mathematics is a part of the Engineering Mathematics Course Algebra- Engineering Maths.
All you need of Engineering Mathematics at this link: Engineering Mathematics
9 docs

FAQs on Lecture 8 - Eigenvalues and EigenVectors - Algebra- Engineering Maths - Engineering Mathematics

1. What is the definition of an eigenvalue and how is it related to linear transformations?
Ans. An eigenvalue is a scalar associated with a linear transformation represented by a square matrix. When a matrix A acts on a vector v (an eigenvector), the result is the same as scaling the vector v by the eigenvalue λ. This relationship is expressed by the equation Av = λv, where A is a square matrix, v is the eigenvector, and λ is the eigenvalue.
2. What are eigenvectors and how do they differ from regular vectors?
Ans. Eigenvectors are special vectors that, when transformed by a matrix, only change in scale (length) and not in direction. Unlike regular vectors that can change direction when a matrix is applied, eigenvectors maintain their direction and are associated with specific eigenvalues. In the equation Av = λv, v is the eigenvector.
3. What are some important properties of eigenvalues?
Ans. Eigenvalues have several important properties: 1. The eigenvalues of a matrix are invariant under similarity transformations, meaning if a matrix is transformed into another matrix via a similarity transformation, the eigenvalues remain the same. 2. The sum of the eigenvalues of a matrix equals the trace of the matrix (the sum of the diagonal elements). 3. The product of the eigenvalues equals the determinant of the matrix. 4. Complex eigenvalues occur in conjugate pairs if the matrix has real entries.
4. How can we find the eigenvalues of a 2 x 2 matrix?
Ans. To find the eigenvalues of a 2 x 2 matrix A, we first compute the characteristic polynomial, which is obtained from the determinant of (A - λI), where λ is the eigenvalue and I is the identity matrix. For a matrix A = [[a, b], [c, d]], the characteristic polynomial is given by the equation |A - λI| = (a - λ)(d - λ) - bc = 0. Solving this quadratic equation provides the eigenvalues.
5. Why are eigenvalues and eigenvectors significant in engineering mathematics?
Ans. Eigenvalues and eigenvectors are crucial in engineering mathematics as they provide insights into the behavior of linear systems, stability analysis, and vibrations. They are used in various applications such as structural engineering, control theory, and modal analysis, where understanding how systems respond to different inputs or changes is essential for design and analysis.
Related Searches

Semester Notes

,

study material

,

Viva Questions

,

video lectures

,

mock tests for examination

,

pdf

,

Extra Questions

,

past year papers

,

Sample Paper

,

Lecture 8 - Eigenvalues and EigenVectors | Algebra- Engineering Maths - Engineering Mathematics

,

Lecture 8 - Eigenvalues and EigenVectors | Algebra- Engineering Maths - Engineering Mathematics

,

Previous Year Questions with Solutions

,

Free

,

shortcuts and tricks

,

MCQs

,

Summary

,

Exam

,

practice quizzes

,

Important questions

,

Objective type Questions

,

Lecture 8 - Eigenvalues and EigenVectors | Algebra- Engineering Maths - Engineering Mathematics

,

ppt

;