Class 8 Exam  >  Class 8 Notes  >  Mathematics Class 8- New NCERT (Ganita Prakash)  >  Short Question Answer: Quadrilaterals

Short Question Answer: Quadrilaterals | Mathematics Class 8- New NCERT (Ganita Prakash) PDF Download

Q1: In the given parallelogram ABCD, find the value of x and y.
Short Question Answer: Quadrilaterals | Mathematics Class 8- New NCERT (Ganita Prakash)Ans:
 
∠A + ∠B = 180°
3y + 2y – 5 = 180°
⇒ 5y – 5 = 180°
⇒ 5y = 180 + 5°
⇒ 5y = 185°
⇒ y = 37°
Now ∠A = ∠C [Opposite angles of a parallelogram] 3y = 3x + 3
⇒ 3 × 37 = 3x + 3
⇒ 111 = 3x + 3
⇒ 111 – 3 = 3x
⇒ 108 = 3x
⇒ x = 36°
Hence, x = 36° and y – 37°.

Q2: If one angle of a quadrilateral is 90° and the other three are equal, then each of the equal angles is:
a) 60°
b) 70°
c) 80°
d) 90°

Answer: c) 90°
Explanation: Let the equal angles be x. Then, 90° + 3x = 360°. So, 3x = 270° → x = 90°.

Q3: Find the values of x and y in the following parallelogram.
Short Question Answer: Quadrilaterals | Mathematics Class 8- New NCERT (Ganita Prakash)Ans:
 
Since, the diagonals of a parallelogram bisect each other.
OA = OC
x + 8 = 16 – x
⇒ x + x = 16 – 8
⇒ 2x = 8
x = 4
Similarly, OB = OD
5y + 4 = 2y + 13
⇒ 3y = 9
⇒ y = 3
Hence, x = 4 and y = 3

Q4. Which of the following quadrilaterals always has its diagonals equal in length?
a) Parallelogram
b) Rhombus
c) Rectangle
d) Trapezium

Answer: c) Rectangle
Explanation: In a rectangle, diagonals are equal and bisect each other.

Q4: The sides AB and CD of a quadrilateral ABCD are extended to points P and Q respectively. Is ∠ADQ + ∠CBP = ∠A + ∠C? Give reason.
Ans: 
Join AC, then
∠CBP = ∠BCA + ∠BAC and ∠ADQ = ∠ACD + ∠DAC (Exterior angles of triangles)
Short Question Answer: Quadrilaterals | Mathematics Class 8- New NCERT (Ganita Prakash)Therefore,∠CBP + ∠ADQ = ∠BCA + ∠BAC + ∠ACD + ∠DAC
= (∠BCA + ∠ACD) + (∠BAC + ∠DAC)
= ∠C + ∠A

Q7. In a kite, which pair of angles are equal?
a) All four angles
b) Angles between unequal sides
c) Angles between equal sides
d) Opposite angles at the ends of diagonals

Answer: b) Angles between unequal sides
Explanation: In a kite, the pair of opposite angles between unequal sides are equal.
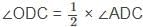
Q5: ABCD is a rhombus with ∠ABC = 126°, find the measure of ∠ACD.
Short Question Answer: Quadrilaterals | Mathematics Class 8- New NCERT (Ganita Prakash)Ans:
∠ABC = ∠ADC (Opposite angles of a rhombus)
∠ADC = 126°
Short Question Answer: Quadrilaterals | Mathematics Class 8- New NCERT (Ganita Prakash)

 (Diagonal of rhombus bisects the respective angles)

Short Question Answer: Quadrilaterals | Mathematics Class 8- New NCERT (Ganita Prakash)

⇒ ∠DOC = 90° (Diagonals of a rhombus bisect each other at 90°)
In ΔOCD,
∠OCD + ∠ODC + ∠DOC = 180° (Angle sum property)
⇒ ∠OCD + 63° + 90° = 180°
⇒ ∠OCD + 153° = 180°
⇒ ∠OCD = 180° – 153° = 27°
Hence ∠OCD or ∠ACD = 27°

Q6: The sum of the interior angles of a quadrilateral is always:
a) 180°
b) 270°
c) 360°
d) 540°

Answer: c) 360°
Explanation: For an n-sided polygon, sum of interior angles = (n – 2) × 180°. For a quadrilateral (n = 4): (4 – 2) × 180° = 360°.

Q7: Write true and false against each of the given statements.
(a) Diagonals of a rhombus are equal.
(b) Diagonals of rectangles are equal.
(c) Kite is a parallelogram.
(d) Sum of the interior angles of a triangle is 180°.
(e) A trapezium is a parallelogram.
(f) Sum of all the exterior angles of a polygon is 360°.
(g) Diagonals of a rectangle are perpendicular to each other.
(h) Triangle is possible with angles 60°, 80° and 100°.
(i) In a parallelogram, the opposite sides are equal.
Ans:
 

(a) False

(b) True

(c) False

(d) True

(e) False

(f) True

(g) False

(h) False

(i) True

Q8. Which quadrilateral has one pair of parallel sides?
a) Parallelogram
b) Rhombus
c) Trapezium
d) Square

Answer: c) Trapezium
Explanation: A trapezium has only one pair of parallel sides.

The document Short Question Answer: Quadrilaterals | Mathematics Class 8- New NCERT (Ganita Prakash) is a part of the Class 8 Course Mathematics Class 8- New NCERT (Ganita Prakash).
All you need of Class 8 at this link: Class 8
26 videos|177 docs|11 tests

FAQs on Short Question Answer: Quadrilaterals - Mathematics Class 8- New NCERT (Ganita Prakash)

1. What are the different types of quadrilaterals?
Ans. Quadrilaterals can be classified into several types, including squares, rectangles, rhombuses, parallelograms, trapezoids, and kites. Each type has unique properties, such as the number of equal sides and angles. For example, a square has four equal sides and four right angles, while a rectangle has opposite sides equal and four right angles.
2. What are the properties of a parallelogram?
Ans. A parallelogram has several key properties: opposite sides are equal in length, opposite angles are equal, and the diagonals bisect each other. Additionally, the sum of the interior angles of a parallelogram is always 360 degrees. This means that if one angle is known, the other three can be easily determined.
3. How do you calculate the area of different quadrilaterals?
Ans. The area of different quadrilaterals can be calculated using specific formulas. For example, the area of a rectangle is given by length × width, while the area of a square is side². For trapezoids, the area can be calculated using the formula (1/2) × (base₁ + base₂) × height. Each formula is based on the specific dimensions of the quadrilateral.
4. What is the sum of the interior angles of a quadrilateral?
Ans. The sum of the interior angles of a quadrilateral is always 360 degrees. This can be determined by dividing the quadrilateral into two triangles, as each triangle has a sum of angles equal to 180 degrees. Therefore, 180 degrees × 2 = 360 degrees for the quadrilateral.
5. How can you distinguish between a kite and a rhombus?
Ans. A kite and a rhombus are both quadrilaterals, but they have distinct properties. A kite has two pairs of adjacent sides that are equal, while a rhombus has all four sides equal. Additionally, the diagonals of a kite intersect at right angles, whereas in a rhombus, the diagonals bisect each other but are not necessarily perpendicular.
Related Searches

Extra Questions

,

Semester Notes

,

past year papers

,

Viva Questions

,

Short Question Answer: Quadrilaterals | Mathematics Class 8- New NCERT (Ganita Prakash)

,

Short Question Answer: Quadrilaterals | Mathematics Class 8- New NCERT (Ganita Prakash)

,

Free

,

video lectures

,

Exam

,

Objective type Questions

,

Important questions

,

ppt

,

pdf

,

Short Question Answer: Quadrilaterals | Mathematics Class 8- New NCERT (Ganita Prakash)

,

mock tests for examination

,

MCQs

,

Previous Year Questions with Solutions

,

Summary

,

study material

,

practice quizzes

,

shortcuts and tricks

,

Sample Paper

;