Class 8 Exam  >  Class 8 Notes  >  Mathematics Class 8- New NCERT (Ganita Prakash)  >  Short Question Answer: We Distribute, Yet Things Multiply

Short Question Answer: We Distribute, Yet Things Multiply | Mathematics Class 8- New NCERT (Ganita Prakash) PDF Download

Q1: Write two examples of each of:
(i) Monomials
(ii) Binomials
(iii) Trinomials

Ans: 
(i) Monomials:
(a) 7x
(b) -62xy²

(ii) Binomials:
(a) 4p + q
(b) -75a + 42b

(iii) Trinomials:
(a) a + b + c
(b) x² - 45x + 2

Q2: Add the following : 
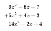
(a) 9x2−6x+7 and 5x2+4x−3.
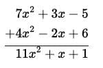
(b) 7x2+3x−5 and 4x2−2x+6.

Ans: 
(a) 

Short Question Answer: We Distribute, Yet Things Multiply | Mathematics Class 8- New NCERT (Ganita Prakash)

The sum is 14x2−2x+4.

(b)

Short Question Answer: We Distribute, Yet Things Multiply | Mathematics Class 8- New NCERT (Ganita Prakash)

The sum is 11x2+x+1.


Q2: Multiply (6x2 – 5x + 3) by (3x2 + 7x – 3)
Ans:
(6x2 – 5x + 3) × (3x2 + 7x – 3)
= 6x2(3x2 + 7x – 3) – 5x(3x2 + 7x – 3) + 3(3x2 + 7x – 3)
= 18x4 + 42x3 – 18x2 – 15x3 – 35x2 + 15x + 9x2 + 21x – 9
= 18x4 + 42x3 – 15x3 – 18x2 – 35x2 + 9x2 + 15x + 21x – 9
= 18x4 + 27x3 – 44x2 + 36x – 9

Q3:  Multiply (3x2 + 5y2) by (5x2 – 3y2)
Ans:
(3x2 + 5y2) × (5x2 – 3y2)
= 3x2(5x2 – 3y2) + 5y2(5x2 – 3y2)
= 15x4 – 9x2y2 + 25x2y2 – 15y4
= 15x4 + 16x2y2 – 15y4

Q4: Subtract the following :

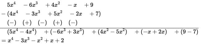
(a) 4x4−3x3+5x2−2x+7 from 5x4−6x3+4x2−x+9.
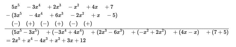
(b) 3x5−4x4+6x3−2x2+x−5 from 5x5−3x4+2x3−x2+4x+7.
Ans: 
(a) 

Short Question Answer: We Distribute, Yet Things Multiply | Mathematics Class 8- New NCERT (Ganita Prakash)
(b) 

Short Question Answer: We Distribute, Yet Things Multiply | Mathematics Class 8- New NCERT (Ganita Prakash)


Q5:  Find the product of the following pairs of monomials.

(i) 3x,5y
(ii) −6x,2x2
(iii) −7x,−3x3
(iv) 4xy,−2y2
(v) 5x2y,0
Ans: 
(i) 3x × 5y = (3 × 5)×(x × y) = 15xy
(ii)−6x × 2x= (−6 × 2) × (x × x2) = −12x
(iii) −7x × −3 x 3 = (−7 × −3) × (x × x3) = 21x4
(iv) 4xy × −2y= (4 × −2) × (xy × y2) = −8xy3
(v) 5x2y × 0 = 5 × x2y × 0 = 0


Q6: Simplify: 2x2(x + 2) – 3x (x2 – 3) – 5x(x + 5)
Ans: 2x2(x + 2) – 3x(x2 – 3) – 5x(x + 5)
= 2x3 + 4x2 – 3x3 + 9x – 5x2 – 25x
= 2x3 – 3x3 – 5x2 + 4x2 + 9x – 25x
= -x3 – x2 – 16x

Q7: Simplify the following :
(i) (y2−4) (y + 3) + 12
(ii) (m2+6)(n3−2)+7
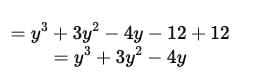
Ans:  (i) Simplifying (y2−4) (y + 3) + 12
Short Question Answer: We Distribute, Yet Things Multiply | Mathematics Class 8- New NCERT (Ganita Prakash)
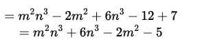
(ii) Simplifying (m2+6)(n3−2)+7
Short Question Answer: We Distribute, Yet Things Multiply | Mathematics Class 8- New NCERT (Ganita Prakash)

Q8: Identify the like expressions:
7a, −2a, 4b2, −6b2, ab, −3ab

Ans: Like terms:

  • 7a and −2a
  • 4b2 and −6b2
  • ab and −3ab

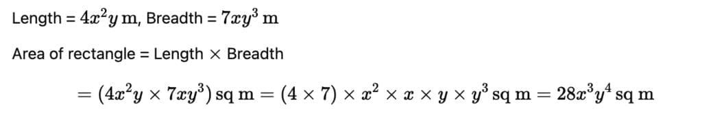
Q9: Find the area of the rectangle whose length and breadth are 4x2y  m and7xy3  m respectively.
Ans: 

Short Question Answer: We Distribute, Yet Things Multiply | Mathematics Class 8- New NCERT (Ganita Prakash)

Q10. The cost of painting a rectangular board is calculated based on its area. If the length of the board is  5x3ym and the breadth is3xy3  m, find the area of the board to estimate the cost of painting.

Ans: 

Short Question Answer: We Distribute, Yet Things Multiply | Mathematics Class 8- New NCERT (Ganita Prakash)

The document Short Question Answer: We Distribute, Yet Things Multiply | Mathematics Class 8- New NCERT (Ganita Prakash) is a part of the Class 8 Course Mathematics Class 8- New NCERT (Ganita Prakash).
All you need of Class 8 at this link: Class 8
26 videos|133 docs|11 tests

FAQs on Short Question Answer: We Distribute, Yet Things Multiply - Mathematics Class 8- New NCERT (Ganita Prakash)

1. What is the main idea behind the phrase "We Distribute, Yet Things Multiply"?
Ans. The phrase suggests that when resources or knowledge are shared among individuals or groups, it can lead to an increase in overall benefits or outcomes. This concept is often seen in economics, education, and community development, where collaboration and distribution can lead to greater collective success.
2. How does distribution lead to multiplication in a community setting?
Ans. In a community, when resources such as funds, information, or skills are distributed among its members, it can create opportunities for collaboration and innovation. This sharing can empower individuals, enhance productivity, and foster growth, which ultimately multiplies the benefits for the entire community.
3. Can you provide examples of how sharing knowledge multiplies success?
Ans. Yes, for instance, in educational settings, when teachers share effective teaching strategies with one another, it enhances the learning experiences of students. Similarly, in the business world, companies that share best practices and collaborate on projects often achieve better results than those that work in isolation.
4. What role does collaboration play in the multiplication of resources?
Ans. Collaboration plays a crucial role in resource multiplication as it allows individuals and organizations to pool their resources, knowledge, and skills. This pooling can lead to more effective use of resources, innovative solutions, and increased efficiency, thus multiplying outcomes that benefit all parties involved.
5. How can we encourage a culture of distribution to enhance multiplication in society?
Ans. Encouraging a culture of distribution can be achieved through promoting open communication, creating platforms for sharing resources, and recognizing collaborative efforts. Educational programs that emphasize teamwork and community engagement can also foster this culture, leading to multiplied benefits across society.
Related Searches

Yet Things Multiply | Mathematics Class 8- New NCERT (Ganita Prakash)

,

ppt

,

pdf

,

Important questions

,

Previous Year Questions with Solutions

,

Free

,

Yet Things Multiply | Mathematics Class 8- New NCERT (Ganita Prakash)

,

Short Question Answer: We Distribute

,

Exam

,

video lectures

,

past year papers

,

MCQs

,

practice quizzes

,

Objective type Questions

,

Short Question Answer: We Distribute

,

Sample Paper

,

study material

,

shortcuts and tricks

,

Short Question Answer: We Distribute

,

mock tests for examination

,

Yet Things Multiply | Mathematics Class 8- New NCERT (Ganita Prakash)

,

Summary

,

Extra Questions

,

Semester Notes

,

Viva Questions

;