Class 11 Exam  >  Class 11 Notes  >  System Of particles And Rotational Motion, NCERT Solutions, Class 11, Physics

System Of particles And Rotational Motion, NCERT Solutions, Class 11, Physics PDF Download

NCERT QUESTION

( System Of particles And Rotational Motion )

 

Question 7.1: Give the location of the centre of mass of a (i) sphere, (ii) cylinder, (iii) ring, and (iv) cube, each of uniform mass density. Does the centre of mass of a body necessarily lie inside the body?

 

ANSWER :-      Geometric centre; No

The centre of mass (C.M.) is a point where the mass of a body is supposed to be concentrated. For the given geometric shapes having a uniform mass density,the C.M. lies at their respective geometric centres

The centre of mass of a body need not necessarily lie within it. For example, the C.M. of bodies such as a ring, a hollow sphere, etc., lies outside the body.

 

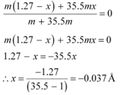
Question 7.2: In the HCl molecule, the separation between the nuclei of the two atoms is about 1.27 Å (1 Å = 10–10 m). Find the approximate location of the CM of the molecule, given that a chlorine atom is about 35.5 times as massive as a hydrogen atom and nearly all the mass of an atom is concentrated in its nucleus.

System Of particles And Rotational Motion, NCERT Solutions, Class 11, Physics

 

ANSWER :-      The given situation can be shown as:

Distance between H and Cl atoms = 1.27Å

Mass of H atom = m

Mass of Cl atom = 35.5m

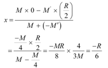
Let the centre of mass of the system lie at a distance x from the Cl atom.

Distance of the centre of mass from the H atom = (1.27 – x)

Let us assume that the centre of mass of the given molecule lies at the origin. Therefore, we can have:

System Of particles And Rotational Motion, NCERT Solutions, Class 11, Physics

 

Here, the negative sign indicates that the centre of mass lies at the left of the molecule. Hence, the centre of mass of the HCl molecule lies 0.037Å from the Cl atom.

 

Question 7.3: A child sits stationary at one end of a long trolley moving uniformly with a speed on a smooth horizontal floor. If the child gets up and runs about on the trolley in any manner, what is the speed of the CM of the (trolley child) system?

 

ANSWER :- No change

The child is running arbitrarily on a trolley moving with velocity v. However, the running of the child will produce no effect on the velocity of the centre of mass of the trolley. This is because the force due to the boy’s motion is purely internal. Internal forces produce no effect on the motion of the bodies on which they act. Since no external force is involved in the boy–trolley system, the boy’s motion will produce no change in the velocity of the centre of mass of the trolley.

 

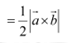
Question 7.4: Show that the area of the triangle contained between the vectors a and b is one half of the magnitude of a × b.

System Of particles And Rotational Motion, NCERT Solutions, Class 11, Physics

 

ANSWER :-      Consider two vectors                 and                , inclined at an angle θ, as shown in the following figure.

In ΔOMN, we can write the relation:

System Of particles And Rotational Motion, NCERT Solutions, Class 11, Physics

= 2 × Area of ΔOMK System Of particles And Rotational Motion, NCERT Solutions, Class 11, Physics

∴Area of ΔOMK 

 

Question 7.5: Show that a. (b × c) is equal in magnitude to the volume of the parallelepiped formed on the three vectors, a, b and c.

 

ANSWER :-  A parallelepiped with origin O and sides ab, and c is shown in the following figure.

Volume of the given parallelepiped = abc

System Of particles And Rotational Motion, NCERT Solutions, Class 11, Physics                                                     System Of particles And Rotational Motion, NCERT Solutions, Class 11, Physics

 System Of particles And Rotational Motion, NCERT Solutions, Class 11, Physics

 

Question 7.6: Find the components along the x, y, z axes of the angular momentum l of a particle, whose position vector is r with components xyand momentum is p with components pxpy and pz. Show that if the particle moves only in the x-plane the angular momentum has only a z-component.

 

ANSWER :-      lx = ypz – zpy

l= zpx – xpz

lz = xpy –ypx

System Of particles And Rotational Motion, NCERT Solutions, Class 11, Physics

 System Of particles And Rotational Motion, NCERT Solutions, Class 11, Physics

Question 7.7:       Two particles, each of mass and speed v, travel in opposite directions along parallel lines separated by a distance d. Show that the vector angular momentum of the two particle system is the same whatever be the point about which the angular momentum is taken.

 ANSWER :-      Let at a certain instant two particles be at points P and Q, as shown in the following figure.

Angular momentum of the system about point P:3

System Of particles And Rotational Motion, NCERT Solutions, Class 11, Physics

 System Of particles And Rotational Motion, NCERT Solutions, Class 11, Physics

 We infer from equation (iv) that the angular momentum of a system does not depend on the point about which it is taken.

System Of particles And Rotational Motion, NCERT Solutions, Class 11, Physics

 

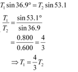
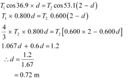
Question 7.8: A non-uniform bar of weight is suspended at rest by two strings of negligible weight as shown in Fig.7.39. The angles made by the strings with the vertical are 36.9° and 53.1° respectively. The bar is 2 m long. Calculate the distance of the centre of gravity of the bar from its left end.

 

ANSWER :-      The free body diagram of the bar is shown in the following figure.

Length of the bar, l = 2 m

Tand T2 are the tensions produced in the left and right strings respectively.

System Of particles And Rotational Motion, NCERT Solutions, Class 11, Physics

At translational equilibrium, we have:

System Of particles And Rotational Motion, NCERT Solutions, Class 11, Physics

 

For rotational equilibrium, on taking the torque about the centre of gravity, we have:

 System Of particles And Rotational Motion, NCERT Solutions, Class 11, Physics

 

Hence, the C.G. (centre of gravity) of the given bar lies 0.72 m from its left end.

 

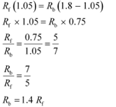
Question 7.9: A car weighs 1800 kg. The distance between its front and back axles is 1.8 m. Its centre of gravity is 1.05 m behind the front axle. Determine the force exerted by the level ground on each front wheel and each back wheel.

System Of particles And Rotational Motion, NCERT Solutions, Class 11, Physics

 

ANSWER :-      Mass of the car, m = 1800 kg

Distance between the front and back axles, d = 1.8 m

Distance between the C.G. (centre of gravity) and the back axle = 1.05 m

The various forces acting on the car are shown in the following figure.

Rf and Rbare the forces exerted by the level ground on the front and back wheels respectively.

At translational equilibrium:

System Of particles And Rotational Motion, NCERT Solutions, Class 11, Physicsmg

= 1800 × 9.8

= 17640 N … (i)

For rotational equilibrium, on taking the torque about the C.G., we have:

 System Of particles And Rotational Motion, NCERT Solutions, Class 11, Physics

Solving equations (i) and (ii), we get:

System Of particles And Rotational Motion, NCERT Solutions, Class 11, Physics

 

Rb = 17640 – 7350 = 10290 N

Therefore, the force exerted on each front wheel = 7350/2 = 3675 N, and

The force exerted on each back wheel = 10290 / 2 = 5145 N

 

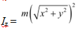
Question 7.10: (a) Find the moment of inertia of a sphere about a tangent to the sphere, given the moment of inertia of the sphere about any of its diameters to be 2MR2/5, where is the mass of the sphere and is the radius of the sphere.

System Of particles And Rotational Motion, NCERT Solutions, Class 11, Physics

(b) Given the moment of inertia of a disc of mass and radius about any of its diameters to be MR2/4, find its moment of inertia about an axis normal to the disc and passing through a point on its edge.

 

ANSWER :-      (a) 7/5 MR2

 The moment of inertia (M.I.) of a sphere about its diameter =2/5 MR2

According to the theorem of parallel axes, the moment of inertia of a body about any axis is equal to the sum of the moment of inertia of the body about a parallel axis passing through its centre of mass and the product of its mass and the square of the distance between the two parallel axes.

The M.I. about a tangent of the sphere = 2/5 MR2 MR2 =7/5 MR2

 (b) 3/2 MR2

The moment of inertia of a disc about its diameter = ¼ MR2

System Of particles And Rotational Motion, NCERT Solutions, Class 11, Physics

According to the theorem of perpendicular axis, the moment of inertia of a planar body (lamina) about an axis perpendicular to its plane is equal to the sum of its moments of inertia about two perpendicular axes concurrent with perpendicular axis and lying in the plane of the body.

The M.I. of the disc about its centre= ¼ MR2 ¼ MR2 = ½ MR2 

The situation is shown in the given figure.

Applying the theorem of parallel axes:

The moment of inertia about an axis normal to the disc and passing through a point on its edge = ½ MR2  MR2 = 3/2 MR2

 

Question 7.11: Torques of equal magnitude are applied to a hollow cylinder and a solid sphere, both having the same mass and radius. The cylinder is free to rotate about its standard axis of symmetry, and the sphere is free to rotate about an axis passing through its centre. Which of the two will acquire a greater angular speed after a given time?

 

ANSWER :-      Let m and r be the respective masses of the hollow cylinder and the solid sphere.

The moment of inertia of the hollow cylinder about its standard axis = System Of particles And Rotational Motion, NCERT Solutions, Class 11, Physics 

System Of particles And Rotational Motion, NCERT Solutions, Class 11, Physics

The moment of inertia of the solid sphere about an axis passing through its centre,

We have the relation:

 System Of particles And Rotational Motion, NCERT Solutions, Class 11, Physics

Where,

α = Angular acceleration

τ = Torque

I = Moment of inertia

For the hollow cylinder,

For the solid sphere,

As an equal torque is applied to both the bodies, 

 System Of particles And Rotational Motion, NCERT Solutions, Class 11, Physics

Now, using the relation:

 System Of particles And Rotational Motion, NCERT Solutions, Class 11, Physics

Where,

ω0 = Initial angular velocity

t = Time of rotation

ω = Final angular velocity

For equal ω0 and t, we have:

ω ∝ α … (ii)

From equations (i) and (ii), we can write:

ωII > ωI

Hence, the angular velocity of the solid sphere will be greater than that of the hollow cylinder.

 

Question 7.12: A solid cylinder of mass 20 kg rotates about its axis with angular speed 100 rad s–1. The radius of the cylinder is 0.25 m. What is the kinetic energy associated with the rotation of the cylinder? What is the magnitude of angular momentum of the cylinder about its axis?

 

ANSWER :-      Mass of the cylinder, m = 20 kg

Angular speed, ω = 100 rad s–1

Radius of the cylinder, r = 0.25 m

The moment of inertia of the solid cylinder:

System Of particles And Rotational Motion, NCERT Solutions, Class 11, Physics

 

∴Kinetic energy =  ½ Iw2 

= ½ X 6.25 X (100)2 = 3125 J

∴Angular momentum, L = 

= 6.25 × 100

= 62.5 Js

 

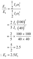
Question 7.13: (a) A child stands at the centre of a turntable with his two arms outstretched. The turntable is set rotating with an angular speed of 40 rev/min. How much is the angular speed of the child if he folds his hands back and thereby reduces his moment of inertia to 2/5 times the initial value? Assume that the turntable rotates without friction.

(b) Show that the child’s new kinetic energy of rotation is more than the initial kinetic energy of rotation. How do you account for this increase in kinetic energy?

 

ANSWER :-      (a) 100 rev/min

Initial angular velocity, ω1= 40 rev/min

Final angular velocity = ω2

The moment of inertia of the boy with stretched hands = I1

The moment of inertia of the boy with folded hands = I2

The two moments of inertia are related as: I2 = 2/5 I1

Since no external force acts on the boy, the angular momentum L is a constant.

Hence, for the two situations, we can write:

System Of particles And Rotational Motion, NCERT Solutions, Class 11, Physics 

 

(b)Final K.E. = 2.5 Initial K.E.

Final kinetic rotation, EF = ½ I2w22 

Initial kinetic rotation, EI = ½ I1w21 

System Of particles And Rotational Motion, NCERT Solutions, Class 11, Physics

 

The increase in the rotational kinetic energy is attributed to the internal energy of the boy.

 

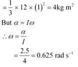
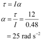
Question 7.14: A rope of negligible mass is wound round a hollow cylinder of mass 3 kg and radius 40 cm. What is the angular acceleration of the cylinder if the rope is pulled with a force of 30 N? What is the linear acceleration of the rope? Assume that there is no slipping.

 

ANSWER :-      Mass of the hollow cylinder, m = 3 kg

Radius of the hollow cylinder, r = 40 cm = 0.4 m

Applied force, F = 30 N

The moment of inertia of the hollow cylinder about its geometric axis:

I = mr2

= 3 × (0.4)2 = 0.48 kg m2

Torque,

System Of particles And Rotational Motion, NCERT Solutions, Class 11, Physics= 30 × 0.4 = 12 Nm

For angular acceleration , torque is also given by the relation:

 System Of particles And Rotational Motion, NCERT Solutions, Class 11, Physics

Linear acceleration = rα = 0.4 × 25 = 10 m s–2

 

Question 7.15: To maintain a rotor at a uniform angular speed of 200 rad s–1, an engine needs to transmit a torque of 180 Nm. What is the power required by the engine?

(Note: uniform angular velocity in the absence of friction implies zero torque. In practice, applied torque is needed to counter frictional torque). Assume that the engine is 100 % efficient.

 

ANSWER :-      Angular speed of the rotor, ω = 200 rad/s

Torque required, τ = 180 Nm

The power of the rotor (P) is related to torque and angular speed by the relation:

P = τω

= 180 × 200 = 36 × 103

= 36 kW

Hence, the power required by the engine is 36 kW.

 

Question7.16:From a uniform disk of radius R,a circular hole of radius R/2 is cut out.The centre of the hole is at R/2 from the centre of the original disc. Locate the centre of gravity of the resulting flat body.

 

ANSWER :-      R/6; from the original centre of the body and opposite to the centre of the cut portion.

System Of particles And Rotational Motion, NCERT Solutions, Class 11, Physics

Mass per unit area of the original disc = σ

Radius of the original disc = R

Mass of the original disc, M = πR2σ

The disc with the cut portion is shown in the following figure:

Radius of the smaller disc = R/2

Mass of the smaller disc, M = System Of particles And Rotational Motion, NCERT Solutions, Class 11, Physics

Let O and O′ be the respective centres of the original disc and the disc cut off from the original. As per the definition of the centre of mass, the centre of mass of the original disc is supposed to be concentrated at O, while that of the smaller disc is supposed to be concentrated at O′.

It is given that:

OO′= R/2 

After the smaller disc has been cut from the original, the remaining portion is considered to be a system of two masses. The two masses are:

M (concentrated at O), and

M′ (=M/4) concentrated at O′

(The negative sign indicates that this portion has been removed from the original disc.)

Let x be the distance through which the centre of mass of the remaining portion shifts from point O.

The relation between the centres of masses of two masses is given as:

 System Of particles And Rotational Motion, NCERT Solutions, Class 11, Physics

For the given system, we can write:

 System Of particles And Rotational Motion, NCERT Solutions, Class 11, Physics

(The negative sign indicates that the centre of mass gets shifted toward the left of point O.)

 

Question 7.17: A metre stick is balanced on a knife edge at its centre. When two coins, each of mass 5 g are put one on top of the other at the 12.0 cm mark, the stick is found to be balanced at 45.0 cm. What is the mass of the metre stick?

 

ANSWER :-      Let W and W′ be the respective weights of the metre stick and the coin.

The mass of the metre stick is concentrated at its mid-point, i.e., at the 50 cm mark.

Mass of the meter stick = m

Mass of each coin, m = 5 g

When the coins are placed 12 cm away from the end P, the centre of mass gets shifted by 5 cm from point R toward the end P. The centre of mass is located at a distance of 45 cm from point P.

The net torque will be conserved for rotational equilibrium about point R.

 System Of particles And Rotational Motion, NCERT Solutions, Class 11, Physics                                     System Of particles And Rotational Motion, NCERT Solutions, Class 11, Physics

Hence, the mass of the metre stick is 66 g.

 

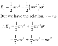
Question 7.18: A solid sphere rolls down two different inclined planes of the same heights but different angles of inclination. (a) Will it reach the bottom with the same speed in each case? (b) Will it take longer to roll down one plane than the other? (c) If so, which one and why?

 

ANSWER :-  (a) Yes (b) Yes (c) On the smaller inclination

(a)Mass of the sphere = m

Height of the plane = h

Velocity of the sphere at the bottom of the plane = v

At the top of the plane, the total energy of the sphere = Potential energy = mgh

At the bottom of the plane, the sphere has both translational and rotational kinetic energies.

Hence, total energy = System Of particles And Rotational Motion, NCERT Solutions, Class 11, Physics

Using the law of conservation of energy, we can write:

System Of particles And Rotational Motion, NCERT Solutions, Class 11, Physics

For a solid sphere, the moment of inertia about its centre, 

Hence, equation (i) becomes:

System Of particles And Rotational Motion, NCERT Solutions, Class 11, Physics

 

Hence, the velocity of the sphere at the bottom depends only on height (h) and acceleration due to gravity (g). Both these values are constants. Therefore, the velocity at the bottom remains the same from whichever inclined plane the sphere is rolled.

(b), (c)Consider two inclined planes with inclinations θand θ2, related as:

θ1 < θ2

System Of particles And Rotational Motion, NCERT Solutions, Class 11, Physics

The acceleration produced in the sphere when it rolls down the plane inclined at θ1 is:

g sin θ1

The various forces acting on the sphere are shown in the following figure.

R1 is the normal reaction to the sphere.

Similarly, the acceleration produced in the sphere when it rolls down the plane inclined at θ2 is:

g sin θ2

The various forces acting on the sphere are shown in the following figure.

System Of particles And Rotational Motion, NCERT Solutions, Class 11, Physics

R2 is the normal reaction to the sphere.

θ2 > θ1; sin θ2 > sin θ1 ... (i)

∴ a2 > a1 … (ii)

Initial velocity, = 0

Final velocity, v = Constant

Using the first equation of motion, we can obtain the time of roll as:

v = u + at

 

 System Of particles And Rotational Motion, NCERT Solutions, Class 11, Physics

From equations (ii) and (iii), we get: tt1

Hence, the sphere will take a longer time to reach the bottom of the inclined plane having the smaller inclination.

 

Question 7.19: A hoop of radius 2 m weighs 100 kg. It rolls along a horizontal floor so that its centre of mass has a speed of 20 cm/s. How much work has to be done to stop it?

 

ANSWER :-      Radius of the hoop, r = 2 m

Mass of the hoop, m = 100 kg

Velocity of the hoop, v = 20 cm/s = 0.2 m/s

Total energy of the hoop = Translational KE Rotational KE

System Of particles And Rotational Motion, NCERT Solutions, Class 11, Physics 

Moment of inertia of the hoop about its centre, mr2

 System Of particles And Rotational Motion, NCERT Solutions, Class 11, Physics

The work required to be done for stopping the hoop is equal to the total energy of the hoop.

∴Required work to be done, W = mv= 100 × (0.2)= 4 J

 

Question 7.20: The oxygen molecule has a mass of 5.30 × 10–26 kg and a moment of inertia of 1.94×10–46 kg m2 about an axis through its centre perpendicular to the lines joining the two atoms. Suppose the mean speed of such a molecule in a gas is 500 m/s and that its kinetic energy of rotation is two thirds of its kinetic energy of translation. Find the average angular velocity of the molecule.

 

ANSWER :-      Mass of an oxygen molecule, m = 5.30 × 10–26 kg

Moment of inertia, I = 1.94 × 10–46 kg m2

Velocity of the oxygen molecule, v = 500 m/s

The separation between the two atoms of the oxygen molecule = 2r

Mass of each oxygen atom = System Of particles And Rotational Motion, NCERT Solutions, Class 11, Physics

Hence, moment of inertia I, is calculated as:

System Of particles And Rotational Motion, NCERT Solutions, Class 11, Physics

System Of particles And Rotational Motion, NCERT Solutions, Class 11, Physics 

Question 7.21: A solid cylinder rolls up an inclined plane of angle of inclination 30°. At the bottom of the inclined plane the centre of mass of the cylinder has a speed of 5 m/s.

(a) How far will the cylinder go up the plane?

(b) How long will it take to return to the bottom?

 

ANSWER :-   A solid cylinder rolling up an inclination is shown in the following figure.

System Of particles And Rotational Motion, NCERT Solutions, Class 11, Physics

Initial velocity of the solid cylinder, v = 5 m/s

Angle of inclination, θ = 30°

Height reached by the cylinder = h

(a) Energy of the cylinder at point A:

System Of particles And Rotational Motion, NCERT Solutions, Class 11, Physics

 Energy of the cylinder at point B = mgh

Using the law of conservation of energy, we can write:

½  Iw 2 = ½ mv2 = mgh

Moment of inertia of the solid cylinder, I = ½ mr2 

 System Of particles And Rotational Motion, NCERT Solutions, Class 11, Physics

In ΔABC:

System Of particles And Rotational Motion, NCERT Solutions, Class 11, Physics

 

Hence, the cylinder will travel 3.82 m up the inclined plane.

(b) For radius of gyration K, the velocity of the cylinder at the instance when it rolls back to the bottom is given by the relation:

System Of particles And Rotational Motion, NCERT Solutions, Class 11, Physics 

The time taken to return to the bottom is:

System Of particles And Rotational Motion, NCERT Solutions, Class 11, Physics

Therefore, the total time taken by the cylinder to return to the bottom is (2 × 0.764) 1.53 s.

 

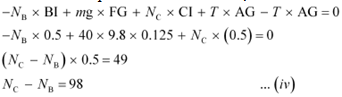
Question 7.22: As shown in Fig.7.40, the two sides of a step ladder BA and CA are 1.6 m long and hinged at A. A rope DE, 0.5 m is tied half way up. A weight 40 kg is suspended from a point F, 1.2 m from B along the ladder BA. Assuming the floor to be frictionless and neglecting the weight of the ladder, find the tension in the rope and forces exerted by the floor on the ladder. (Take = 9.8 m/s2)

(Hint: Consider the equilibrium of each side of the ladder separately.)

 System Of particles And Rotational Motion, NCERT Solutions, Class 11, Physics

ANSWER :-      The given situation can be shown as:

System Of particles And Rotational Motion, NCERT Solutions, Class 11, Physics

NB = Force exerted on the ladder by the floor point B

NC = Force exerted on the ladder by the floor point C

= Tension in the rope

BA = CA = 1.6 m

DE = 0. 5 m

BF = 1.2 m

Mass of the weight, m = 40 kg

Draw a perpendicular from A on the floor BC. This intersects DE at mid-point H.

ΔABI and ΔAIC are similar

∴BI = IC

Hence, I is the mid-point of BC.

DE || BC

BC = 2 × DE = 1 m

AF = BA – BF = 0.4 m … (i)

D is the mid-point of AB.

Hence, we can write:

 System Of particles And Rotational Motion, NCERT Solutions, Class 11, Physics

Using equations (i) and (ii), we get:

FE = 0.4 m

Hence, F is the mid-point of AD.

FG||DH and F is the mid-point of AD. Hence, G will also be the mid-point of AH.

ΔAFG and ΔADH are similar

System Of particles And Rotational Motion, NCERT Solutions, Class 11, Physics

In ΔADH:

System Of particles And Rotational Motion, NCERT Solutions, Class 11, Physics

 

For translational equilibrium of the l

adder, the upward force should be equal to the downward force.

Nc   NB = mg = 392 … (iii)

For rotational equilibrium of the ladder, the net moment about A is:

 System Of particles And Rotational Motion, NCERT Solutions, Class 11, Physics

Adding equations (iii) and (iv), we get:

 System Of particles And Rotational Motion, NCERT Solutions, Class 11, Physics

For rotational equilibrium of the side AB, consider the moment about A.

 System Of particles And Rotational Motion, NCERT Solutions, Class 11, Physics

 

Question 7.23: A man stands on a rotating platform, with his arms stretched horizontally holding a 5 kg weight in each hand. The angular speed of the platform is 30 revolutions per minute. The man then brings his arms close to his body with the distance of each weight from the axis changing from 90cm to 20cm. The moment of inertia of the man together with the platform may be taken to be constant and equal to 7.6 kg m2.

(a) What is his new angular speed? (Neglect friction.)

(b) Is kinetic energy conserved in the process? If not, from where does the change come about?

 

ANSWER :-     

(a) 58.88 rev/min (b) No

(a)Moment of inertia of the man-platform system = 7.6 kg m2

Moment of inertia when the man stretches his hands to a distance of 90 cm:

2 × m r2

= 2 × 5 × (0.9)2

= 8.1 kg m2

Initial moment of inertia of the system,

 System Of particles And Rotational Motion, NCERT Solutions, Class 11, Physics

Angular speed, 

System Of particles And Rotational Motion, NCERT Solutions, Class 11, Physics

Angular momentum, 

System Of particles And Rotational Motion, NCERT Solutions, Class 11, Physics

Moment of inertia when the man folds his hands to a distance of 20 cm:

System Of particles And Rotational Motion, NCERT Solutions, Class 11, Physics

2 × mr2

= 2 × 5 (0.2)2 = 0.4 kg m2

Final moment of inertia, 

Final angular speed = 

Final angular momentum, System Of particles And Rotational Motion, NCERT Solutions, Class 11, Physics  … (ii)

From the conservation of angular momentum, we have:

 System Of particles And Rotational Motion, NCERT Solutions, Class 11, Physics

(b)Kinetic energy is not conserved in the given process. In fact, with the decrease in the moment of inertia, kinetic energy increases. The additional kinetic energy comes from the work done by the man to fold his hands toward himself.

 

Question 7.24: A bullet of mass 10 g and speed 500 m/s is fired into a door and gets embedded exactly at the centre of the door. The door is 1.0 m wide and weighs 12 kg. It is hinged at one end and rotates about a vertical axis practically without friction. Find the angular speed of the door just after the bullet embeds into it.

(Hint: The moment of inertia of the door about the vertical axis at one end is ML2/3.)

 

ANSWER :-      Mass of the bullet, m = 10 g = 10 × 10–3 kg

Velocity of the bullet, v = 500 m/s

Thickness of the door, L = 1 m

Radius of the door, r = ½ m

Mass of the door, M = 12 kg

Angular momentum imparted by the bullet on the door:

α = mvr

System Of particles And Rotational Motion, NCERT Solutions, Class 11, Physics

 

Moment of inertia of the door:

I = 1/3 ML2

System Of particles And Rotational Motion, NCERT Solutions, Class 11, Physics 

 

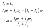
Question 7.25: Two discs of moments of inertia I1 and I2 about their respective axes (normal to the disc and passing through the centre), and rotating with angular speeds ω1 and ω2 are brought into contact face to face with their axes of rotation coincident. (a) What is the angular speed of the two-disc system? (b) Show that the kinetic energy of the combined system is less than the sum of the initial kinetic energies of the two discs. How do you account for this loss in energy? Take ω1 ≠ ω2.

 

ANSWER :-     

(a)

System Of particles And Rotational Motion, NCERT Solutions, Class 11, Physics

When the two discs are joined together, their moments of inertia get added up.

Moment of inertia of the system of two discs, I = I1 I2

Let ω be the angular speed of the system.

Total final angular momentum, 

System Of particles And Rotational Motion, NCERT Solutions, Class 11, Physics

Using the law of conservation of angular momentum, we have:

System Of particles And Rotational Motion, NCERT Solutions, Class 11, Physics

 

(b)

Kinetic energy of disc I, E1 = ½ I1w21

Kinetic energy of disc II, E2 = ½ I2w22

Total initial kinetic energy, Ei = ½ (I1w21 I2w22 )

When the discs are joined, their moments of inertia get added up.

Moment of inertia of the system, I = I1 I2 

Angular speed of the system = ω

Final kinetic energy Ef:

 System Of particles And Rotational Motion, NCERT Solutions, Class 11, Physics

System Of particles And Rotational Motion, NCERT Solutions, Class 11, Physics

The loss of KE can be attributed to the frictional force that comes into play when the two discs come in contact with each other.

 

Question 7.26: (a) Prove the theorem of perpendicular axes.

(Hint: Square of the distance of a point (x, y) in the x–y plane from an axis through the origin perpendicular to the plane is x y2).

(b) Prove the theorem of parallel axes.

(Hint: If the centre of mass is chosen to be the origin  ).

 

ANSWER :-      (a)The theorem of perpendicular axes states that the moment of inertia of a planar body (lamina) about an axis perpendicular to its plane is equal to the sum of its moments of inertia about two perpendicular axes concurrent with perpendicular axis and lying in the plane of the body.

A physical body with centre O and a point mass m,in the xy plane at (xy) is shown in the following figure.

Moment of inertia about x-axis, Ix = mx2

Moment of inertia about y-axis, Iy = my2                                       System Of particles And Rotational Motion, NCERT Solutions, Class 11, Physics

Moment of inertia about z-axis, Iz = System Of particles And Rotational Motion, NCERT Solutions, Class 11, Physics

Ix   Iy = mx2   my2

m(x2 + y2)

System Of particles And Rotational Motion, NCERT Solutions, Class 11, Physics

Ix+ Iy = Iz

Hence, the theoram is proved.

 

(b)The theorem of parallel axes states that the moment of inertia of a body about any axis is equal to the sum of the moment of inertia of the body about a parallel axis passing through its centre of mass and the product of its mass and the square of the distance between the two parallel axes.

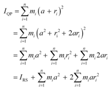
Suppose a rigid body is made up of n particles, having masses m1m2m3, … , mn, at perpendicular distances r1r2r3, … , rn respectively from the centre of mass O of the rigid body.

System Of particles And Rotational Motion, NCERT Solutions, Class 11, Physics

The moment of inertia about axis RS passing through the point O:

IRS = System Of particles And Rotational Motion, NCERT Solutions, Class 11, Physics

The perpendicular distance of mass mi, from the axis QP = a   ri

Hence, the moment of inertia about axis QP:

System Of particles And Rotational Motion, NCERT Solutions, Class 11, Physics

 

Now, at the centre of mass, the moment of inertia of all the particles about the axis passing through the centre of mass is zero, that is,

 System Of particles And Rotational Motion, NCERT Solutions, Class 11, Physics

 

Question 7.27:  Prove the result that the velocity of translation of a rolling body (like a ring, disc, cylinder or sphere) at the bottom of an inclined plane of a height is given by  .

System Of particles And Rotational Motion, NCERT Solutions, Class 11, Physics

Using dynamical consideration (i.e. by consideration of forces and torques). Note is the radius of gyration of the body about its symmetry axis, and R is the radius of the body. The body starts from rest at the top of the plane.

 

ANSWER :-      A body rolling on an inclined plane of height h,is shown in the following figure:

m = Mass of the body

= Radius of the body

K = Radius of gyration of the body

System Of particles And Rotational Motion, NCERT Solutions, Class 11, Physics = Translational velocity of the body

=Height of the inclined plane

g = Acceleration due to gravity

Total energy at the top of the plane, E­1= mgh

Total energy at the bottom of the plane,

System Of particles And Rotational Motion, NCERT Solutions, Class 11, Physics

Hence, the given result is proved.

Question 7.28: A disc rotating about its axis with angular speed ωois placed lightly (without any translational push) on a perfectly frictionless table. The radius of the disc is R. What are the linear velocities of the points A, B and C on the disc shown in Fig. 7.41? Will the disc roll in the direction indicated?

System Of particles And Rotational Motion, NCERT Solutions, Class 11, Physics

 

ANSWER :-      vA = RωovB = Rωo;                    ; The disc will not roll

Angular speed of the disc = ωo

Radius of the disc = R

Using the relation for linear velocity, v = ωoR

For point A:

vA = Rωo; in the direction tangential to the right

For point B:

vB = Rωo; in the direction tangential to the left

For point C:

System Of particles And Rotational Motion, NCERT Solutions, Class 11, Physics

in the direction same as that of vA

The directions of motion of points A, B, and C on the disc are shown in the following figure

System Of particles And Rotational Motion, NCERT Solutions, Class 11, Physics Since the disc is placed on a frictionless table, it will not roll. This is because the presence of friction is essential for the rolling of a body.

 

Question 7.29:  Explain why friction is necessary to make the disc in Fig. 7.41 roll in the direction indicated.

(a) Give the direction of frictional force at B & the sense of frictional torque, before perfect rolling begins

(b) What is the force of friction after perfect rolling begins?

 

ANSWER :-   A torque is required to roll the given disc. As per the definition of torque, the rotating force should be tangential to the disc. Since the frictional force at point B is along the tangential force at point A, a frictional force is required for making the disc roll.

(a) Force of friction acts opposite to the direction of velocity at point B. The direction of linear velocity at point B is tangentially leftward. Hence, frictional force will act tangentially rightward. The sense of frictional torque before the start of perfect rolling is perpendicular to the plane of the disc in the outward direction.

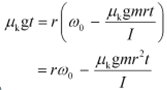
(b) Since frictional force acts opposite to the direction of velocity at point B, perfect rolling will begin when the velocity at that point becomes equal to zero. This will make the frictional force acting on the disc zero.

 

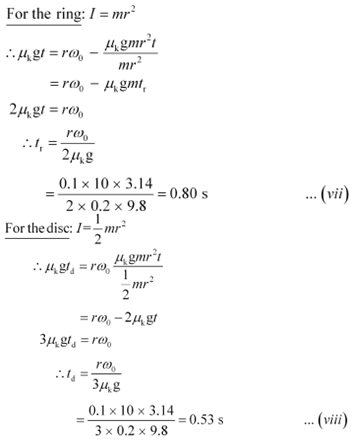
Question 7.30: A solid disc and a ring, both of radius 10 cm are placed on a horizontal table simultaneously, with initial angular speed equal to 10 π rad s-1. Which of the two will start to roll earlier? The co-efficient of kinetic friction is μk = 0.2.

 

ANSWER :-      Disc

Radii of the ring and the disc, r = 10 cm = 0.1 m

Initial angular speed, ω=10 π rad s–1

Coefficient of kinetic friction, μk = 0.2

Initial velocity of both the objects, u = 0

Motion of the two objects is caused by frictional force. As per Newton’s second law of motion, we have frictional force, f = ma

μkmg= ma

Where,

a = Acceleration produced in the objects

= Mass

a = μkg … (i)

As per the first equation of motion, the final velocity of the objects can be obtained as:

v = u + at

= 0 + μkgt

μkgt … (ii)

The torque applied by the frictional force will act in perpendicularly outward direction and cause reduction in the initial angular speed.

Torque, τ= –

α = Angular acceleration

μxmgr = –

 System Of particles And Rotational Motion, NCERT Solutions, Class 11, Physics

Using the first equation of rotational motion to obtain the final angular speed:

 System Of particles And Rotational Motion, NCERT Solutions, Class 11, Physics

Rolling starts when linear velocity, v = rω

 System Of particles And Rotational Motion, NCERT Solutions, Class 11, Physics

Equating equations (ii) and (v), we get:

System Of particles And Rotational Motion, NCERT Solutions, Class 11, Physics

 Since td > tr, the disc will start rolling before the ring.

System Of particles And Rotational Motion, NCERT Solutions, Class 11, Physics

 

Question 7.31: A cylinder of mass 10 kg and radius 15 cm is rolling perfectly on a plane of inclination 30°. The coefficient of static friction µs = 0.25.

(a) How much is the force of friction acting on the cylinder?

(b) What is the work done against friction during rolling?

(c) If the inclination θ of the plane is increased, at what value of θ does the cylinder begin to skid, and not roll perfectly?

 

ANSWER :-      Mass of the cylinder, m = 10 kg

Radius of the cylinder, r = 15 cm = 0.15 m

Co-efficient of kinetic friction, µ= 0.25

Angle of inclination, θ = 30°

Moment of inertia of a solid cylinder about its geometric axis, I = ½ mr2 

The various forces acting on the cylinder are shown in the following figure:

The acceleration of the cylinder is given as:

System Of particles And Rotational Motion, NCERT Solutions, Class 11, Physics

                                                                                                                                System Of particles And Rotational Motion, NCERT Solutions, Class 11, Physics

(a) Using Newton’s second law of motion, we can write net force as:

fnet = ma

System Of particles And Rotational Motion, NCERT Solutions, Class 11, Physics 

(b) During rolling, the instantaneous point of contact with the plane comes to rest. Hence, the work done against frictional force is zero.

(c) For rolling without skid, we have the relation:

System Of particles And Rotational Motion, NCERT Solutions, Class 11, Physics 

 

Question 7.32: Read each statement below carefully, and state, with reasons, if it is true or false;

(a) During rolling, the force of friction acts in the same direction as the direction of motion of the CM of the body.

(b) The instantaneous speed of the point of contact during rolling is zero.

(c) The instantaneous acceleration of the point of contact during rolling is zero.

(d) For perfect rolling motion, work done against friction is zero.

(e) A wheel moving down a perfectly frictionless inclined plane will undergo slipping (not rolling) motion.

 

ANSWER :-      (a) False

Frictional force acts opposite to the direction of motion of the centre of mass of a body. In the case of rolling, the direction of motion of the centre of mass is backward. Hence, frictional force acts in the forward direction.

(b) True

Rolling can be considered as the rotation of a body about an axis passing through the point of contact of the body with the ground. Hence, its instantaneous speed is zero.

(c) False

When a body is rolling, its instantaneous acceleration is not equal to zero. It has some value.

(d) True

When perfect rolling begins, the frictional force acting at the lowermost point becomes zero. Hence, the work done against friction is also zero.

(e) True

The rolling of a body occurs when a frictional force acts between the body and the surface. This frictional force provides the torque necessary for rolling. In the absence of a frictional force, the body slips from the inclined plane under the effect of its own weight.

 

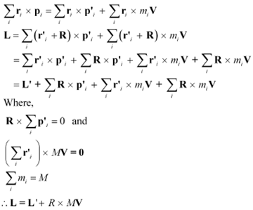
Question 7.33: Separation of Motion of a system of particles into motion of the centre of mass and motion about the centre of mass:

(a) Show pi = p’  miV

Where pi is the momentum of the ith particle (of mass mi) and p′ i = mi v′ i. Note v′ i is the velocity of the ith particle relative to the centre of mass.

Also, prove using the definition of the centre of mass 

(b) Show K′ ½MV2

Where K is the total kinetic energy of the system of particles, K′ is the total kinetic energy of the system when the particle velocities are taken with respect to the centre of mass and MV2/2 is the kinetic energy of the translation of the system as a whole (i.e. of the centre of mass motion of the system). The result has been used in Sec. 7.14.

(c) Show L = L′  R × MV

Where           System Of particles And Rotational Motion, NCERT Solutions, Class 11, Physics                is the angular momentum of the system about the centre of mass with velocities taken relative to the centre of mass. Remember r’i = ri – R; rest of the notation is the standard notation used in the chapter. Note L′ and MR × V can be said to be angular momenta, respectively, about and of the centre of mass of the system of particles.

(d) Show System Of particles And Rotational Motion, NCERT Solutions, Class 11, Physics

Further, show that

 System Of particles And Rotational Motion, NCERT Solutions, Class 11, Physics

where τext is the sum of all external torques acting on the system about the centre of mass.

(Hint: Use the definition of centre of mass and Newton’s Third Law. Assume the internal forces between any two particles act along the line joining the particles.)

 

ANSWER :-      (a)Take a system of moving particles.

Mass of the ith particle = mi

Velocity of the ith particle = vi

Hence, momentum of the ith particle, pmi vi

Velocity of the centre of mass = V

The velocity of the ith particle with respect to the centre of mass of the system is given as:

vv– V … (1)

Multiplying mi throughout equation (1), we get:

mi vmi v– mi V

p’p– ­mi V

Where,

pi’ = mivi’ = Momentum of the ith particle with respect to the centre of mass of the system

pp’i ­+mi V

We have the relation: p’mivi

Taking the summation of momentum of all the particles with respect to the centre of mass of the system, we get:

System Of particles And Rotational Motion, NCERT Solutions, Class 11, Physics

 

(b) We have the relation for velocity of the ith particle as:

vv’ + V

System Of particles And Rotational Motion, NCERT Solutions, Class 11, Physics

System Of particles And Rotational Motion, NCERT Solutions, Class 11, Physics

System Of particles And Rotational Motion, NCERT Solutions, Class 11, Physics

(c) Position vector of the ith particle with respect to origin = ri

Position vector of the ith particle with respect to the centre of mass = ri

Position vector of the centre of mass with respect to the origin = R

It is given that:

rr– R

rr’i +R

We have from part (a),

pp’i ­ + mi V

Taking the cross product of this relation by ri, we get:

System Of particles And Rotational Motion, NCERT Solutions, Class 11, Physics

 

 

(d) We have the relation:

System Of particles And Rotational Motion, NCERT Solutions, Class 11, Physics

 System Of particles And Rotational Motion, NCERT Solutions, Class 11, Physics

We have the relation:

 System Of particles And Rotational Motion, NCERT Solutions, Class 11, Physics

 

The document System Of particles And Rotational Motion, NCERT Solutions, Class 11, Physics is a part of Class 11 category.
All you need of Class 11 at this link: Class 11

FAQs on System Of particles And Rotational Motion, NCERT Solutions, Class 11, Physics

1. What is the concept of a system of particles in physics?
Ans. In physics, a system of particles refers to a collection of particles that are considered as a single entity. These particles interact with each other through forces and their motion can be analyzed collectively. The concept helps in simplifying the analysis of complex systems by considering them as a combination of smaller interacting particles.
2. How is rotational motion different from linear motion?
Ans. Rotational motion refers to the motion of an object around an axis, where the object spins or rotates. Linear motion, on the other hand, refers to the motion of an object along a straight line. In rotational motion, the object moves in a circular path and the motion is described in terms of angles and angular velocity, while in linear motion, the object moves in a straight line and the motion is described in terms of distance and linear velocity.
3. What are the main characteristics of rotational motion?
Ans. The main characteristics of rotational motion include: - Angular displacement: The change in angle through which an object rotates. - Angular velocity: The rate of change of angular displacement. - Angular acceleration: The rate of change of angular velocity. - Moment of inertia: A measure of an object's resistance to changes in rotation. - Torque: The rotational equivalent of force, causing rotational motion. - Conservation of angular momentum: The principle that states that angular momentum remains constant unless acted upon by an external torque.
4. How is the concept of torque related to rotational motion?
Ans. Torque is a crucial concept in rotational motion. It is the rotational equivalent of force and is responsible for causing rotational motion. Torque is the product of the force applied to an object and the perpendicular distance between the axis of rotation and the line of action of the force. It determines how effectively a force can cause an object to rotate. The greater the torque, the greater the rotational effect.
5. What is the significance of the moment of inertia in rotational motion?
Ans. The moment of inertia plays a significant role in rotational motion. It is a measure of an object's resistance to changes in rotation. Objects with larger moments of inertia require more torque to produce the same angular acceleration compared to objects with smaller moments of inertia. It depends on both the mass distribution and shape of the object. Understanding the moment of inertia helps in analyzing an object's rotational behavior and predicting how it will respond to external torques.
Download as PDF

Top Courses for Class 11

Related Searches

shortcuts and tricks

,

Physics

,

Viva Questions

,

mock tests for examination

,

Class 11

,

Extra Questions

,

System Of particles And Rotational Motion

,

Class 11

,

Objective type Questions

,

Semester Notes

,

Important questions

,

pdf

,

Physics

,

System Of particles And Rotational Motion

,

Previous Year Questions with Solutions

,

NCERT Solutions

,

Free

,

study material

,

Class 11

,

MCQs

,

Exam

,

Physics

,

NCERT Solutions

,

practice quizzes

,

video lectures

,

Summary

,

NCERT Solutions

,

past year papers

,

ppt

,

System Of particles And Rotational Motion

,

Sample Paper

;