JEE Exam  >  JEE Notes  >  Mathematics (Maths) for JEE Main & Advanced  >  NCERT Solutions: Application of Derivatives

NCERT Solutions Class 12 Maths Chapter 6 - Application of Derivative

Exercise 6.1

Q1: Find the rate of change of the area of a circle with respect to its radius r when
(a) r = 3 cm
(b) r = 4 cm
Ans: - The area of a circle (A)with radius (r) is given by,
Now. the rate of change of the area with respect to its radius is given by. NCERT Solutions Class 12 Maths Chapter 6 - Application of Derivative

When r = 3 cm,
dA/dr = 2π(3) = 6π
Hence, the area of the circle is changing at the rate of 6n cm when its radius is 3 cm.

When r = 4 cm.
dA/dr = 2π(4) = 8π

Hence, the area of the circle is changing at the rate of 8π cm when its radius is 4 cm.

Q2: The volume of a cube is increasing at the rate of 8 cm3/s. How fast is the surface area increasing when the length of an edge is 12 cm?
Ans: Let x be the length of a side, V be the volume, and s be the surface area of the cube.
Then. V = x3 and S = 6x, where x is a function of time t.
It is given that (dV/dt) -8 cm3/s
Then, by using the chain rule, we have:
NCERT Solutions Class 12 Maths Chapter 6 - Application of Derivative
NCERT Solutions Class 12 Maths Chapter 6 - Application of Derivative
Hence, if the length of the edge of the cube is 12 cm, then the surface area is increasing at the rate of 8/3 cm2/s.

Q3: The radius of a circle is increasing uniformly at the rate of 3 cm/s. Find the rate at which the area of the circle is increasing when the radius is 10 cm.
Ans: The area of a circle (A) with radius (r) is given by,
A = πr2
Now, the rate of change of area (A) with respect to time (t) is given by,
NCERT Solutions Class 12 Maths Chapter 6 - Application of Derivative [By chain rule]
It is given that,
dr/dt = 3cm/s
∴ dA/dt = 2πr(3) = 6πr
Thus, when r = 10 cm,
dA/dt = 6π(10) = 60π cm2/s

Q4: An edge of a variable cube is increasing at the rate of 3 cm/s. How fast is the volume of the cube increasing when the edge is 10 cm long?
Ans: Let x be the length of a side and V be the volume of the cube. Then,
NCERT Solutions Class 12 Maths Chapter 6 - Application of Derivative
It is given that,
dx/dt = 3cm/s
∴ dV/dt = 3x2 (3) = 9x2
Thus, when x = 10 cm,
dV/dt = 9(10)2 = 900cm3/s
Hence, the volume of the cube is increasing at the rate of 900 cm3/s when the edge is 10 cm long.

Q5: A stone is dropped into a quiet lake and waves move in circles at the speed of 5 cm/s. At the instant when the radius of the circular wave is 8 cm, how fast is the enclosed area increasing?
Ans: The area of a circle (A) with radius (r) is given by
Therefore, the rate of change of area (A) with respect to time (t) is given by,
NCERT Solutions Class 12 Maths Chapter 6 - Application of Derivative [By chain rule]
It is given that, dr/dt = 5 cm/s
Thus, when r = 8 cm,
dA/dt = 2π (8) (5) = 80π
Hence, when the radius of the circular wave is 8 cm, the enclosed area is increasing at the rate of 80π cm2/s.

Q6: The radius of a circle is increasing at the rate of 0.7 cm/s. What is the rate of increase of its circumference?
Ans: The circumference of a circle (C) with radius (r) is given by
C= = 2πr.
Therefore, the rate of change of circumference (C) with respect to time (t) is given by.
NCERT Solutions Class 12 Maths Chapter 6 - Application of Derivative
It is given that  dr/dt = 0.7 cm/s
Hence, the rate of increase of the circumference  is 2π (0.7) = 1.4π cm/s.

Q7: The length x of a rectangle is decreasing at the rate of 5 cm/minute and the width y is increasing at the rate of 4 cm/minute. When x = 8 cm and y = 6 cm, find the rates of change of (a) the perimeter, and (b) the area of the rectangle.
Ans: Since the length (x) is decreasing at the rate of 5 cm/minute and the width (y) is increasing at the rate of 4 cm/minute, we have:
dx/dt = -5 cm/min and dy/dt = 4 cm/min
(a) The perimeter (Pi of a rectangle is given by.
P = 2(x+y)
NCERT Solutions Class 12 Maths Chapter 6 - Application of Derivative
(b) The area (A) of a rectangle is given by,
A = x.y
NCERT Solutions Class 12 Maths Chapter 6 - Application of Derivative
When x = 8 cm andy = 6 cm.
dA/dt = (-5 x 6 +4 x 8) cm2/ min = 2 cm2 / min

Q8: A balloon, which always remains spherical on inflation, is being inflated by pumping in 900 cubic centimetres of gas per second. Find the rate at which the radius of the balloon increases when the radius is 15 cm.
Ans: The volume of a sphere (V) with radius (r) is given by,
V = 4/3πr3
∴ The rate of change of volume (F) with respect to time (t) is given by.
NCERT Solutions Class 12 Maths Chapter 6 - Application of Derivative
NCERT Solutions Class 12 Maths Chapter 6 - Application of Derivative
Therefore, when radius =15 cm.
NCERT Solutions Class 12 Maths Chapter 6 - Application of Derivative
Hence, the rate at which the radius of the balloon increases when the radius is 15 cm is 1/π cm/s.

Q9: A balloon, which always remains spherical, has a variable radius. Find the rate at which its volume is increasing with the radius when the latter is 10 cm.
Ans: The volume of a sphere (V) with radius (r) is given by V = 4/3 πr2
The rate of change of volume (V) with respect to its radius (r) is given by
NCERT Solutions Class 12 Maths Chapter 6 - Application of Derivative
Therefore, when radius =10 cm.
dV/dr = 4π(10)= 400π
Hence, the volume of the balloon is increasing at the rate of 400π cm3/s.

Q10: A ladder 5 m long is leaning against a wall. The bottom of the ladder is pulled along the ground, away from the wall, at the rate of 2 cm/s. How fast is its height on the wall decreasing when the foot of the ladder is 4 m away from the wall?
Ans: Let y m be the height of the wall at which the ladder touches. Also, let the foot of the ladder be x m away from the wall.
Then, by Pythagoras' theorem, we have:
x2 + y2 = 25 [Length of the ladder = 5 m]
NCERT Solutions Class 12 Maths Chapter 6 - Application of Derivative
Then, the rate of change of height (y) with respect to time (t) is given by.
NCERT Solutions Class 12 Maths Chapter 6 - Application of Derivative
NCERT Solutions Class 12 Maths Chapter 6 - Application of Derivative
Now., when x = 4 m. we have:NCERT Solutions Class 12 Maths Chapter 6 - Application of DerivativeHence, the height of the ladder on the wall is decreasing at the rate of 8/3 cm/s.

Q11: A particle moves along the curve . Find the points on the curve at which the y-coordinate is changing 8 times as fast as the x-coordinate.
Ans: The equation of the curve is given as:
NCERT Solutions Class 12 Maths Chapter 6 - Application of Derivative
The rate of change of the position of the particle with respect to time (t) is given by.
NCERT Solutions Class 12 Maths Chapter 6 - Application of Derivative
When the y-coordinate of the particle changes 8 times as fast as the
x-coordinate i.e., NCERT Solutions Class 12 Maths Chapter 6 - Application of Derivative , we have:
NCERT Solutions Class 12 Maths Chapter 6 - Application of Derivative
WhenNCERT Solutions Class 12 Maths Chapter 6 - Application of Derivative
When NCERT Solutions Class 12 Maths Chapter 6 - Application of Derivative
Hence, the points required on the curve are (4,11) and  NCERT Solutions Class 12 Maths Chapter 6 - Application of Derivative

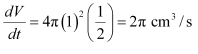
Q12: The radius of an air bubble is increasing at the rate of ½ cm/s. At which rate is the volume of the bubble increasing when the radius is 1 cm?
Ans: The air bubble is in the shape of a sphere.
Now, the volume of an air bubble (V) with radius (r) is given by,
V = 4/3πr3
The rate of change of volume (V) with respect to time (t) is given by..
NCERT Solutions Class 12 Maths Chapter 6 - Application of Derivative[By chain rule]
NCERT Solutions Class 12 Maths Chapter 6 - Application of Derivative
It is given that  dr/dt = 1/2 cm/s
Therefore , when r = 1 cm,
NCERT Solutions Class 12 Maths Chapter 6 - Application of Derivative
Hence, the rate at which the volume of the bubble increases is 2π cm3/s.

Q13: A balloon, which always remains spherical, has a variable diameter NCERT Solutions Class 12 Maths Chapter 6 - Application of Derivative. Find the rate of change of its volume with respect to x.
Ans: The volume of a sphere (V) with radius (r) is given by,
V = 4/3πr3
It is given that:
Diameter NCERT Solutions Class 12 Maths Chapter 6 - Application of Derivative
NCERT Solutions Class 12 Maths Chapter 6 - Application of Derivative
Hence, the rate of change of volume with respect to x is as
NCERT Solutions Class 12 Maths Chapter 6 - Application of DerivativeNCERT Solutions Class 12 Maths Chapter 6 - Application of Derivative

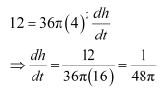
Q14: Sand is pouring from a pipe at the rate of 12 cm3/s. The falling sand forms a cone on the ground in such a way that the height of the cone is always one-sixth of the radius of the base. How fast is the height of the sand cone increasing when the height is 4 cm?
Ans: The volume of a cone (V) with radius (r) and height (h) is given by,
V = 1/3πr2h
It is riven that.
h= 1/6r = r=6h
∴ V = 1/3π(6h)2h = 12πh3
The rate of change of volume with respect to time (t) is given by.
NCERT Solutions Class 12 Maths Chapter 6 - Application of Derivative
It is also given that NCERT Solutions Class 12 Maths Chapter 6 - Application of Derivative

NCERT Solutions Class 12 Maths Chapter 6 - Application of Derivative

Q15: The total cost (x) in Rupees associated with the production of x units of an item is given by C (x) = 0.007x3 - 0.003x2 +15x + 4000 

Find the marginal cost when 17 units are produced.

Ans: Marginal cost is the rate of change of total cost with respect to output.

∴ Marginal cost (MC) NCERT Solutions Class 12 Maths Chapter 6 - Application of Derivative

= 0.021x2 - 0.006x + 15

When x = 17, MC = 0.021 (172)- 0.006 (17) + 15

= 0.021(289)-0.006(17)+ 15

= 6.069- 0.102+ 15

= 20.967

Hence, when 17 units are produced, the marginal cost is Rs. 20.967.

Q16: The total revenue in Rupees received from the sale of x units of a product is given by R(x) = 13x2  26x 15

Find the marginal revenue when x = 7.

Ans: Marginal revenue is the rate of change of total revenue with respect to the number of units sold.

∴ Marginal Revenue (MR)  = dR/dx = 13(2x) +26 = 26x+26

When x = 73

MR = 26(7) + 26 = 182 + 26 = 208

Hence, the required marginal revenue is Rs 208.

Q17: The rate of change of the area of a circle with respect to its radius r at r = 6 cm is

(A) 10π    (B) 12π   (C) 8π    (D) 11π

Ans: The area of a circle (A) with radius (r) is given by,

A = πr2

Therefore, the rate of change of the area with respect to its radius r is

NCERT Solutions Class 12 Maths Chapter 6 - Application of Derivative

Hence, the required rate of change of the area of a circle is 12π cm;. s.

The correct answer is B.

Q18: The total revenue in Rupees received from the sale of x units of a product is given by
R(x) = 3x2 + 36x + 5. The marginal revenue, when x=15 is
(A) 116 (B) 96 (C) 90 (D) 126

Ans: Marginal revenue is the rate of change of total revenue with respect to the number of units sold.

∴ Marginal Revenue (MR)= dR/dx= 3(2x) + 36 = 6x + 36

∴ When x = 15,

MR = 6(15) + 36 = 90 + 36 = 126

Hence, the required marginal revenue is Rs 126.

The correct answer is D.

Exercise 6.2

Q1: Show that the function given by f(x) = 3x  17 is strictly increasing on R.
Ans: Let be any two numbers in R.
Then, we have:
Let x1 and  x2 be any two numbers in R.
Then, we have:
NCERT Solutions Class 12 Maths Chapter 6 - Application of DerivativeHence, f is strictly increasing on R.
Q2: Show that the function given by/(x) = e2x is strictly increasing on R.
Ans:
 Let x1 and x2 be any two numbers in R.
Then, we have:  NCERT Solutions Class 12 Maths Chapter 6 - Application of DerivativeHence, f is strictly increasing on R.

Q3: Show that the function given by f(x) = sin x is
(a) strictly increasing in NCERT Solutions Class 12 Maths Chapter 6 - Application of Derivative (b) strictly decreasing in NCERT Solutions Class 12 Maths Chapter 6 - Application of Derivative(c) neither increasing nor decreasing in (0, π)
Ans: The given function is f(x) = sinx.
NCERT Solutions Class 12 Maths Chapter 6 - Application of Derivative(a) Since for each  NCERT Solutions Class 12 Maths Chapter 6 - Application of Derivative we have  NCERT Solutions Class 12 Maths Chapter 6 - Application of DerivativeHence, f is strictly increasing in NCERT Solutions Class 12 Maths Chapter 6 - Application of Derivative

(b) Since for each NCERT Solutions Class 12 Maths Chapter 6 - Application of Derivative, we have NCERT Solutions Class 12 Maths Chapter 6 - Application of Derivative

Hence, f is strictly decreasing in NCERT Solutions Class 12 Maths Chapter 6 - Application of Derivative

(c) From the results obtained in (a) & (b), it is clear that f is neither increasing nor decreasing in (0, π)

Q4: Find the intervals in which the function f given by f(x) = 2x2 − 3x is

(a) strictly increasing

(b) strictly decreasing

Ans: The given function is f(x) = 2x2 - 3x.

NCERT Solutions Class 12 Maths Chapter 6 - Application of DerivativeNow, the point 3/4 divides the real line into two disjoint intervals, i.e.,NCERT Solutions Class 12 Maths Chapter 6 - Application of DerivativeNCERT Solutions Class 12 Maths Chapter 6 - Application of DerivativeHence, the given function (f) is strictly decreasing in the interval NCERT Solutions Class 12 Maths Chapter 6 - Application of DerivativeIn interval  NCERT Solutions Class 12 Maths Chapter 6 - Application of DerivativeHence, the given function (J) is strictly increasing in the interval NCERT Solutions Class 12 Maths Chapter 6 - Application of DerivativeQ5: Find the intervals in which the function/given by/x) = 2x3 - 3x2 - 36x+ 7 is

(a) strictly increasing    
(b) strictly decreasing
Ans:
The given function is  NCERT Solutions Class 12 Maths Chapter 6 - Application of DerivativeNCERT Solutions Class 12 Maths Chapter 6 - Application of DerivativeThe points x = -2 and x = 3 divide the real line into three disjoint intervals, i.e.,NCERT Solutions Class 12 Maths Chapter 6 - Application of DerivativeIn intervals (-∞, -2) and (3, ∞) , f'(x) is positive while in interval (-2,3), f'(x) is negative.Hence, the given function (f) is strictly increasing in intervals (-∞, -2) and (3, ∞), while fthe unction if) is strictly decreasing in the interval (-2,3).

Q6: Find the intervals in which the following functions are strictly increasing or decreasing:

(a) x2 + 2x- 5    

(b) 10 - 6x— 2x2    

(c) -2x3 - 9x2 - 12x+ 1

(d) 6 - 9x -x2    

(e) (x + 1)3 (x — 3)3

Ans: (a) We have,

f(x) = x2 +2x-5

∴ f'(x) = 2x+2

Now,

f'(x) = 0 ⇒ x = -1

Point x = -1 divides the real line into two disjoint. intervals i.e.. (-∞, -1) and (-1, ∞)

In interval NCERT Solutions Class 12 Maths Chapter 6 - Application of Derivative

∴ f is strictly decreasing in interval (-∞, -1).Thus, f is strictly decreasing for x < -1.

In interval NCERT Solutions Class 12 Maths Chapter 6 - Application of Derivative

∴ f is strictly increasing in interval (-1, ∞). Thus, f is strictly decreasing for x < - 1.

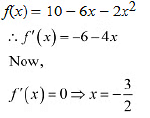
(b) We have,

NCERT Solutions Class 12 Maths Chapter 6 - Application of DerivativeThe point x = -3/2 divides the real line into two disjoint intervals i.e., (-∞, -3/2) and (-3/2, ∞). In interval (-∞, -3/2) i.e., when x < -3/2, f'(x) = - 6 - 4x < 0

∴ f is strictly increasing for x< -3/2

In interval  (-3/2, ∞) i.e , when x > -3/2, f'(x) = -6-4x<0

∴ f is strictly decreasing for  x> -3/2

(c) We have

f(x) = -2x3 - 9x2 - 12x +1

∴ f'(x) = -6x2 - 18x - 12 = -6(x2+3x+2) = -6(x+1)(x+2)

Now,

f'(x) = 0 ⇒ x = -1 and x = -2

Points x = - 1 and x = -2 divide the real line into three disjoint intervals i.e...

(-∞, -2),(-2, -1) and (-1, ∞)

In intervals  (-∞, -2) and (-1, ∞) he., when x < - 2 and x > - 1,

f'(x) = -6(x+1)(x+2) < 0

∴ f is strictly de ere as ing for x < - 2 and x > -1.

Now, in interval (-2, -1) i.e.. when - 2 < x < - 1.

f'(x) = -6(x+1)(x+2) > 0

∴ f is strictly increasing for 2 < x < 1

(d) We have.

f(x) = 6-9x = x2

∴  f'(x) = -9 -2x

Now, f'

(x) = 0 gives x = -9/2

The point  x = -9/2 divides the real line into two disjoint intervals i.e., (-∞, -9/2) and (-9/2,∞ )

In interval (-∞, -9/2) i.e., for  NCERT Solutions Class 12 Maths Chapter 6 - Application of Derivative ∴ f is strictly increasing for x < -9/2In interval  (-9/2,∞ ) i.e. for  NCERT Solutions Class 12 Maths Chapter 6 - Application of Derivative ∴ f is strictly decreasing for NCERT Solutions Class 12 Maths Chapter 6 - Application of Derivative(e) We have.f(x) = (x+1)3 (x-3)3

f'(x) = 3(x+1)2(x-3)3 +3(x-3)(x+1)3

= 3(x+1)2(x-3)2 [x-3+x+1]

=3(x+1)2(x-3)2(2x-2)

=6 (x+1)2(x-3)(x-1)

The points x = -1,x = 1. and x = 3 divide the real line into four disjoint intervals i.e., (-∞, -1) (-1,1), (1,3), and (3, ∞)

In intervals (-∞, -1) and (-1,1), f'(x) = 6(x+1)2(x-3)2(x-1) <0

∴ f is strictly decreasing in intervals  (-∞, -1) and (-1,1)

In intervals NCERT Solutions Class 12 Maths Chapter 6 - Application of Derivative∴ f is strictly increasing in intervals  (1,3), and (3, ∞)

Q7: Show that NCERT Solutions Class 12 Maths Chapter 6 - Application of Derivative , is an increasing function of x throughout its domain.Ans: We have.
NCERT Solutions Class 12 Maths Chapter 6 - Application of DerivativeNCERT Solutions Class 12 Maths Chapter 6 - Application of DerivativeNCERT Solutions Class 12 Maths Chapter 6 - Application of DerivativeSince x > - 1. point x =0 divides the domain (-1 ∞) in two disjoint intervals i.e.. -1 < x < 0 & x > 0.When -1 < x < 0. we have:
NCERT Solutions Class 12 Maths Chapter 6 - Application of DerivativeHence, function f is increasing throughout this domain.
Q8: Find the values of x for which y = [x(x-2)]2 is an increasing function.
Ans: 
We have.
NCERT Solutions Class 12 Maths Chapter 6 - Application of DerivativeThe points x = 0.x = 1. andx = 2 divide the real line into four disjoint intervalsNCERT Solutions Class 12 Maths Chapter 6 - Application of Derivative∴ y is strictly decreasing in intervals (-∞ , 0) and (1,2). However, in intervals (0, 1) and (2, ∞), dy/dx > 0
∴ y is strictly increasing in intervals (0,1) and (2, ∞).
∴ y is strictly increasing for 0 < x < 1 and x > 2.

Q9: Prove that  NCERT Solutions Class 12 Maths Chapter 6 - Application of Derivative is an increasing function of θ in [0, π/2]
Ans: We have.
NCERT Solutions Class 12 Maths Chapter 6 - Application of DerivativeNCERT Solutions Class 12 Maths Chapter 6 - Application of DerivativeNCERT Solutions Class 12 Maths Chapter 6 - Application of DerivativeIn interval  NCERT Solutions Class 12 Maths Chapter 6 - Application of Derivative We have cos NCERT Solutions Class 12 Maths Chapter 6 - Application of DerivativeNCERT Solutions Class 12 Maths Chapter 6 - Application of DerivativeTli ere fore.}' is strictly increasing in interval (0, π/2)Also, the given function is continuous at x=0 and x = π/2
Hence, it is increasing in interval [0, π/2].

Q10: Prove that the logarithmic function is strictly increasing on (0, ∞).
Ans: The given function is f (x) = log x.
∴ f'(x) = 1/x
It is clear that for x > 0,  f'(x) = 1/x >0 .
Hence, f(x) = log x is strictly increasing in interval (0;∞).

Q11: Prove that the function/given by f(x) = x2 - x + 1 is neither strictly increasing nor strictly decreasing on (-1, 1).
Ans: The given function is f(x) = x2 - x + 1.
NCERT Solutions Class 12 Maths Chapter 6 - Application of DerivativeThe point 1/2 divides the interval (-1, 1) into two disjoint intervals, i.e.. NCERT Solutions Class 12 Maths Chapter 6 - Application of DerivativeNow, in interval  NCERT Solutions Class 12 Maths Chapter 6 - Application of DerivativeTherefore, f is strictly decreasing in interval  (-1, 1/2). However, in interval  NCERT Solutions Class 12 Maths Chapter 6 - Application of DerivativeTherefore, f is strictly increasing in interval (1/2,1). Hence. f is neither strictly increasing nor decreasing in interval (-1.1).

Q12: Which of the following functions are strictly decreasing on (0,π/2) ?
(A) cos x    
(B) cos2x    
(C) cos 3x    
(D) tan x

Ans:
NCERT Solutions Class 12 Maths Chapter 6 - Application of DerivativeNCERT Solutions Class 12 Maths Chapter 6 - Application of DerivativeThus, cosx is strictly decreasing in the interval NCERT Solutions Class 12 Maths Chapter 6 - Application of DerivativeNCERT Solutions Class 12 Maths Chapter 6 - Application of DerivativeNCERT Solutions Class 12 Maths Chapter 6 - Application of DerivativeNCERT Solutions Class 12 Maths Chapter 6 - Application of Derivative is strictly decreasing in interval NCERT Solutions Class 12 Maths Chapter 6 - Application of DerivativeNCERT Solutions Class 12 Maths Chapter 6 - Application of DerivativeNCERT Solutions Class 12 Maths Chapter 6 - Application of DerivativeThe point  NCERT Solutions Class 12 Maths Chapter 6 - Application of Derivative divides the interval NCERT Solutions Class 12 Maths Chapter 6 - Application of Derivative  into two disjoint intervals i.e.,  NCERT Solutions Class 12 Maths Chapter 6 - Application of Derivative

Now, in the interval  NCERT Solutions Class 12 Maths Chapter 6 - Application of Derivativef3 is strictly decreasing in interval NCERT Solutions Class 12 Maths Chapter 6 - Application of DerivativeHowever, in interval  NCERT Solutions Class 12 Maths Chapter 6 - Application of Derivative∴ f3 is strictly increasing in the interval NCERT Solutions Class 12 Maths Chapter 6 - Application of DerivativeHence, fis neither increasing nor decreasing in the interval NCERT Solutions Class 12 Maths Chapter 6 - Application of Derivative.  NCERT Solutions Class 12 Maths Chapter 6 - Application of Derivative∴ f4 is strictly increasing in the interval NCERT Solutions Class 12 Maths Chapter 6 - Application of DerivativeTherefore, functions cos x and cos 2x are strictly decreasing in NCERT Solutions Class 12 Maths Chapter 6 - Application of DerivativeHence, the correct answers are A and B.
Question 13: On which of the following intervals is the function f given by NCERT Solutions Class 12 Maths Chapter 6 - Application of Derivative strictly decreasing?NCERT Solutions Class 12 Maths Chapter 6 - Application of DerivativeNCERT Solutions Class 12 Maths Chapter 6 - Application of DerivativeNCERT Solutions Class 12 Maths Chapter 6 - Application of Derivative(D) ) None of theseAns: We have,
NCERT Solutions Class 12 Maths Chapter 6 - Application of DerivativeIn interval  NCERT Solutions Class 12 Maths Chapter 6 - Application of DerivativeNCERT Solutions Class 12 Maths Chapter 6 - Application of DerivativeThus, function fis strictly increasing in interval (0,1).In interval  NCERT Solutions Class 12 Maths Chapter 6 - Application of DerivativeNCERT Solutions Class 12 Maths Chapter 6 - Application of DerivativeThus, function f is strictly increasing in interval  NCERT Solutions Class 12 Maths Chapter 6 - Application of DerivativeNCERT Solutions Class 12 Maths Chapter 6 - Application of Derivative∴ f is strictly increasing in intervalNCERT Solutions Class 12 Maths Chapter 6 - Application of Derivative .Hence, function f is strictly decreasing in none of the intervals.
The correct answer is D.

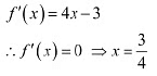
Q14: Find the least value of a such that the function f given f(x) = x2  + ax+ 1  is strictly increasing on (1, 2).
Ans: We have
NCERT Solutions Class 12 Maths Chapter 6 - Application of DerivativeNow, function f will be increasing in  NCERT Solutions Class 12 Maths Chapter 6 - Application of DerivativeNCERT Solutions Class 12 Maths Chapter 6 - Application of DerivativeTherefore, we have to find the least value of a such thatNCERT Solutions Class 12 Maths Chapter 6 - Application of DerivativeThus, the least value of a for/to be increasing on (1? 2) is given by.-a/2 =1
-a/2 =1 ⇒ a = -2
Hence, the required value of a is -2.

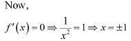
Q15: Let I be any interval disjoint from (−1, 1). Prove that the function f given by f(x) = x 1/x.  is strictly increasing on I.
Ans: We have,
NCERT Solutions Class 12 Maths Chapter 6 - Application of DerivativeNCERT Solutions Class 12 Maths Chapter 6 - Application of DerivativeThe points x = 1 andx = -1 divide the real line in three disjoint intervals i.e.,  NCERT Solutions Class 12 Maths Chapter 6 - Application of DerivativeIn interval (-1,1). it is observed that:NCERT Solutions Class 12 Maths Chapter 6 - Application of DerivativeIn intervals  NCERT Solutions Class 12 Maths Chapter 6 - Application of Derivative , it is observed that:NCERT Solutions Class 12 Maths Chapter 6 - Application of Derivative∴ f is strictly increasing on (-∞, 1) and (1, ∞)
Q16: Prove that the function f given by f(x) = log sin x is strictly increasing on (0,π/2)  and strictly decreasing on (π/2, π)
Ans:-
NCERT Solutions Class 12 Maths Chapter 6 - Application of DerivativeIn interval   NCERT Solutions Class 12 Maths Chapter 6 - Application of Derivative∴ f  is strictly decreasing in NCERT Solutions Class 12 Maths Chapter 6 - Application of DerivativeQ17: Prove that the function f given by f (x) = log cos x is strictly decreasing on  NCERT Solutions Class 12 Maths Chapter 6 - Application of Derivative  and strictly increasing on NCERT Solutions Class 12 Maths Chapter 6 - Application of Derivative
Ans: We have,
NCERT Solutions Class 12 Maths Chapter 6 - Application of Derivative∴ f is strictly decreasing on NCERT Solutions Class 12 Maths Chapter 6 - Application of DerivativeIn interval  NCERT Solutions Class 12 Maths Chapter 6 - Application of DerivativeNCERT Solutions Class 12 Maths Chapter 6 - Application of Derivative∴ f is strictly increasing on NCERT Solutions Class 12 Maths Chapter 6 - Application of Derivative

Q18: Prove that the function given by NCERT Solutions Class 12 Maths Chapter 6 - Application of Derivative is increasing in R.ANS: We have,
NCERT Solutions Class 12 Maths Chapter 6 - Application of DerivativeNCERT Solutions Class 12 Maths Chapter 6 - Application of DerivativeThus, f'(x) is always positive in R.Hence, the given function (f) is increasing in R.

Q19: The interval in which y= x2 e-x is increasing is
(A) (-∞,∞)    
 (B) (-2,0)    
 (C) (2,∞)    
 (D) (0,2)

Ans: We have.
NCERT Solutions Class 12 Maths Chapter 6 - Application of DerivativeThe points x = 0 and x = 2 divide the real line into three disjoint intervals i.e.;NCERT Solutions Class 12 Maths Chapter 6 - Application of DerivativeIn intervals  NCERT Solutions Class 12 Maths Chapter 6 - Application of Derivative is always positive.∴ f is decreasing on (-∞,0) and (2, ∞)In interval (0,2),  NCERT Solutions Class 12 Maths Chapter 6 - Application of Derivative∴ f is strictly increasing on (0.2).Hence f is strictly increasing in interval (0,2).
The correct answer is D.

Exercise 6.3

Q1: Find the maximum and minimum values,, if any, of the following functions given by

(i) f(x) =(2x- 1)2+ 3  
(ii) f(x) = 9x2 + 12x+2
(iii) f(x) = -(x - 1)2+ 10  
(iv) g(x) = x3 + 1

Ans: (i) The given function is f(x) = (2x- 1)2 + 3.

It can be observed that (2x- 1)2 > 0 for every x ∈ R.

There fore ,f(x)= (2x - 1)2 + 3 > 3 for every x ∈ R.

The minimum value of/is attained when 2x - 1 = 0.

NCERT Solutions Class 12 Maths Chapter 6 - Application of Derivative

∴ Minimum value of  NCERT Solutions Class 12 Maths Chapter 6 - Application of Derivative

Hence, function f does not have a maximum value.

(ii) The given function is f(x) = 9x2 + 12x + 2 = (3x+2)2- 2.

It can be observed that (3x+2)2 > 0 for every x ∈ R.

There fore f = (2x - 1)2 + 3 > 3 for every x ∈ R.

The minimum value of fis attained when 2x - 1 = 0.

  NCERT Solutions Class 12 Maths Chapter 6 - Application of Derivative

∴ Minimum value of  NCERT Solutions Class 12 Maths Chapter 6 - Application of Derivative

Hence, function f does not have a maximum value.

(ii) The given function is f(x) = 9x2 + 12x + 2 = (3x + 2)2 - 2

It can be observed that (3x + 2)2 > 0 for every x ∈ R.

Therefore, f(x) = (3x + 2)2 − 2 ≥ −2 for every xR.

The minimum value of f is attained when 3x + 2 = 0.

Hence, function f does not have a maximum value.

(iii) The given function is f(x) = − (x − 1)2  10.

It can be observed that (x − 1)2 ≥ 0 for every xR.

Therefore, f(x) = − (x − 1)2  10 ≤ 10 for every xR.

The maximum value of f is attained when (x − 1) = 0.

(x − 1) = 0 ⇒ x = 0

∴ Maximum value of f = f(1) = − (1 − 1)2  10 = 10

Hence, function f does not have a minimum value.

(iv) The given function is g(x) = x3  1.

Hence, function g neither has a maximum value nor a minimum value.

Q2: Find the maximum and minimum values, if any, of the following functions given by

(i) f(x) = |x + 2| − 1                                      
(ii) g(x) = − |x + 1| + 3
(iii) h(x) = sin(2x) 5                                  
(iv) f(x) = |sin 4x + 3|
(v) h(x) = +1, x 
 (−1, 1)

Ans : NCERT Solutions Class 12 Maths Chapter 6 - Application of Derivative

We know that NCERT Solutions Class 12 Maths Chapter 6 - Application of Derivative for every x ∈ R.Therefore, NCERT Solutions Class 12 Maths Chapter 6 - Application of Derivative for every x ∈ R.

The minimum value of/is attained when NCERT Solutions Class 12 Maths Chapter 6 - Application of DerivativeNCERT Solutions Class 12 Maths Chapter 6 - Application of Derivative

∴ Minimum value of NCERT Solutions Class 12 Maths Chapter 6 - Application of Derivative

Hence: function f does not have a maximum value.

(ii) NCERT Solutions Class 12 Maths Chapter 6 - Application of DerivativeWe know that  NCERT Solutions Class 12 Maths Chapter 6 - Application of Derivative for every x ∈ R.Therefore,  NCERT Solutions Class 12 Maths Chapter 6 - Application of Derivative for every x ∈ R.

The maximum value of g is attained when  NCERT Solutions Class 12 Maths Chapter 6 - Application of DerivativeNCERT Solutions Class 12 Maths Chapter 6 - Application of Derivative

∴ Maximum value of g = g(-1) NCERT Solutions Class 12 Maths Chapter 6 - Application of Derivative

Hence, function g does not have a minimum value.

(iii)h(x) = sin2x+ 5

NCERT Solutions Class 12 Maths Chapter 6 - Application of Derivative

Hence, the maximum and minimum values of h are 6 and 4 respectively.

NCERT Solutions Class 12 Maths Chapter 6 - Application of Derivative

Hence, the maximum and minimum values of f are 4 and 2 respectively.

NCERT Solutions Class 12 Maths Chapter 6 - Application of Derivative

Here, if a point x0 is closest to NCERT Solutions Class 12 Maths Chapter 6 - Application of Derivative

Also, if x1 is closest to 1. then NCERT Solutions Class 12 Maths Chapter 6 - Application of Derivative

Hence, function h(x) has neither maximum nor minimum value in (-1. 1).

Q3: Find the local maxima and local minima,, if any, of the following functions. Find also the local maximum and the local minimum values, as the case may be:
NCERT Solutions Class 12 Maths Chapter 6 - Application of Derivative
NCERT Solutions Class 12 Maths Chapter 6 - Application of Derivative
NCERT Solutions Class 12 Maths Chapter 6 - Application of Derivative
NCERT Solutions Class 12 Maths Chapter 6 - Application of Derivative
NCERT Solutions Class 12 Maths Chapter 6 - Application of Derivative
NCERT Solutions Class 12 Maths Chapter 6 - Application of Derivative
NCERT Solutions Class 12 Maths Chapter 6 - Application of Derivative
NCERT Solutions Class 12 Maths Chapter 6 - Application of Derivative

NCERT Solutions Class 12 Maths Chapter 6 - Application of Derivative

Thus.x = 0 is the only critical point which could possibly be the point of local maxima or local minima of f.

We have f''(0) = 2 which is positive.

Therefore, by second derivative test.x = 0 is a point of local minima and local minimum value of f at x = 0 is f (0) = 0.

NCERT Solutions Class 12 Maths Chapter 6 - Application of Derivative

By second derivative test. x= 1 is a point of local minima and local minimum value ofg atr = 1 is g(l) = l3 - 3 = 1 - 3 = -2.

However. x = -1 is a point of local maxima and local maximum value of g at

NCERT Solutions Class 12 Maths Chapter 6 - Application of Derivative

NCERT Solutions Class 12 Maths Chapter 6 - Application of Derivative

Therefore, by second derivative test.  NCERT Solutions Class 12 Maths Chapter 6 - Application of Derivative is a point: of local maxima and the local maximum value

NCERT Solutions Class 12 Maths Chapter 6 - Application of Derivative

 Therefore, by second derivative test,  NCERT Solutions Class 12 Maths Chapter 6 - Application of Derivative is a point of local maxima and the local maximum value of  NCERT Solutions Class 12 Maths Chapter 6 - Application of Derivative

NCERT Solutions Class 12 Maths Chapter 6 - Application of Derivative However,  NCERT Solutions Class 12 Maths Chapter 6 - Application of Derivative is a point of local minima and the local minimum value of f at NCERT Solutions Class 12 Maths Chapter 6 - Application of Derivative

NCERT Solutions Class 12 Maths Chapter 6 - Application of Derivative

Therefore, by second derivative test.x = 1 is a point of local maxima and the local maximum value of f at x = 1 is f(1) = 1-6-9-15=19. However, x = 3 is a point of local minima and the local minimum value of f at x = 3 is f (3) = 27- 54+ 27+ 15 = 15.

NCERT Solutions Class 12 Maths Chapter 6 - Application of Derivative

Therefore, by second derivative test. x = 2 is a point of local minima and the local minimum value of g at NCERT Solutions Class 12 Maths Chapter 6 - Application of Derivative

NCERT Solutions Class 12 Maths Chapter 6 - Application of Derivative

Now, for values close to x = 0 and to the left of 0, g (x) > 0. Also, for values close to x = 0 and to thi right of 0, g'(x) < 0

Therefore, by first derivative test, x = 0 is a point of local maxima and the local maximum value of  NCERT Solutions Class 12 Maths Chapter 6 - Application of Derivative

NCERT Solutions Class 12 Maths Chapter 6 - Application of Derivative

NCERT Solutions Class 12 Maths Chapter 6 - Application of Derivative

NCERT Solutions Class 12 Maths Chapter 6 - Application of Derivative

Therefore, by second derivative test.  NCERT Solutions Class 12 Maths Chapter 6 - Application of Derivative  is a point of local maxima and the local maximum value off at  NCERT Solutions Class 12 Maths Chapter 6 - Application of Derivative NCERT Solutions Class 12 Maths Chapter 6 - Application of Derivative

Q4: Prove that the following functions do not have maxima or minima:
(i) f(x) = ex  
(ii) g(x) = logx    
(iii) h(x) = x3 + x2 + x+ 1
Ans: NCERT Solutions Class 12 Maths Chapter 6 - Application of Derivative

Now., if  NCERT Solutions Class 12 Maths Chapter 6 - Application of Derivative . But. the exponential function can never assume 0 for any value of x.

Therefore, there does not exist  NCERT Solutions Class 12 Maths Chapter 6 - Application of Derivative

Hence, function f does not have maxima or minima.

NCERT Solutions Class 12 Maths Chapter 6 - Application of Derivative

Therefore, there does not exist R such that .

Hence, function g does not have maxima or minima.

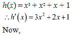
iii. We have,

NCERT Solutions Class 12 Maths Chapter 6 - Application of Derivative

NCERT Solutions Class 12 Maths Chapter 6 - Application of DerivativeNCERT Solutions Class 12 Maths Chapter 6 - Application of Derivative

Therefore, there does not exist c∈ R such that h'(c)=0.

Hence, function h does not have maxima or minima.

Q5: Find the absolute maximum value and the absolute minimum value of the following functions in the given intervals:
NCERT Solutions Class 12 Maths Chapter 6 - Application of DerivativeNCERT Solutions Class 12 Maths Chapter 6 - Application of DerivativeNCERT Solutions Class 12 Maths Chapter 6 - Application of DerivativeNCERT Solutions Class 12 Maths Chapter 6 - Application of Derivative
Ans: (i) The given function is f (x) = x3.

NCERT Solutions Class 12 Maths Chapter 6 - Application of Derivative

Then, we evaluate the value of/ at critical point x = 0 and at endpoints of the interval [—2,2].

NCERT Solutions Class 12 Maths Chapter 6 - Application of Derivative

Hence, we can. conclude that the absolute maximum value off on [-2. 2] is 8 occurring at x = 2. Also, the absolute minimum value off on [-2,2] is -8 occurring at x = -2.

(ii) The given function is f(x) = sin x + cosx

NCERT Solutions Class 12 Maths Chapter 6 - Application of Derivative

Then, we evaluate the value of/at critical point  NCERT Solutions Class 12 Maths Chapter 6 - Application of Derivative and at the end points of the interval [0, π] .

NCERT Solutions Class 12 Maths Chapter 6 - Application of Derivative

Hence, we can conclude that the absolute maximum value of  NCERT Solutions Class 12 Maths Chapter 6 - Application of Derivative occurring at  NCERT Solutions Class 12 Maths Chapter 6 - Application of Derivative and the absolute minimum value of NCERT Solutions Class 12 Maths Chapter 6 - Application of Derivative occurring at x = π

(iii) The given function is  NCERT Solutions Class 12 Maths Chapter 6 - Application of Derivative

NCERT Solutions Class 12 Maths Chapter 6 - Application of Derivative

Then, we evaluate the value of/at critical point x = 4 and at the end points of the interval  NCERT Solutions Class 12 Maths Chapter 6 - Application of Derivative

NCERT Solutions Class 12 Maths Chapter 6 - Application of Derivative

Hence, we can conclude that the absolute maximum value off on  NCERT Solutions Class 12 Maths Chapter 6 - Application of Derivative is 8 occurring at x = 4 and the absolute minimum value of f or NCERT Solutions Class 12 Maths Chapter 6 - Application of Derivative is -10 occurring at x = -2.

(iv) The riven function is

NCERT Solutions Class 12 Maths Chapter 6 - Application of Derivative

Then, we evaluate the value off at critical point x = 1 and at the endpoints of the interval [3,1].

NCERT Solutions Class 12 Maths Chapter 6 - Application of Derivative 

Hence, we can conclude that the absolute maximum value of/on [-3,1] is 19 occurring at x = -3 and the minimum value of f on [-3. 1] is 3 occurring at x = 1.

Q6: Find the maximum profit that a company can make, if the profit function is given by p(x) = 41 - 24x - 18x2

Ans: The profit function is riven as p(x) = 41 - 24x - 18x2

NCERT Solutions Class 12 Maths Chapter 6 - Application of Derivative

By second derivative test.  NCERT Solutions Class 12 Maths Chapter 6 - Application of Derivative is the point of local maxima of p.

∴ Maximum profit NCERT Solutions Class 12 Maths Chapter 6 - Application of DerivativeNCERT Solutions Class 12 Maths Chapter 6 - Application of Derivative

Hence, the maximum profit that the company can make is 49 units.

Q7: Find both the maximum value and the minimum value of NCERT Solutions Class 12 Maths Chapter 6 - Application of Derivative on the interval [0, 3]

Ans: NCERT Solutions Class 12 Maths Chapter 6 - Application of Derivative

NCERT Solutions Class 12 Maths Chapter 6 - Application of Derivative

Now,  NCERT Solutions Class 12 Maths Chapter 6 - Application of Derivative for which there are no real roots.

Therefore, we consider only x= 2 ∈[0,3].

Now, w:e evaluate the value off at critical pointx = 2 and at. the end points ofthe interval [0,3].

NCERT Solutions Class 12 Maths Chapter 6 - Application of Derivative

Hence, we can conclude that the absolute maximum value of f on [0, 3] is 25 occurring at x = 0 and the absolute minimum value of f at [0. 3] is - 39 occurring at x = 2.

Q8: At what points in the interval [0, 2π], does the function sin 2x attain its maximum value?

Ans: -Let f(x) = sin 2x.

  NCERT Solutions Class 12 Maths Chapter 6 - Application of Derivative

Then, we evaluate the values of/at critical points  NCERT Solutions Class 12 Maths Chapter 6 - Application of Derivative and at the end points of the

NCERT Solutions Class 12 Maths Chapter 6 - Application of Derivative

Hence, we can conclude that the absolute maximum value of f on [0, 2π] is occurring at  NCERT Solutions Class 12 Maths Chapter 6 - Application of Derivative and  NCERT Solutions Class 12 Maths Chapter 6 - Application of Derivative

Q9: What is the maximum value of the function sinx + cos x? 

Ans: Let f (x) = sin x- cos x.

NCERT Solutions Class 12 Maths Chapter 6 - Application of Derivative

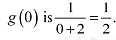
We first consider the interval [1, 3].

Then, we evaluate the value of f at the critical point x = 2 ∈ [1, 3] and at the end points of the interval [1, 3].

f(2) = 2(8) − 24(2) 107 = 16 − 48 107 = 75

f(1) = 2(1) − 24(1) 107 = 2 − 24 107 = 85

f(3) = 2(27) − 24(3) 107 = 54 − 72 107 = 89

Hence, the absolute maximum value of f(x) in the interval [1, 3] is 89 occurring at x = 3.

Next, we consider the interval [−3, −1].

Evaluate the value of f at the critical point x = −2 ∈ [−3, −1] & at the end points of the interval [1, 3].

f(−3) = 2 (−27) − 24(−3) 107 = −54 72 107 = 125

f(−1) = 2(−1) − 24 (−1) 107 = −2 24 107 = 129

f(−2) = 2(−8) − 24 (−2) 107 = −16 48 107 = 139

Hence, the absolute maximum value of f(x) in the interval [−3, −1] is 139 occurring at x = −2.

Q10: It is given that at x = 1, the function x4− 62x2   ax  9 attains its maximum value, on the interval [0, 2]. Find the value of a.

Ans:  Let f(x) = x4 − 62x2   ax  9.

It is given that function f attains its maximum value on the interval [0, 2] at x = 1.

Now,  NCERT Solutions Class 12 Maths Chapter 6 - Application of Derivative will be negative when (sin x + cos x) is positive i.e,, when sin x ana cos x are both positive. Also, we knowe that sin x and cos x both are positive in the first quadrant. Then, NCERT Solutions Class 12 Maths Chapter 6 - Application of Derivative will be negative whenNCERT Solutions Class 12 Maths Chapter 6 - Application of Derivative

NCERT Solutions Class 12 Maths Chapter 6 - Application of Derivative

∴ By second derivative test./will be the maximum at NCERT Solutions Class 12 Maths Chapter 6 - Application of Derivative and the maximum value of f  is

NCERT Solutions Class 12 Maths Chapter 6 - Application of Derivative

Q11: Find the maximum value of 2x3 - 24x + 107 in the interval [1, 3]. Find the maximum value of the same function in [-3, -1].

Ans: Let f(x) = 2x3 - 24x + 107.

NCERT Solutions Class 12 Maths Chapter 6 - Application of Derivative

Q12: Find the maximum and minimum values of x + sin 2x on [0, π]. 

Ans:  Let f(x) = x + sin 2x.

NCERT Solutions Class 12 Maths Chapter 6 - Application of Derivative

NCERT Solutions Class 12 Maths Chapter 6 - Application of Derivative

NCERT Solutions Class 12 Maths Chapter 6 - Application of Derivative

Then, we evaluate the value of f at critical points   NCERT Solutions Class 12 Maths Chapter 6 - Application of Derivative and at the end points of the interval [0, 2π].

NCERT Solutions Class 12 Maths Chapter 6 - Application of Derivative

Hence, we can conclude that the absolute maximum value of f(x) in the interval [0, 2π] is 2π occurring at x =2π & the absolute minimum value of f(x) in the interval [0,2π] is 0 occurring at x = 0.

Q13: Find two numbers whose sum is 24 and whose product is as large as possible.

Ans: Let one number be x. Then, the other number is (24 − x).

Let P(x) denote the product of the two numbers. Thus, we have

NCERT Solutions Class 12 Maths Chapter 6 - Application of Derivative

By second derivative test, x = 12 is the point of local maxima of P. Hence, the product of the numbers is the maximum when the numbers are 12 and 24 − 12 = 12.

Q14: Find two positive numbers x and y such that x  + y = 60 and xy3 is maximum

Ans: The two numbers are x and y such that x + y = 60.

NCERT Solutions Class 12 Maths Chapter 6 - Application of Derivative

NCERT Solutions Class 12 Maths Chapter 6 - Application of Derivative

By second derivative test, = 15 is a point of local maxima of f. Thus, function xy3 is maximum when x = 15 and y = 60 − 15 = 45.

Hence, the required numbers are 15 and 45.

Q15: Find two positive numbers and such that their sum is 35 and the product x2y5 is a maximum

Ans: Let one number be x. Then, the other number is y = (35 − x).

NCERT Solutions Class 12 Maths Chapter 6 - Application of Derivative

NCERT Solutions Class 12 Maths Chapter 6 - Application of Derivative

NCERT Solutions Class 12 Maths Chapter 6 - Application of Derivative

When x = 35,  NCERT Solutions Class 12 Maths Chapter 6 - Application of Derivative and y= 35 - 35 = 0. This will make the product x2y5 equal to 0.

x = 0 and x =35 cannot be the possible values of x.

When x = 10, we have:

NCERT Solutions Class 12 Maths Chapter 6 - Application of Derivative

By second derivative test, P(x) will be the maximum when x = 10 and y = 35 − 10 = 25.

Hence, the required numbers are 10 and 25.

Q16: Find two positive numbers whose sum is 16 and the sum of whose cubes is minimum.

Ans: - Let one number be x. Then, the other number is (16 − x).

Let the sum of the cubes of these numbers be denoted by S(x). Then,

NCERT Solutions Class 12 Maths Chapter 6 - Application of Derivative

By second derivative test, x = 8 is the point of local minima of S.

Hence, the sum of the cubes of the numbers is the minimum when the numbers are 8 and 16 −8 =8.

Q17: A square piece of tin of side 18 cm is to made into a box without top, by cutting a square from each corner and folding up the flaps to form the box. What should be the side of the square to be cut off so that the volume of the box is the maximum possible?

Ans: Let the side of the square to be cut off be x cm. Then, the length and the breadth of the box will be (18 − 2x) cm each and the height of the box is x cm.

Therefore, the volume V(x) of the box is given by

NCERT Solutions Class 12 Maths Chapter 6 - Application of Derivative

NCERT Solutions Class 12 Maths Chapter 6 - Application of Derivative

If x = 9. then the length and the breadth will become 0

By second derivative test, x = 3 is the point of maxima of V.

Hence, if we remove a square of side 3 cm from each corner of the square tin and make a box from the remaining sheet, then the volume of the box obtained is the largest possible

Q18: A rectangular sheet of tin 45 cm by 24 cm is to be made into a box without top, by cutting off square from each corner and folding up the flaps. What should be the side of the square to be cut off so that the volume of the box is the maximum possible?

Ans: Let the side of the square to be cut off be x cm. Then, the height of the box is x, the length is 45 − 2x, and the breadth is 24 − 2x.

Therefore, the volume V(x) of the box is given by,

NCERT Solutions Class 12 Maths Chapter 6 - Application of Derivative

NCERT Solutions Class 12 Maths Chapter 6 - Application of Derivative

If x = 9. then the length and the breadth will become 0

NCERT Solutions Class 12 Maths Chapter 6 - Application of Derivative

By second derivative test, x = 5 is the point of maxima.

Hence, the side of the square to be cut off to make the volume of the box maximum possible is 5 cm.

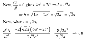
Q19: Show that of all the rectangles inscribed in a given fixed circle, the square has the maximum area.

Ans: Let a rectangle of length l and breadth b be inscribed in the given circle of radius a.

Then, the diagonal passes through the centre and is of length 2a cm.

Now, by applying the Pythagoras theorem, we have:

NCERT Solutions Class 12 Maths Chapter 6 - Application of Derivative

NCERT Solutions Class 12 Maths Chapter 6 - Application of Derivative

NCERT Solutions Class 12 Maths Chapter 6 - Application of Derivative

NCERT Solutions Class 12 Maths Chapter 6 - Application of Derivative

NCERT Solutions Class 12 Maths Chapter 6 - Application of Derivative

∴ By the second derivative test, whenNCERT Solutions Class 12 Maths Chapter 6 - Application of Derivative, then the area of the rectangle is the maximum.

Since  NCERT Solutions Class 12 Maths Chapter 6 - Application of Derivative , the rectangle is a square.

Hence, it has been proved that of all the rectangles inscribed in the given fixed circle, the square has the maximum area.

Q20: Show that the right circular cylinder of given surface and maximum volume is such that is heights is equal to the diameter of the base.

Ans: Let r and h be the radius and height of the cylinder respectively.

Then, the surface area (S) of the cylinder is given by

NCERT Solutions Class 12 Maths Chapter 6 - Application of Derivative

Let V be the volume of the cylinder. Then.

NCERT Solutions Class 12 Maths Chapter 6 - Application of Derivative

Q21: Of all the closed cylindrical cans (right circular), of a given volume of 100 cubic centimetres, find the dimensions of the can which has the minimum surface area?

Ans: Let r and h be the radius and height of the cylinder respectively.

Then, volume (V) of the cylinder is given by,

NCERT Solutions Class 12 Maths Chapter 6 - Application of Derivative

Surface area (S) of the cylinder is given by.

NCERT Solutions Class 12 Maths Chapter 6 - Application of Derivative

Now,  it is observed that when  NCERT Solutions Class 12 Maths Chapter 6 - Application of Derivative

∴ By second derivative test, the surface area is the minimum when the radius of the cylinder is NCERT Solutions Class 12 Maths Chapter 6 - Application of Derivative

NCERT Solutions Class 12 Maths Chapter 6 - Application of Derivative

Q22: A wire of length 28 m is to be cut into two pieces. One of the pieces is to be made into a square and the other into a circle. What should be the length of the two pieces so that the combined area of the square and the circle is minimum?

Ans: Let a piece of length l be cut from the given wire to make a square.

Then, the other piece of wire to be made into a circle is of length (28 − l) m.

Now, side of square = l/4.

Let r be the radius of the circle. Then,

The combined areas of the square and the circle (A) is given by,

NCERT Solutions Class 12 Maths Chapter 6 - Application of Derivative

NCERT Solutions Class 12 Maths Chapter 6 - Application of Derivative

∴ By second derivative test, the area (A) is the minimum when  NCERT Solutions Class 12 Maths Chapter 6 - Application of Derivative

Hence, the combined area is the minimum when the length of the wire in making the square is  NCERT Solutions Class 12 Maths Chapter 6 - Application of Derivativecm while the length of the wire in making the circle is NCERT Solutions Class 12 Maths Chapter 6 - Application of Derivative

Q23: Prove that the volume of the largest cone that can be inscribed in a sphere of radius R is 8/27 of the volume of the sphere.

Ans: Let r and h be the radius and height of the cone respectively inscribed in a sphere of radius R.

Let V be the volume of the cone.

Then, NCERT Solutions Class 12 Maths Chapter 6 - Application of Derivative

Height of the cone is given by,

NCERT Solutions Class 12 Maths Chapter 6 - Application of Derivative [ABC is a right triangle]

NCERT Solutions Class 12 Maths Chapter 6 - Application of Derivative

NCERT Solutions Class 12 Maths Chapter 6 - Application of Derivative

NCERT Solutions Class 12 Maths Chapter 6 - Application of Derivative

NCERT Solutions Class 12 Maths Chapter 6 - Application of Derivative

NCERT Solutions Class 12 Maths Chapter 6 - Application of Derivative

∴ By second derivative test the volume of the cone is die maximum when NCERT Solutions Class 12 Maths Chapter 6 - Application of Derivative

Q24: Show that the right circular cone of least curved surface and given volume has an altitude equal to time the radius of the base.

Ans: Let and h be the radius and the height (altitude) of the cone respectively.

Then, the volume (V) of the cone is given as:

NCERT Solutions Class 12 Maths Chapter 6 - Application of Derivative

The surface area (S) of the cone is given by.

S = πrI (where l is the slant height)

NCERT Solutions Class 12 Maths Chapter 6 - Application of Derivative

NCERT Solutions Class 12 Maths Chapter 6 - Application of Derivative

NCERT Solutions Class 12 Maths Chapter 6 - Application of DerivativeNCERT Solutions Class 12 Maths Chapter 6 - Application of Derivative

Thus, it. can be easily verified that when  NCERT Solutions Class 12 Maths Chapter 6 - Application of Derivative

Q25: Show that the semi-vertical angle of the cone of the maximum volume and of given slant height is NCERT Solutions Class 12 Maths Chapter 6 - Application of Derivative

Ans: Let θ be the semi-vertical angle of the cone.

It is clear that  NCERT Solutions Class 12 Maths Chapter 6 - Application of Derivative

Let r, h. and 1 be the radius, height, and the slant height of the cone respectively.

The slant height of the cone is given as constant.

Now, r = l sin θ and h = 1 cos θ

The volume (V) of the cone is given by,

NCERT Solutions Class 12 Maths Chapter 6 - Application of Derivative

NCERT Solutions Class 12 Maths Chapter 6 - Application of Derivative

NCERT Solutions Class 12 Maths Chapter 6 - Application of Derivative

Q26: The point on the curve x2 = 2y which is nearest to the point (0, 5) is

(A) NCERT Solutions Class 12 Maths Chapter 6 - Application of Derivative
(B) NCERT Solutions Class 12 Maths Chapter 6 - Application of Derivative
(C) (0, 0)    
(D) (2, 2)

Ans: The given curve is x2 = 2y.

For each value of x. the position of the point will be NCERT Solutions Class 12 Maths Chapter 6 - Application of Derivative

The distance d(x) between the points NCERT Solutions Class 12 Maths Chapter 6 - Application of Derivativeand (0,5) is given by.

NCERT Solutions Class 12 Maths Chapter 6 - Application of Derivative

NCERT Solutions Class 12 Maths Chapter 6 - Application of Derivative

NCERT Solutions Class 12 Maths Chapter 6 - Application of Derivative

NCERT Solutions Class 12 Maths Chapter 6 - Application of Derivative

∴ By second derivative test. d(x) is the minimum at NCERT Solutions Class 12 Maths Chapter 6 - Application of Derivative

When NCERT Solutions Class 12 Maths Chapter 6 - Application of Derivative

Hence, the point on the curve x2 = 2y which is nearest to the point (0, 5) is NCERT Solutions Class 12 Maths Chapter 6 - Application of Derivative

The correct answer is A.

The document NCERT Solutions Class 12 Maths Chapter 6 - Application of Derivative is a part of the JEE Course Mathematics (Maths) for JEE Main & Advanced.
All you need of JEE at this link: JEE
177 videos|618 docs|160 tests

FAQs on NCERT Solutions Class 12 Maths Chapter 6 - Application of Derivative

1. What is the concept of the application of derivatives?
Ans. The application of derivatives involves using the derivative of a function to solve real-world problems related to rates of change, optimization, and graph analysis.
2. How can derivatives be applied in business and economics?
Ans. Derivatives can be used in business and economics to analyze cost functions, revenue functions, and profit functions, as well as to optimize production levels and pricing strategies.
3. How are derivatives used in physics and engineering?
Ans. In physics and engineering, derivatives are applied to analyze motion, velocity, acceleration, and other physical quantities in order to solve problems related to mechanics, fluid dynamics, and electromagnetism.
4. What are some common applications of derivatives in daily life?
Ans. Common applications of derivatives in daily life include predicting trends in stock prices, analyzing changes in temperature over time, optimizing travel routes, and determining the maximum volume of a container.
5. How can derivatives be used to solve optimization problems?
Ans. Derivatives can be used to find the maximum or minimum values of a function by analyzing critical points and endpoints, making them valuable tools for solving optimization problems in various fields.
Related Searches

MCQs

,

ppt

,

mock tests for examination

,

Objective type Questions

,

past year papers

,

NCERT Solutions Class 12 Maths Chapter 6 - Application of Derivative

,

Important questions

,

NCERT Solutions Class 12 Maths Chapter 6 - Application of Derivative

,

Sample Paper

,

NCERT Solutions Class 12 Maths Chapter 6 - Application of Derivative

,

Extra Questions

,

Exam

,

Summary

,

Free

,

Previous Year Questions with Solutions

,

practice quizzes

,

pdf

,

Viva Questions

,

video lectures

,

Semester Notes

,

shortcuts and tricks

,

study material

;