Class 12 Exam  >  Class 12 Notes  >  Detailed Chapter Notes - Electrochemistry, Class 12, Chemistry (IIT-JEE and AIPMT)

Electrochemistry, Class 12, Chemistry (IIT-JEE and AIPMT) Detailed Chapter Notes PDF Download

Introduction to Electrochemistry - Surface Chemistry, Class 12, Chemistry

Key Concepts

Electrochemical Cells 

An electrochemical cell consists of two electrodes (metallic conductors) in contact with an electrolyte (an ionic conductor).

An electrode and its electrolyte comprise an Electrode Compartment. 

Electrochemical Cells can be classified as:

(i) Electrolytic Cells in which a non-spontaneous reaction is driven by an external source of current.

(ii) Galvanic Cells which produce electricity as a result of a spontaneous cell reaction .

Note: In a galvanic cell, cathode is positive with respect to anode.

In a electrolytic cell, anode is made positive with respect to cathode.

Galvanic Cell 

This cell converts chemical energy into electrical energy.

Electrochemistry, Class 12, Chemistry (IIT-JEE and AIPMT) Detailed Chapter Notes

Galvanic cell is made up of two half cells i.e., anodic and cathodic. The cell reaction is of redox kind. Oxidation takes place at anode and reduction at cathode. It is also known as voltaic cell. It may be represented as shown in Fig. Zinc rod immersed in ZnSO4 behaves as anode and copper rod immersed in CuSO4 behaves as cathode.

Oxidation takes place at anode. 

Zn → Zn2  + 2e- (loss of electron : oxidation)

Reduction takes place at cathode: 

Cu2  + 2e- → Cu(gain of electron ; reduction)

Overall process : Zn(s) + Cu2+  → Cu(s) + Zn2+

In galvanic cell like Daniell cell: electrons flow from anode (zinc rod) to the cathode (copper rod) through external circuit; zinc dissolves as Zn2+  ; Cu2+  ion in the cathode cell picks up two electron and become deposited at cathode.

Representation of a cell (IUPAC Conventions): 

Let us illustrate the convention taking the example of Daniel cell.

(i) Anodic half cell is written on left and cathodic half cell on right hand side.

Zn(s) |ZnSO4(sol)||CuSO4(sol)|Cu(s)

(ii) Two half cells are separated by double vertical lines: Double vertical lines indicate slat bridge or any type of porous partition.

(iii) EMF (electromotive force) may be written on the right hand side of the cell.

(iv) Single vertical lines indicate the phase separation between electrode and electrolyte solution.

Zn|Zn2+ ||Cu2+ |Cu

(v) Invert eletrodes are represented in the bracket

Zn|ZnSO4||H |H2,Pt

Relationship between DG and electrode potential 

Let n, faraday charge is taken out from a cell of e.m.f. (E) then electrical work done by the cell may be calculated as,

Work done = Charge × Potential = nFE

From thermodynamics we know that decrease in Gibbs free energy of a system is a measure of reversible or maximum obtainable work by the system if there is no work due to volume expansion

DG = - nFE

Under standard state DGº = - nFEº ............(1)

(i) From thermodynamics we know, DG = negative for spontaneous process. Thus from eq. (i) it is clear that the EMF should be ve for a cell process to be feasible or spontaneous.

(ii) When DG = positive, E = negative and the cell process will be non spontaneous.

Reactions             DG           E 

Spontaneous          (-)           (+)

Non-spontaneous   (+)           (-)

Equilibrium             0             0

Standard free energy hcange of a cell may be calculated by electrode potential data.

Substituting the value of Eº (i.e., standard reduction potential of cathode-standard reduction potential of anode) in eq. (i) we may get ΔGº.

Concenpt of electromotive force (EMF) of A Cell

Electron flows from anode to cathode in external circuit due to a pushing effect called or electromotive force (e.m.f.). EMF is called as cell potential. Unit of e.m.f. of cell is volt.

EMF of cell may be calculated as:

Ecell = reduction potential of cathode - Reduction potential of anode

Similarly, standard e.m.f. of the cell (Eº) may be calculated as

cell = Standard reduction potential of cathode - Standard reduction potential of anode.

Sign convention of emF

EMF of cell should be positive other wise it will not be feasible in the given direction.

Zn|ZnSO4||CuSO4|Cu E = 1.10 volt (Feasible)

Cu|CuSO4||ZnSO4|Zn E = - 1.10 volt (Not Feasible)

Salt Bridge 

Two electrolyte solutions in galvanic cells are separated using salt bridge as represented in the Fig. Salt bridge is a device to minimize or eliminate the liquid junction potential. Saturated solution of salt like KCl, KNO3, NH4Cl and NH4NO3 etc. in agar-agar gel is used in salt bridge. Salt bridge contains high concentration of ions viz. K  and NO3at the junction with electrolyte solution. Thus, salt bridge carries whole of the current across the boundary; more over the K  and NO3- ions have same speed. Hence, salt bridge with uniform and same mobility of cations and anions completes the electrical circuit & permits the ions to migrate.

Question for Detailed Chapter Notes - Electrochemistry, Class 12, Chemistry (IIT-JEE and AIPMT)
Try yourself:
What is the purpose of the salt bridge or porous partition in a galvanic cell?
View Solution

======================================================

Nernst Equation - Surface Chemistry, Class 12, Chemistry

Nernst equation 

Walter nernst derived a relation between cell potential and concentration or Reaction quotient.

DG = DGº RT ln Q ..........(i)

where DG and DGº are free energy and standard free energy change, 'Q' is reaction quotient.

- DG = nFE and -DGº = nFEº

Thus from Eq. (i), we get - nFE = - nFEº + RT lnQ

At 25ºC, above equation may be written as E = Eº - Electrochemistry, Class 12, Chemistry (IIT-JEE and AIPMT) Detailed Chapter Notes

Where 'n' represents number of moles of electrons involved in process.

E, Eº are e.m.f. and standard e.m.f. of the cell respectively.

In general, for a redox cell reaction involving the transference of n electrons

aA + bB → cC + dD, the EMF can be calculated as:

ECell = EºCell  - Electrochemistry, Class 12, Chemistry (IIT-JEE and AIPMT) Detailed Chapter Notes

 

Thermodynamic treatement of nernest equation  

(i) Prediction and feasibility of spontaneity of a cell reaction. 

Let us see whether the cell (Daniell) is feasible or not; i.e. whether Zinc will displace copper or not.

Zn | (s) | ZnSO4(sol) || CuSO4(sol) | Cu(s)

Electrochemistry, Class 12, Chemistry (IIT-JEE and AIPMT) Detailed Chapter Notes

Electrochemistry, Class 12, Chemistry (IIT-JEE and AIPMT) Detailed Chapter Notes

= 0.34 - (- 0.76) = 1.10 volt

Since E0 = ve, hence the cell will be feasible and zinc will displace copper from its salt solution. In the other words zinc will reduce copper.

(ii) Determination of equilibrium constant :  We know, that

E = E0 -Electrochemistry, Class 12, Chemistry (IIT-JEE and AIPMT) Detailed Chapter Notes ..........(1)

At equilibrium, the cell potential is zero because cell reactions are balanced, i.e. E = 0

From Eq. (i), we have

0 = E0 -Electrochemistry, Class 12, Chemistry (IIT-JEE and AIPMT) Detailed Chapter Notes or Keq = anti Electrochemistry, Class 12, Chemistry (IIT-JEE and AIPMT) Detailed Chapter Notes

(iii) Heat of Reaction inside the cell : Let n Faraday charge flows out of a cell of e.m.f. E, then

- ΔG = nFE ..........(i)

Gibbs Helmholtz equation (from thermodynamics) may be given as,

ΔG = ΔH + T Electrochemistry, Class 12, Chemistry (IIT-JEE and AIPMT) Detailed Chapter Notes ..........(ii)

From Eqs. (i) and (ii), we have

- nFE = DH +T Electrochemistry, Class 12, Chemistry (IIT-JEE and AIPMT) Detailed Chapter Notes = DH - nFTElectrochemistry, Class 12, Chemistry (IIT-JEE and AIPMT) Detailed Chapter Notes

DH = - nFE + nFTElectrochemistry, Class 12, Chemistry (IIT-JEE and AIPMT) Detailed Chapter Notes

(iv) Entropy change inside the cell : We know that G = H - TS or DG = DH - TDS ..........(i)

where DG = Free energy change ; DH = Enthalpy change and DS = entropy change.

According to Gibbs Helmoholtz equation,

DG = DH +TElectrochemistry, Class 12, Chemistry (IIT-JEE and AIPMT) Detailed Chapter Notes ............(ii)

From Eqs. (i) and (ii), we have

- TDS = TElectrochemistry, Class 12, Chemistry (IIT-JEE and AIPMT) Detailed Chapter Notes or DS = -Electrochemistry, Class 12, Chemistry (IIT-JEE and AIPMT) Detailed Chapter Notes

or DS = nFElectrochemistry, Class 12, Chemistry (IIT-JEE and AIPMT) Detailed Chapter Notes

where Electrochemistry, Class 12, Chemistry (IIT-JEE and AIPMT) Detailed Chapter Notes is called temperature coefficient of cell e.m.f.
 

Different types of half-cells and their reduction potential  

(1) Gas - Ion Half Cell : 

In such a half cell, an inert collector of electrons, platinum or grphite is in contact with gas and a solution containing a specified ion. One of the most important gas-ion half cell is the hydrogen-gas-hydrogen ion half cell. In this cell, purified H2 gas at a constant pressure is passed over a platinum electrode which is in contact with an acid solution.

H (aq) e-Electrochemistry, Class 12, Chemistry (IIT-JEE and AIPMT) Detailed Chapter Notes 1/2 H2

Electrochemistry, Class 12, Chemistry (IIT-JEE and AIPMT) Detailed Chapter Notes

 

(2) Metal-Metal Ion Half Cell : 

This type of cell consist of a metal M is contact with a solution containing M ions.

M (aq) neElectrochemistry, Class 12, Chemistry (IIT-JEE and AIPMT) Detailed Chapter Notes M(s)

Electrochemistry, Class 12, Chemistry (IIT-JEE and AIPMT) Detailed Chapter Notes

(3) Metal-Insoluble Salt-Anion Half Cell : 

In this half cell, a metal coated with its insoluble salt is in contact with a solution containing the anion of the insoluble salt. eg. Silver-Silver Chloride Half Cell :

This half cell is represented as Cl-/AgCl/Ag. The equilibrium reaction that occurs at the electrode is

AgCl(s) e-Electrochemistry, Class 12, Chemistry (IIT-JEE and AIPMT) Detailed Chapter Notes Ag+(s) + Cl-(aq)

Electrochemistry, Class 12, Chemistry (IIT-JEE and AIPMT) Detailed Chapter Notes, Electrochemistry, Class 12, Chemistry (IIT-JEE and AIPMT) Detailed Chapter Notes

(4) Oxidation-reduction Half Cell : 

This type of half cell is made by using an inert metal collector, usually platinum, immersed in a solution which contains two ions of the same element in different states of oxidation. eg. Fe - Fe half cell.

Fe3+ (aq)  + e-Electrochemistry, Class 12, Chemistry (IIT-JEE and AIPMT) Detailed Chapter Notes Fe2+ (aq)

Electrochemistry, Class 12, Chemistry (IIT-JEE and AIPMT) Detailed Chapter Notes

Concentration cell  

The cells in which electrical current is produced due to transport of a substance from higher to lower concentration. Concentration gradient may arise either in electrode material or in electrolyte. Thus there are two types of concentration cell.

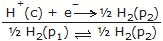
(i) Electrode Gas concentrtion cell :

Pt, H2(P1)|H (C)|H 2(P2), Pt

Here, hydrogen gas is ubbled at two different partial pressures at electrode dipped in the solution of same electrolyte.

Cell Process : 1/2H2(p1) → H (c) e- (Anode process)

Electrochemistry, Class 12, Chemistry (IIT-JEE and AIPMT) Detailed Chapter Notes E = Electrochemistry, Class 12, Chemistry (IIT-JEE and AIPMT) Detailed Chapter Notes

or E = -Electrochemistry, Class 12, Chemistry (IIT-JEE and AIPMT) Detailed Chapter Notes, At 25ºC, E = -Electrochemistry, Class 12, Chemistry (IIT-JEE and AIPMT) Detailed Chapter Notes

For spontanity of such cell reaction p1 > p2

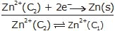
(2) Electrolyte concentration cells: 

Zn(s) |ZnSO4(C1)||ZnSO4(C 2) | Zn(s)

In such cells, concentration gradient arise in electrolyte solutions. Cell process may be given as,

Zn(s) → Zn(C1)  + 2e- (Anodic process)

Electrochemistry, Class 12, Chemistry (IIT-JEE and AIPMT) Detailed Chapter Notes (Over all process)

From Nernst equation, we have

Electrochemistry, Class 12, Chemistry (IIT-JEE and AIPMT) Detailed Chapter Notes or Electrochemistry, Class 12, Chemistry (IIT-JEE and AIPMT) Detailed Chapter Notes

For spontanity of such cell reaction, C2 > C1 .

Commercial voltaic cells

Batteries can be blassified as primary and secondary. Primary batteries can not be returned to their original state by recharging, so when the reactants are consumed, the battery is "dead" and must be discarded. Secondary batteries are often called storage batteries or rechargeable batteries. The reactions in these batteries can be reversed; thus, the batteries can be recharged.

Question for Detailed Chapter Notes - Electrochemistry, Class 12, Chemistry (IIT-JEE and AIPMT)
Try yourself:
Which type of half cell consists of a metal coated with its insoluble salt in contact with a solution containing the anion of the insoluble salt?
View Solution

Primary batteries:

dry cells and alkaline batteries

Zinc serves as the anode, and the cathode is a graphite rod placed down the center of the device. These cells are often called "dry cells" because there is no visible liquid phase. However, water is present, so the cell contains a moist paste of NH4Cl, ZnCl2 and MnO2. The moisture is necessary because the ions present must be in a medium in which they can migrate from one electrode to the other. The cell generates a potential of 1.5 V using the following half-reactins.

Cathode, reductions : 2NH4 (aq)  + 2e- → 2NH3(g)  + H2(g)

Anode, oxidation : Zn(s) → Zn2+ (aq) + 2e-

The two gases formed at the cathode will build up pressure and could cause the cell to rupture. This problem is avoided, however, by two other reactions that take place in the cell. Ammonia molecules bind to Zn ions, and hydrogen gas is oxidized by MnO2 to water.

 

Zn2+ (aq) + 2NH3(g) 2Cl-(aq) → Zn(NH3) + Cl2(s)

2MnO2(s)  + H2(g) → Mn2O3(s)  + H2O(l)

LeClanche cells were widely used because of their low cost, but they have several disadvantages. If current is drawn from the battery rapidly, the gaseous products cannot be consumed rapidly enough, so the cell resistance rises, and the voltage drops. In addition, the zinc electrode and ammonium ions are in contact in the cell, and these chemicals react slowly.

Recall that zinc reacts with acide to form hydrogen. The ammonium ion, NH4 (aq), is a weak Bronsted acid and reacts slowly with zinc. Because of this reaction, these voltaic cells connot be stored indifinitely. When the zinc outer shell deteriorates, the battery can leak acid and perhaps damage the appliance in which it is contained.

At the present time alkaline batteries are used the chemistry of alkaline cells is quite similar to that in a LeClanche cell, except that the material inside the cell is basic (alkaline). Alkaline cells use the oxidation of zinc and the reduction of MnO2 to generate a current, but NaOH or KOH is used in the cell instead of the acidic salt NH4Cl.

Cathode, reductions: 2MnO2(s) + H2O(l) + 2e- → Mn2O3(s) + 2OH-(aq)

Anode, Oxidation: Zn(s) + 2OH-(aq) → ZnO(s) + H2O(l) + 2e-

Alkaline cells, which produce 1.54 V (approximately the same voltage as the LeClanche cell), have the further advantage that the cell potential does not decline under high current loads because no gases are formed.

Secondary or Rechargeable batteries

An automobile battery-the lead storage battery - is probably the best-known rechargeable battery figure. The 12-V version of this battery contains six voltaic cells, each generating about 2V. The lead storage battery can produce a large initial current, an essential feature when starting an automobile engine.

Electrochemistry, Class 12, Chemistry (IIT-JEE and AIPMT) Detailed Chapter Notes

When the cell supplies electrical energy, the lead anode is oxidized to lead (II) sulfate, an insoluble substance that adheres to the electrode surface. The two electrons produced per lead atom move through the external circuit to the cathode, where PbO2 is reduced to Pb ions that in presence of H2SO4, also form lead (II) sulfate.

Cathode, reduction: PbO2(s) + 4H (aq) + SO42- (aq) + 2e- → PbSO4(s) + 2H2O(l)

Anode, oxidation: Pb(s) + SO42- (aq) → PbSO4(s) + 2e-

------------------------------------------------------------------------------------

Net ionic equation Pb(s) + PbO2(s) + 2H2SO4(aq) → 2PbSO4(s) + 2H2O(l)

 

Electrochemistry, Class 12, Chemistry (IIT-JEE and AIPMT) Detailed Chapter Notes

Nickel-Cadimium ("Ni-Cad") batteries, used in variety of cordless appliances such as telephones, video camcorders, and cordless power tools, are lightweight and rechargeable. The chemistry of the cell utilizes the oxidation of cadmium and the reduction of nickel (III) oxide under basic conditions. As with the lead storage battery, the reactants and products formed when producing a current are solids that adhere to the electrodes.

Cathde, reduction : NiO(OH)(s) + H2O(l) + e- → Ni(OH)2(s) + OH-(aq)

Anode, Oxidation: Cd(s) + 2OH- → Cd(OH)2(s) + 2e-

===============================================================

Fuel Cells and Corrosion - Electrochemistry, Class 12, Chemistry

FuelCells and hybrid cars 

An advantage of voltaic cells is that they are small and portable, but their size is also a limitation. The amount of electric current produced is limited by the quantity of reagents contained in the cell. When one of the reactants is completely consumed, the cell will no longer generate a current. Fuel cells avoid this limitation because the rectants (fuel and oxidant) can be supplied continuously to the cell from an external reservoir.

In a Hydrogen - Oxygen fuel cell figure, hydrogen is pumped onto the anode of the cell, and O2 (or air) is directed to the cathode where the following reactions occur.

Cathode, reduction: O2(g) + 2H2O(l) + 4e- → 4OH-(aq) Eº = 1.23 V

Anode, Oxidation: H2(g) → 2H (aq) + 2e- Eº = 0V

Electrochemistry, Class 12, Chemistry (IIT-JEE and AIPMT) Detailed Chapter Notes

Corrosion cells and reactions 

Corrosion can be defined as the deterioration of materials by chemical processes. Of these, the most important by far is electrochemical corrosion of metals, in which the oxidation process M → M  + e- is facilitated by the presence of a suitable electron acceptor, sometimes referred to in corrosion science as a depolarizer. 

In a sence, corrosion can be viewed as the spontaneous return of metals to their ores: the huge quantities of energy that were consumed in mining, refining, and manufacturing metals into useful objects is dissipated by a variety of different routes.

The special characteristic of most corrosion processes is that the oxidation and reduction steps occur at separate locations on the metal. This is possible because metals are conductive, so the electrons can flow through the metal from the anodic to the cathodic regions. The presence of water is necessary in order to transport ions to and form metal, but a thin film of adsorbed moisture can be sufficient. A corrosion system can be regarded as a short-circuited electrochemical cell in which the anodic process is something like

Fe(s) → Fe(aq) + 2e-

and the cathodic steps can be any of

O2 + 2H2O + 4e- → 4OH-

H  + e- → ½H2(g)

M2+  + 2e- → M(s)

where M is a metal. Which parts of the metal serve as anodes and cathodes can depend on many factors, as can be seen from the irregular corrosion patterns that are commonly observed. Atoms in regions that have undergone stress, as might be produced by forming or machining, often tend to have higher free energies, and thus tend to become anodic.

Control of Corrosion 

Since both the cathodic and anodic steps must take place for corrosion to occur, prevention of either one will stop corrosion. The most obvious strategy is to stop both processes by coating the object with a paint or other protective coating. Even if this is done, there are likely to be places where the coating is broken or does not penetrate, particularly if there are holes or screw threads.

A more sophisticated approach is to apply a slight negative charge to the metal, thus making it more difficult for the reaction M →M2+  + 2e- to take place.
 

Sacrificial coatings 

One way of supplying this negative charge is to apply a coating of a more active metal. Thus a very common way of protecting steel from corrosion is to coat it with a thin layer of zinc; this process is known as galvanizing. The zinc coating, being less noble than iron, tends to corrode selectively. Dissolution of this sacrificial coating leaves behing electrons which concentrate in the iron, making it cathodic and thus inhibiting its dissolution.

Electrochemistry, Class 12, Chemistry (IIT-JEE and AIPMT) Detailed Chapter Notes

The effect of plating iron with a less active metal provides an interesting contrast. The common tin-plated can (on the right) is a good example. As long as the tin coating remains intact, all is well, but exposure of even a tiny part of the underlying iron to the moist atmosphere initiates corrosion. The electrons released from the rion flow into the tin, making the iron more anodic so now the tin is actively promoting corrosion of the iron! You have probably observed how tin cans disintegrate very rapidly when left outdoors.

Cathodic Protection 

A more sophisticated strategy is to maintain a continual negative electrical charge on ametal, so that its dissolution as positive ions is inhibited. Since the entire surface is forced into the cathodic condition, this method is known as cathodic protection. The source of electrons can be an external direct current power supply (commonly used to protect oil pipelines and other buried structures), or it can be the corrosion of another, more active metal such as a priece of zinc or aluminum buried in the ground nearby.

===============================================================

Electrolytic Cells and Electrolysis - Electrochemistry, CBSE, Class 12, Chemistry

Electrolysis 

The decomposition of electrolyte solution by passage of electric current, resulting into deposition of metals or liberation of gases at electrodes is known as electrolysis.

Electrolytic cell 

This cell converts electrical energy into chemical energy. The entire assembly except that of the external battery is known as the electrolytic cell.

 

Electrodes  

Electrochemistry, Class 12, Chemistry (IIT-JEE and AIPMT) Detailed Chapter Notes

 

Electrolysis of molten sodium chloride 

NaCl(molten) → Na  + Cl-

Reactions at anode (oxidation) ; cathode (reduction)

2Cl- → Cl2(g)  + 2e- ; 2Na  + 2e- → 2Na(l)

There are two types of electrodes used in the electrolytic cell, namel attackable and non-attackable. The attackable electrodes participitate in the electrode reaction. They are made up of reactive metals like Zn, Cu, Ag etc. In such electrodes, atom of the metal gets oxidised into the corresponding cation, which is passed into the soluton. Thus, such anodes get dissolved and thier mass decreases. On the other hand, non-attackable electrodes do not participate in the electrodes do not participate in the electrode reaction as they made up of unreactive elements like Pt, graphite etc. Such electrodes do not dissolve and their mass remain same.

Faraday's laws of electrolysis : 

(i) First law of electrolysis; 

Amount of substance deposited or liberated at an electrode is directly proportional to amount of charge passed (utilized) through the solution.

w α Q   

W = weight liberated, Q = charge in coulomb

w = ZQ

Z = electrochemical equivalent

when Q = 1 coulomb, then w = Z

Thus, weight deposited by 1 coulomb chrge is called electrochemial equivalent.

Let 1 ampere current is passed till 't' seconds.

Then, Q = It w = ZIt

1 Faraday = 96500 coulomb = Charge of one mole electrons

One faraday is the charge required to liberate or deposit one gm equivalent of a substance at corresponding electrode. 

Let 'E' is equivalent weight then 'E' gm will be liberated by 96500 coulomb.

1 Coulomb will liberate Electrochemistry, Class 12, Chemistry (IIT-JEE and AIPMT) Detailed Chapter Notes gm ; By definition, Z = Electrochemistry, Class 12, Chemistry (IIT-JEE and AIPMT) Detailed Chapter Notes

W = Electrochemistry, Class 12, Chemistry (IIT-JEE and AIPMT) Detailed Chapter Notes

When a gas is evolved at an electrode, then above formula changes as,

V = Electrochemistry, Class 12, Chemistry (IIT-JEE and AIPMT) Detailed Chapter Notes

where V = volume of liberated gas, Ve = equivalent volume of gas.

Equivalent volume may be defined as:

The volume of gas liberated by 96500 coulomb at STP.

 

(ii) Second law of electrolysis :

When same amount of charge is passed through different electrolyte solutions connected in series then weight of substances deposited or dissolved at anode or cathode are in ratio of their equivalent weights. i.e. w1/w2 = E1/E2

Question for Detailed Chapter Notes - Electrochemistry, Class 12, Chemistry (IIT-JEE and AIPMT)
Try yourself:
According to Faraday's first law of electrolysis, what is the relationship between the amount of substance deposited or liberated at an electrode and the amount of charge passed through the solution?
View Solution

Qualitativeaspects of electrolsis

In the electrolysis process we have discussed above, we have taken molten salt as electrolyte, which contains only one cation and anion. Now, if the electrolyte taken contains more than one cation and anion (for example, aqueous solution of the ionic electrolyte), then the cation and anion that will get discharged depends on the ability of cation to get reduced and the ability of anion to get oxidised.

 

The ability of an ion to get oxidised or reduced depends upon the size, mass, positive charge, negative charge etc. Thus it is not possible to predict qualitatively that which ion whould be discharged first, as one factor might enhance the ability to discharge while the other factor may hamper it. This can only be predicted on the basis of quantitative value assigned based on the cumulative effect of all the factors responsible for an ion's ability of discharge. The value is referred as standard potential, which is determined by keeping the concentration of ion as 1 M, pressure of gas at 1 atm, and the measurement done at 25ºC. For a cation, the standard reduction potential (SRP) values are compared. The cation having higher standard reduction potential value is discharged in preference to cation with lower SRP value provided the ions are at 1M concentration. For an anion, the standard oxidation potential (SOP) values are compared and anion having higher SOP is preferentially discharged, if the concentration is 1 M for each of the ion. The SRP Values at 25º C for some of the reduction half reaction are given in the table below.

  Electrochemistry, Class 12, Chemistry (IIT-JEE and AIPMT) Detailed Chapter Notes

 Electrochemistry, Class 12, Chemistry (IIT-JEE and AIPMT) Detailed Chapter Notes   Electrochemistry, Class 12, Chemistry (IIT-JEE and AIPMT) Detailed Chapter Notes

When solution of an electroyte contains more than one type of cations and anions at concentrations different than 1 M, the discharge of an ion does not depend solely on standard potentials but also depends on the concentration of ion in the solution. The value is refered as potential, called as reduction potential for cation and oxication potential for anion. The relation between reduction potential and standard reduction potential is given by N ernst equation, as

Electrochemistry, Class 12, Chemistry (IIT-JEE and AIPMT) Detailed Chapter Notes

Where ERP = Reduction potential of cation and EºRP = Standard reduction potential of cation. Thus, it is possible that a cation (A ) with lower standard reduction potential getting descharged in preference to cation (B ) having higher standard reduction potential because their concentration might be such that the reduction poetntial of A  is higher than that of B .

When two metal ions in the solution have identical values of their reduction potentials, the simultaneous deposition of both the metals will occur in the form of an alloy.

==============================================================

Conductance of Electrolytic Solutions - Surface Chemistry, CBSE, Class 12, Chemistry

Conductance 

Introduction: 

Both metallic and electrolytic conductors obey Ohm's law

i.e. V = IR

where V = Potential difference in volt; I Current in ampere ; R = resistance in Ohm

We know, resistance is directly proportinal to length of conductor and inversely proportional to cross sectional area of the conductor.

R µ Electrochemistry, Class 12, Chemistry (IIT-JEE and AIPMT) Detailed Chapter Notes or R = r Electrochemistry, Class 12, Chemistry (IIT-JEE and AIPMT) Detailed Chapter Notes ( r = specific resistance)

SPecific resistance is the resistance of a conductor having lengths of 1 cm and cross sectional area of 1 cm2.

Unit of R is ohm and unit of specific resistance is ohm cm

Reciprocal of resistance is called as conductance and reciprocal of specific resistance is called as specific conductance. 

Electrochemistry, Class 12, Chemistry (IIT-JEE and AIPMT) Detailed Chapter Notes or C = KElectrochemistry, Class 12, Chemistry (IIT-JEE and AIPMT) Detailed Chapter Notes

where C = conductance ohm-1; K = specific conductance ohm-1 cm-1.

Mho and siemens are other units of conductance.

K = Electrochemistry, Class 12, Chemistry (IIT-JEE and AIPMT) Detailed Chapter NotesC

Specific conductance = Cell constant x Conductance.

specific conductance is conductance of 1 cm3 of an electrolyte solution.

In case of electrolytic solution, the specific conductance is defined as the conductance of a solution of definite concentration enclosed in a cell having two electrodes of unit area separated by 1 cm apart.

1. Equvalent Conductance 

Equivalent conductance is the conductance of an electrolyte solution containing 1 gm equivalent of electrolyte. It is denoted by ^.

^ = K × V

( ^ = ohm-1 cm-1 × cm3 = ohm-1 cm2)

Usually concern ration of electrolyte solution is expresses as C gm equivalent per litre.

Thus, V = Electrochemistry, Class 12, Chemistry (IIT-JEE and AIPMT) Detailed Chapter Notes

{Volume having 1 gm equivalent electrolyte in the solution} Thus, ^ = K × Electrochemistry, Class 12, Chemistry (IIT-JEE and AIPMT) Detailed Chapter Notes.

 

2. Molar Conductance

Molar conductance may be defined as conductance of an elelctrolyte solution having 1 gm mole electrolyte in a litre. It is denoted by ^m.

^m = K × V

Usually concentration of electrolyte solution is expressed as 'M' gm mole elelctrolyte per litre.

Thus, V = Electrochemistry, Class 12, Chemistry (IIT-JEE and AIPMT) Detailed Chapter Notes 

Hence, ^m = K × Electrochemistry, Class 12, Chemistry (IIT-JEE and AIPMT) Detailed Chapter Notes

Relation between ^ and ^m^m = n × ^

 

Determination of ^m0 or ^0 

A plot of ^m vs as found experimentally is as shown below graphically.

Electrochemistry, Class 12, Chemistry (IIT-JEE and AIPMT) Detailed Chapter Notes

the ^m vs Electrochemistry, Class 12, Chemistry (IIT-JEE and AIPMT) Detailed Chapter Notes plot of strong elelctrolyte being linear it can be extrapolated to zero concentration.

Thus, ^m valus of the solution of the test electrolyte are determined at various concentrations the concentrations should be as low as good.

^m values are then plotted against Electrochemistry, Class 12, Chemistry (IIT-JEE and AIPMT) Detailed Chapter Notes when a straight line is obtained. This is the extrapolated to zero concentration. The point where the straight line intersects ^m axis is ^ºm of the strong elelctrolyte.

However, the plot in the case weak electrolyte being non linear, shooting up suddenly at some low concentration and assuming the shape of a straight line parallel to ^m axis. Hence extrapolation in this case is not possible. Thus, ^0 of a weak electrolyte cannot be determined experimentally. It can, however, be done with the help of Kohlrausch's law to be discussed later.

============================================================

Kohlrausch Law - Electrochemistry, Class 12, Chemistry

Kohlrausch's Law of Independent Migration of Ions 

Kohlrausch determine ^0 vaalues of pairs of some strong electrolytes containing same cation say KF and KCl, NaF and NaCl etc., and found that the difference in ^0  value in each case remains the same

^0m (KCl) - ^0m (KF) = ^0m (NaCl) - ^0m (NaF)

He also determined ^0 values of pairs of strong elelctrolytes containing same anion say KF and NaF, KCl and NaCl etc. and found that the difference in ^0 values is each case remains the same.

^0m (KF) - ^0m (NaF) = ^0m (KCl) - ^0m (NaCl)

This experimental data led him to formulate the following law called Kohlrausch's law of independent migration of ions.

At infinite dilution when dissociation is complete, every ion makes some definite contribution towards molar conductance of the electrolyte irrespective of the nature of the other ion which with it is associated and that the molar conductance at infinite dilution for any elelctrolyte is given by the sum of the contribution of the two ions. Thus,

^0m+ + λ-o

Where λ0  is the contribution of the cation  is the contribution of the anion towards the molar conductance at infinite dilution. These contributions are called molar ionic conductances at infinite dilution. Thus, λ0  is the molar ionic conductance of cation and λ-o is the molar ionic conductance of anion, at infinite dilution. The above euation is, however, correct only for binary electrolyte like NaCl, MgSO4 etc.

Question for Detailed Chapter Notes - Electrochemistry, Class 12, Chemistry (IIT-JEE and AIPMT)
Try yourself:
According to Kohlrausch's law of independent migration of ions, what is the molar conductance at infinite dilution for any electrolyte?
View Solution

Application of Kohlrausch's law : 

(1) Determination of ^0m of a weak electrolyte : In order to calculate ^0m of a weak electrolyte say CH3COOH, we determine experimentally ^0m values of the following three strong electrolytes:

 

(a) A strong electrolyte containing same cation as in the test electrolyte, say HCl

(b) A strong electrolyte containing same anion as in the test electrolyte, say CH3COONa
 

(c) A strong electrolyte containing same anion of (a) and cation of (b) i.e. NaCl.

^0m of CH3COOH is the given as:

^0m (CH3COOH) = ^0m (HCl) ^0m (CH3COONa) - ^0m (NaCl)

Proof :

^0m (HCl) = Electrochemistry, Class 12, Chemistry (IIT-JEE and AIPMT) Detailed Chapter NotesElectrochemistry, Class 12, Chemistry (IIT-JEE and AIPMT) Detailed Chapter Notes ..................(i)

^0m (CH3COONa) = Electrochemistry, Class 12, Chemistry (IIT-JEE and AIPMT) Detailed Chapter Notes Electrochemistry, Class 12, Chemistry (IIT-JEE and AIPMT) Detailed Chapter Notes ..................(ii)

^0m (NaCl) = Electrochemistry, Class 12, Chemistry (IIT-JEE and AIPMT) Detailed Chapter NotesElectrochemistry, Class 12, Chemistry (IIT-JEE and AIPMT) Detailed Chapter Notes ..................(iii)

Adding equation (i) and equation (ii) and subtracting (iii) from them:

^0m (HCl) Electrochemistry, Class 12, Chemistry (IIT-JEE and AIPMT) Detailed Chapter Notes

(2) Determination of degree of dissociation (a) :

a = Electrochemistry, Class 12, Chemistry (IIT-JEE and AIPMT) Detailed Chapter Notes

(3) Determination of solubility of sparingly soluble salt

The specific conductivity of a saturated solution of the est electrolyte (sparingly soluble) made in conductivity water is determined by the method as described above. From this the specific conductivity of conductivity water is deducted. The molar conductance of the saturated solution is taken to be euqal to ^0m as the saturated solution of a sparingly soluble salt is extremely dilute. Hence from equation (4).

^0m = Electrochemistry, Class 12, Chemistry (IIT-JEE and AIPMT) Detailed Chapter Notes

Where C is the molarity of solution and hence the solubility.

ATLaS 

 

Electrochemistry, Class 12, Chemistry (IIT-JEE and AIPMT) Detailed Chapter Notes

The document Electrochemistry, Class 12, Chemistry (IIT-JEE and AIPMT) Detailed Chapter Notes is a part of Class 12 category.
All you need of Class 12 at this link: Class 12

FAQs on Electrochemistry, Class 12, Chemistry (IIT-JEE and AIPMT) Detailed Chapter Notes

1. What is Electrochemistry?
Ans. Electrochemistry is the branch of chemistry that deals with the relationship between electrical energy and chemical reactions. It involves the study of the interchange of chemical and electrical energy, including the conversion of chemical energy into electrical energy and vice versa.
2. What are the different types of electrochemical cells?
Ans. There are two types of electrochemical cells- galvanic cells and electrolytic cells. Galvanic cells are also known as voltaic cells and are used to convert chemical energy into electrical energy. In contrast, electrolytic cells are used to convert electrical energy into chemical energy.
3. What is electrode potential?
Ans. Electrode potential is the measure of the tendency of an electrode to lose or gain electrons. It is measured in volts and is used to determine the direction of electron flow in a cell. The standard electrode potential is the electrode potential of a half-cell compared to a standard hydrogen electrode at 298K and 1 atm.
4. What is Faraday's Law of Electrolysis?
Ans. Faraday's law of electrolysis states that the amount of a substance produced during electrolysis is directly proportional to the quantity of electricity passed through the electrolyte. Mathematically, it can be expressed as the mass of the substance produced (in grams) = (current in amperes x time in seconds x atomic weight) / (number of electrons x Faraday's constant).
5. What is the Nernst equation?
Ans. The Nernst equation is used to calculate the electrode potential of a half-cell under non-standard conditions. It is expressed as E = E° - (RT/nF) ln Q, where E is the electrode potential, E° is the standard electrode potential, R is the gas constant, T is the temperature, n is the number of electrons transferred, F is Faraday's constant, and Q is the reaction quotient.
Download as PDF

Top Courses for Class 12

Related Searches

shortcuts and tricks

,

Sample Paper

,

ppt

,

Viva Questions

,

MCQs

,

Previous Year Questions with Solutions

,

Electrochemistry

,

Exam

,

Chemistry (IIT-JEE and AIPMT) Detailed Chapter Notes

,

Summary

,

mock tests for examination

,

Important questions

,

practice quizzes

,

pdf

,

Electrochemistry

,

Objective type Questions

,

Free

,

Chemistry (IIT-JEE and AIPMT) Detailed Chapter Notes

,

Chemistry (IIT-JEE and AIPMT) Detailed Chapter Notes

,

Extra Questions

,

video lectures

,

past year papers

,

Semester Notes

,

study material

,

Class 12

,

Class 12

,

Class 12

,

Electrochemistry

;