JEE Exam  >  JEE Notes  >  Mathematics (Maths) Class 12  >  Important Questions: Relations & Functions - 2

NCERT Solutions Class 11 Maths Chapter 2 - Relations and Functions

Q1: Let f : {1, 3, 4} → {1, 2, 5} and g : {1, 2, 5} → {1, 3} be given by f = {(1, 2), (3, 5), (4, 1)} and g = {(1, 3), (2, 3), (5, 1)}. Write down gof.
Ans: The functions f: {1, 3, 4} → {1, 2, 5} and g: {1, 2, 5} → {1, 3} are defined as
f = {(1, 2), (3, 5), (4, 1)} and g = {(1, 3), (2, 3), (5, 1)}.
gof(1) = g[f(1)] = g(2) = 3 , [as f(1) = 2 and g(2) = 3]
gof(3) = g[f(3)] = g(5) = 1, [as f(3) = 5 and g(5) = 1]
gof(4) = g[f(4)] = g(1) = 3 , [as f(4) = 1 and g(1) = 3]
∴ gof = {(1, 3), (3, 1), (4, 3)}

Q2: Let f, g and h be functions from R to R. Show that
(f + g)oh = foh + goh
(f.g)oh = (foh).(goh)

Ans: To prove: (f + g)oh = foh + goh
LHS = [(f + g)oh](x)
= (f + g)[h(x)]
= f [h(x)] + g[h(x)]
= (foh)(x) + (goh)(x)
= {(foh)(x) + (goh)}(x) = RHS
∴ {(f + g)oh}(x) = {(foh)(x) + (goh)}(x) for all x ∈R
Hence, (f + g)oh = foh + goh
To Prove:
(f.g)oh = (foh).(goh)
LHS = [(f.g)oh](x)
= (f.g)[h(x)]
= f[h(x)]. g[h(x)]
= (foh)(x). (goh)(x)
= {(foh).(goh)}(x) = RHS
∴ [(f.g)oh](x) = {(foh).(goh)}(x)   for all x ∈R
Hence, (f.g)oh = (foh).(goh)

Q3: Find gof  and fog, if
(i) f(x) = |x| and g(x) = |5x - 2|
(ii) f(x) = 8x3 and g(x) = x1/3
Ans:
(i) f(x) = |x| and g(x) = |5x - 2|
∴ gof(x) = g(f(x)) = g(|x|) = |5|x| - 2|
fog(x) = f(g(x)) = f(|5x-2|) = ||5x - 2|| = |5x - 2|
(ii) f(x) = 8x3 and g(x) = x1/3
∴ gof(x) = g(f(x)) = g(8x3) = (8x3)1/3 = 2x
fog(x) = f(g(x)) = f(x1/3) = 8(x1/3)3 = 8x

Q4: If  f(x) = (4x+3)/(6x-4), x ≠ 2/3, show that fof(x) = x, for all  x ≠ 2/3. What is the inverse of f?
Ans: It is given that f(x) = (4x+3)/(6x-4), x ≠ 2/3

NCERT Solutions Class 11 Maths Chapter 2 - Relations and Functions

NCERT Solutions Class 11 Maths Chapter 2 - Relations and Functions
NCERT Solutions Class 11 Maths Chapter 2 - Relations and Functions
⇒ fo f = Ix
Hence, the given function f is invertible and the inverse of f is f itself.

Q5: State with reason whether following functions have inverse
(i) f : {1, 2, 3, 4} → {10} with f = {(1, 10), (2, 10), (3, 10), (4, 10)}
(ii) g: {5, 6, 7, 8} → {1, 2, 3, 4} with g = {(5, 4), (6, 3), (7, 4), (8, 2)}
(iii) h: {2, 3, 4, 5} → {7, 9, 11, 13} with h = {(2, 7), (3, 9), (4, 11), (5, 13)}

Ans: (i) f: {1, 2, 3, 4} → {10} defined as f = {(1, 10), (2, 10), (3, 10), (4, 10)}
From the given definition of f, we can see that f is a many one function as
f(1) = f(2) = f(3) = f(4) = 10
∴ f is not one – one.
Hence, function f does not have an inverse.

(ii) g: {5, 6, 7, 8} → {1, 2, 3, 4} defined as
g = {(5, 4), (6, 3), (7, 4), (8, 2)}
From the given definition of g, it is seen that g is a many one function as
g(5) = g(7) = 4.
∴ g is not one – one.
Hence, function g does not have an inverse.

(iii) h: {2, 3, 4, 5} → {7, 9, 11, 13} defined as
h = {(2, 7), (3, 9), (4, 11), (5, 13)}
It is seen that all distinct elements of the set {2, 3, 4, 5} have distinct images under h.
∴ Function h is one – one.
Also, h is onto since for every element y of the set {7, 9, 11, 13}, there exists an element x in the set {2, 3, 4, 5}, such that h(x) = y.
Thus, h is a one – one and onto function.
Hence, h has an inverse.

Q6: Show that f: [−1, 1] → R, given by f(x) = x/x + 2 is one – one. Find the inverse of the function f: [−1, 1] → Range f.
(Hint: For y ∈ Range f, y = 
f(x) = x/x + 2), for some x in [−1, 1], i.e., 
NCERT Solutions Class 11 Maths Chapter 2 - Relations and Functions
Ans:
f : [−1, 1] → R is given as f(x) = x/x + 2
For one – one
Let f(x) = f(y)
⇒ x/x + 2 = y/y + 2
⇒ xy + 2x = xy + 2y
⇒ 2x = 2y
⇒ x = y
∴ f is a one – one function.
It is clear that f: [−1, 1] → Range f is onto.
∴ f: [−1, 1] → Range f is one – one and onto and therefore, the inverse of the function f: [−1, 1] → Range f exists.
Let g: Range f → [−1, 1] be the inverse of f.
Let y be an arbitrary element of range f.
Since f: [−1, 1] → Range f is onto, we have
y = f(x) for some x ∈ [−1, 1]
⇒ y = xx + 2
⇒ xy + 2y = x
⇒ x(1 - y) = 2y
⇒ x = 2y/1 - y, y≠1
Now, let us define g: Range f → [−1, 1] as
g(y) = 2y/1 - y, y ≠ 1
Now,
NCERT Solutions Class 11 Maths Chapter 2 - Relations and Functions 

   NCERT Solutions Class 11 Maths Chapter 2 - Relations and Functions
NCERT Solutions Class 11 Maths Chapter 2 - Relations and Functions

NCERT Solutions Class 11 Maths Chapter 2 - Relations and Functions
∴ gof = x = I[-1, 1] and fog = y = IRange f
∴ f-1 = g
⇒ f-1(y) = 2y/1 - y, y ≠ 1

Q7: Consider f: R → R given by f(x) = 4x + 3. Show that f is invertible. Find the inverse of f.
Ans:
f: R → R is given by, f(x) = 4x + 3
For one – one
Let f(x) = f(y)
⇒ 4x + 3 = 4y + 3
⇒ 4x = 4y
⇒ x = y
∴ f is a one – one function.
For onto
For y ∈ R, let y = 4x + 3.
⇒ x = y - 3/4 ∈ R
Therefore, for any y ∈ R, there exists x = y - 34 ∈ R, such that
f(x) = f(y - 3/4) = 4(y - 3/4) + 3 = y.
∴ f is onto.
Thus, f is one – one and onto and therefore, f −1 exists.
Let us define g: R → R by g(x) = y-3/4
Now, (gof)(x) = g(f(x)) = g(4x + 3) = (4x + 3) - 3/4 = 4x/4 = x
and (fog)(y) = f(g(y)) = f(y - 3/4) = 4(y - 3/4) + 3 = y - 3 + 3 = y
∴ gof = fog = IR
Hence, f is invertible and the inverse of f is given by f - 1(y) = g(y) = y - 34.

Q8: Consider f: R+ → [4, ∞] given by f(x) = x2 + 4. Show that f is invertible with the inverse f−1 of given f by f−1(y) = √y − 4, where R+ is the set of all non-negative real numbers.
Ans: f : R+ → [4, ∞] is given as f(x) = x2 + 4.
For one – one
Let f(x) = f(y)
⇒ x2+4 = y2+4
⇒ x2 = y2
⇒ x = y [x = y, ∈ R+]
∴ f is a one – one function.
For onto For y ∈ [4, ∞), let y = x2 + 4
⇒ x2 = y − 4 ≥ 0 [as y ≥ 4]
⇒ x = √y - 4 ≥ 0
Therefore, for any y ∈ [4, ∞], there exists x = √y - 4 ∈ R+, such that f(x) = f(√y - 4) = (√y - 4)2 + 4 = y - 4 + 4 = y
∴ f is onto.
Thus, f is one – one and onto and therefore, f −1 exists.
Let us define g: [4, ∞] → R+ by g(y) = √y - 4
Now, (gof)(x) = g(f(x)) = g(x+ 4) = √(x+ 4) - 4 = √x2 = x
and (fog)(y) = f(g(y)) = f(√y - 4) = (√y - 4)2 + 4 = y - 4 + 4 = y
∴ gof = fog = IR
Hence, f is invertible and the inverse of f is given by f - 1(y) = g(y) = √y − 4

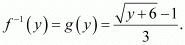
Q9: Consider f: R+ → [−5, ∞] given by f(x) = 9x+ 6x − 5. Show that f is invertible with
NCERT Solutions Class 11 Maths Chapter 2 - Relations and Functions.
Ans: f: R+ → [−5, ∞] is given as f(x) = 9x2 + 6x − 5.
Let y be an arbitrary element of [−5, ∞).
Let y  = 9x2 + 6x − 5.
⇒ y = (3x + 1)2 - 1 -5 = (3x + 1)2 - 6
⇒ (3x + 1)2 = y + 6
NCERT Solutions Class 11 Maths Chapter 2 - Relations and Functions
∴ f is onto, thereby range f  = [−5, ∞).
NCERT Solutions Class 11 Maths Chapter 2 - Relations and Functions
We now have:
(gof) (x) = g (f(x)) = g(9x2 + 6x - 5)
= g ((3x + 1)2 - 6)
NCERT Solutions Class 11 Maths Chapter 2 - Relations and Functions
NCERT Solutions Class 11 Maths Chapter 2 - Relations and Functions
NCERT Solutions Class 11 Maths Chapter 2 - Relations and Functions
∴ gof = IR. and fo g = I[-5, ∞)
Hence, f is invertible and the inverse of f is given by

NCERT Solutions Class 11 Maths Chapter 2 - Relations and Functions

Q10: Let f: X → Y be an invertible function. Show that f has unique inverse.
(Hint: suppose g1 and g2 are two inverses of f. Then for all y ∈ Y, fog1(y) = IY(y) =  fog2(y). Use one-one ness of f).
Ans: Let f: X → Y be an invertible function.
Also, suppose f has two inverses (say g1 and g2).
Then, for all y ∈ Y, we have:
fog1(y) = Iy (y) = fog2 (y)
⇒ f(g1(y)) = f(g2(y))
⇒ g1(y) = g2(y) [ f is invertible ⇒ f is one-one]
⇒ g1 = g[g is one-one]
Hence, f has a unique inverse.

Q11:  Consider f: {1, 2, 3} → {a, b, c} given by f(1) = a, f(2) = b and f(3) =  c. Find f−1 and show that (f−1)−1  = f.
Ans: Function f: {1, 2, 3} → {a, b, c} is given by,
f(1) =  a, f(2) =  b, and f(3) =  c
If we define g: {a, b, c} → {1, 2, 3} as g(a) = 1, g(b) = 2, g(c) = 3, then we have:
(fog)(a) = f (g(a)) = f(1) = a
(fog)(b) = f(g(b)) = f(2) = b
(fog)(c) = f (g(c)) = f(3) = c
And,
(gof)(1) = g(f(1)) = g(a)=l
(gof)(2) = g(f(2)) = g(b) = 2
(gof) (3) = g (f (3)) = g(c) = 3
∴ gof = Ix and fog = Iy, where X = {1, 2, 3} and Y = {a, b, c}.
Thus, the inverse of f exists and f−1  =  g.
∴ f−1 : {a, b, c} → {1, 2, 3} is given by,
f−1(a) = 1, f−1(b) = 2, f-1(c) = 3
Let us now find the inverse of f−1 i.e., find the inverse of g.
If we define h: {1, 2, 3} → {a, b, c} as
h(1) =  a, h(2) =  b, h(3) =  c, then we have:
(goh)(1) = g(h(1)) = g(a) = 1
(goh)(2) = g(h(2)) = g(b) = 2
(goh) (3) = g (h(3)) = g(c) = 3
And,
(hog)(a) = h(g(a)) = h(1) = a
(hog)(b) = h(g(b)) = h(2) = b
(hog)(c) = h (g(c)) = h(3) = c
∴ goh = Ix and hog = Iy, where X  = {1, 2, 3} and Y = {a, b, c}.
Thus, the inverse of g exists and g−1 = h ⇒ (f−1)−1 = h.
It can be noted that h  =  f.
Hence, (f−1)−1  =  f.

Q12: Let f: X → Y be an invertible function. Show that the inverse of f−1 is f, i.e., (f−1)−1  =  f.
Ans: Let f: X → Y be an invertible function.
Then, there exists a function g: Y → X such that gof  = Iand fog  = IY.
Here, f−1  =  g.
Now, gof  = Iand fog  = IY
⇒ f−1of  = Iand fof−1 = IY
Hence, f−1: Y → X is invertible and f is the inverse of f−1
i.e., (f−1)−1  =  f.

Q13: If f : be given by f(x) = (3 - x3)1/3, then fof(x) is
(a) 1/x3 
(b) x3 
(c) x
(d) (3 − x3)

Ans: (c)
Solution: f: RR is given as f(x) = (3 - x3)1/3.
f(x) = (3 - x3)1/3 
∴ fof (x) = f (f(x)) = f((3 - x3)1/3) = [3 - ((3 - x3)1/3)3]1/3 
= [3 - (3 - x3)]1/3 = (x3)1/3 = x
∴ fof (x) = x

Q14: 
NCERT Solutions Class 11 Maths Chapter 2 - Relations and Functions
be a function defined as f(x) = 4x/(3x+4). The inverse of f is map g: Range
NCERT Solutions Class 11 Maths Chapter 2 - Relations and Functions
NCERT Solutions Class 11 Maths Chapter 2 - Relations and Functions
Ans: (b)
Solution:
 It is given that
NCERT Solutions Class 11 Maths Chapter 2 - Relations and Functions
Let y be an arbitrary element of Range f.
NCERT Solutions Class 11 Maths Chapter 2 - Relations and Functions

NCERT Solutions Class 11 Maths Chapter 2 - Relations and Functions
NCERT Solutions Class 11 Maths Chapter 2 - Relations and Functions

NCERT Solutions Class 11 Maths Chapter 2 - Relations and Functions
NCERT Solutions Class 11 Maths Chapter 2 - Relations and Functions
NCERT Solutions Class 11 Maths Chapter 2 - Relations and Functions

NCERT Solutions Class 11 Maths Chapter 2 - Relations and Functions
Thus, g is the inverse of f i.e., f−1  =  g.
Hence, the inverse of f is the map g:
NCERT Solutions Class 11 Maths Chapter 2 - Relations and Functions

Q15: Determine whether or not each of the definition of given below gives a binary operation.
In the event that * is not a binary operation, give justification for this.
(i) On Z+, define * by a * b = a − b
(ii) On Z+, define * by a * b = ab
(iii) On R, define * by a * b = ab2
(iv) On Z+, define * by a * b = |a − b|
(v) On Z+, define * by a * b = a 

Ans: (i) On Z+, * is defined by a * b = a − b.
It is not a binary operation
as the image of (1, 2) under * is 1 * 2 = 1 − 2 = −1 ∉ Z+

(ii) On Z+, * is defined by a * b = ab.
It is seen that for each a, b ∈ Z+, there is a unique element ab in Z+.
This means that * carries each pair (a, b) to a unique element a * b = ab in Z+.
Therefore, * is a binary operation.

(iii) On R, * is defined by a * b = ab2.
It is seen that for each a, b ∈ R, there is a unique element ab2 in R.
This means that * carries each pair (a, b) to a unique element a * b = ab2 in R.
Therefore, * is a binary operation. www

(iv) On Z+, * is defined by a * b = |a − b|.
It is seen that for each a, b ∈ Z+, there is a unique element |a − b| in Z+.
This means that * carries each pair (a, b) to a unique element a * b = |a − b| in Z+.
Therefore, * is a binary operation. www

(v) On Z+, * is defined by a * b = a.
It is seen that for each a, b ∈ Z+, there is a unique element a in Z+.
This means that * carries each pair (a, b) to a unique element a * b = a in Z+.
Therefore, * is a binary operation.

Q16: For each binary operation * defined below, determine whether * is commutative or associative.
(i) On Z, define a * b = a − b
(ii) On Q, define a * b = ab + 1
(iii) On Q, define a * b = ab/2

(iv) On Z+, define a * b = 2ab
(v) On Z+, define a * b = a
(vi) On R − {−1}, define ??∗?? = a/b +1

Ans:
(i) On Z, * is defined by a * b = a − b.
It can be observed that 1 * 2 = 1 − 2 = −1 and 2 * 1 = 2 − 1 = 1.
∴ 1 * 2 ≠ 2 * 1, where 1, 2 ∈ Z
Hence, the operation * is not commutative.
Also, we have
(1 * 2) * 3 = (1 − 2) * 3 = −1 * 3 = −1 − 3 = −4
1 * (2 * 3) = 1 * (2 − 3) = 1 * −1 = 1 − (−1) = 2
∴ (1 * 2) * 3 ≠ 1 * (2 * 3), where 1, 2, 3 ∈ Z
Hence, the operation * is not associative.

(ii) On Q, * is defined by a * b = ab + 1.
It is known that: ab = ba for all a, b ∈ Q
⇒ ab + 1 = ba + 1 for all a, b ∈ Q
⇒ a * b = a * b for all a, b ∈ Q
Therefore, the operation * is commutative.
It can be observed that
(1 * 2) * 3 = (1 × 2 + 1) * 3 = 3 * 3 = 3 × 3 + 1 = 10
1 * (2 * 3) = 1 * (2 × 3 + 1) = 1 * 7 = 1 × 7 + 1 = 8
∴ (1 * 2) * 3 ≠ 1 * (2 * 3), where 1, 2, 3 ∈ Q
Therefore, the operation * is not associative.

(iii) On Q, * is defined by a * b = ab/2
It is known that: ab = ba for all a, b ∈ Q
⇒ ab/2 = ba/2 for all a, b ∈ Q
⇒ a b = b a for all a, b ∈ Q
Therefore, the operation is commutative.
For all a, b, c ∈ Q, we have

NCERT Solutions Class 11 Maths Chapter 2 - Relations and Functions

NCERT Solutions Class 11 Maths Chapter 2 - Relations and Functions

∴ (a * b)*c = a*(b * c), where a,b,c ∈ Q
Therefore, the operation * is associative

(iv) On Z+, * is defined by a * b = 2ab.
It is known that: ab = ba for all a, b ∈ Z+
⇒ 2ab = 2ba for all a, b ∈ Z+
⇒ a * b = b * a for all a, b ∈ Z+
Therefore, the operation * is commutative.
It can be observed that
(1 ∗ 2) ∗ 3=21×2 ∗ 3 = 4 ∗ 3 = 24×3 = 212 and
1 ∗ (2 ∗ 3) = 1 ∗ 22×3 = 1 ∗ 2= 1 ∗ 64 = 21×64 = 264
∴ (1 * 2) * 3 ≠ 1 * (2 * 3), where 1, 2, 3 ∈ Z
Therefore, the operation * is not associative.
(v) On Z+, * is defined by a * b = ab.
It can be observed that
1 * 2 = 12 = 1 and 2 * 1 = 21 = 2
∴ 1 * 2 ≠ 2 * 1. where 1 .2 ∈ Z+
Therefore, the operation * is not commutative.
It can also be observed that
(2 * 3 ) * 4 = 23 * 4 = 8 * 4 = 84 = 212
and 2 * (3 * 4) = 2 * 34 = 2 * 81 = 281
∴ (2 * 3) * 4 ≠ 2 * (3 * 4), where 2, 3, 4 ∈ Z+
Therefore, the operation * is not associative.
(vi) On R, * − {−1} is defined by ??∗??= a/b + 1
It can be observed that
Therefore, the operation * is not commutative.
It can also be observed that

NCERT Solutions Class 11 Maths Chapter 2 - Relations and Functions
NCERT Solutions Class 11 Maths Chapter 2 - Relations and Functions
∴ (1 * 2) * 3 ≠ 1 * (2 * 3), where 1, 2, 3 ∈ R − {−1} Therefore, the operation * is not associative.

Q17: Consider the binary operation ∧ on the set {1, 2, 3, 4, 5} defined by a ∧ b = min {a, b}. Write the operation table of the operation ∧.
Ans. The binary operation ∧ on the set {1, 2, 3, 4, 5} is defined as a ∧ b = min {a, b} for all a, b ∈ {1, 2, 3, 4, 5}. Thus, the operation table for the given operation ∧ can be given as:

1

2

3

4

5

1

1

1

1

1

1

2

1

2

2

2

2

3

1

2

3

3

3

4

1

2

3

4

4

5

1

2

3

4

5

 

Q18: Consider a binary operation * on the set {1, 2, 3, 4, 5} given by the following multiplication table.
(i) Compute (2 * 3) * 4 and 2 * (3 * 4)
(ii) Is * commutative?
(iii) Compute (2 * 3) * (4 * 5).
(Hint : use the following table) 

*

1

2

3

4

5

1

1

1

1

1

1

2

1

2

1

2

1

3

1

1

3

1

1

4

1

2

1

4

1

5

1

1

1

1

5

Ans: (i) (2 * 3) * 4 = 1 * 4 = 1
2 * (3 * 4) = 2 * 1 = 1

(ii) For every a, b ∈ {1, 2, 3, 4, 5}, we have a * b = b * a. Therefore, the operation*is commutative.

(iii) (2 * 3) = 1 and (4 * 5) = 1
∴ (2 * 3) * (4 * 5) = 1 * 1 = 1

Q19: Let *′ be the binary operation on the set {1, 2, 3, 4, 5} defined by a *′ b = H.C.F. of a and b. Is the operation *′ same as the operation * defined in Exercise 4 above? Justify your answer.
Ans: The binary operation *′ on the set {1, 2, 3 4, 5} is defined as a *′ b = H.C.F of a and b.
The operation table for the operation *′ can be given as:

*'

1

2

3

4

5

1

1

1

1

1

1

2

1

2

1

2

1

3

1

1

3

1

1

4

1

2

1

4

1

5

1

1

1

1

5

We observe that the operation tables for the operations * and *′ are the same.
Thus, the operation *′ is same as the operation*.

Q20: Let * be the binary operation on N given by a * b = L.C.M. of a and b. Find
(i) 5 * 7, 20 * 16
(ii) Is * commutative?
(iii) Is * associative?
(iv) Find the identity of * in N
(v) Which elements of N are invertible for the operation *?

Ans: The binary operation * on N is defined as a * b = L.C.M. of a and b.
(i) 5 * 7 = L.C.M. of 5 and 7 = 35
20 * 16 = L.C.M of 20 and 16 = 80

(ii) It is known that
L.C.M of a and b = L.C.M of b and a for all a, b ∈ N.
∴ a * b = b * a
Thus, the operation * is commutative.

(iii) For a, b, c ∈ N, we have
(a * b) * c = (L.C.M of a and b) * c = LCM of a, b, and c
a * (b * c) = a * (LCM of b and c) = L.C.M of a, b, and c
∴ (a * b) * c = a * (b * c)
Thus, the operation * is associative.

(iv) It is known that:
L.C.M. of a and 1 = a = L.C.M. 1 and a for all a ∈ N
⇒ a * 1 = a = 1 * a for all a ∈ N
Thus, 1 is the identity of * in N.

(v) An element a in N is invertible with respect to the operation * if there exists an element b in N, such that a * b = e = b * a.
Here, e = 1
This means that L.C.M of a and b = 1 = L.C.M of b and a
This case is possible only when a and b are equal to 1.
Thus, 1 is the only invertible element of N with respect to the operation *.

Q21: Is * defined on the set {1, 2, 3, 4, 5} by a * b = L.C.M. of a and b a binary operation? Justify your answer. 
Ans: The operation * on the set A = {1, 2, 3, 4, 5} is defined as a * b = L.C.M. of a and b.
Then, the operation table for the given operation * can be given as:

*

1

2

3

4

5

1

1

2

3

4

5

2

2

2

6

4

10

3

3

6

3

12

15

4

4

4

12

4

20

5

5

10

15

20

5

It can be observed from the obtained table that
3 * 2 = 2 * 3 = 6 ∉ A,
5 * 2 = 2 * 5 = 10 ∉ A,
3 * 4 = 4 * 3 = 12 ∉ A,
3 * 5 = 5 * 3 = 15 ∉ A,
4 * 5 = 5 * 4 = 20 ∉A
Hence, the given operation * is not a binary operation.

Q22: Let * be the binary operation on N defined by a * b = H.C.F. of a and b. Is * commutative? Is * associative? Does there exist identity for this binary operation on N? 
Ans: The binary operation * on N is defined as: a * b = H.C.F. of a and b It is known that H.C.F. of a and b = H.C.F. of b and a for all a, b ∈ N.
∴ a * b = b * a
Thus, the operation * is commutative.
For a, b, c ∈ N, we have
(a * b)* c = (H.C.F. of a and b) * c = H.C.F. of a, b and c
a *(b * c) = a *(H.C.F. of b and c) = H.C.F. of a, b, and c
∴ (a * b) * c = a * (b * c)
Thus, the operation * is associative.
Now, an element e ∈ N will be the identity for the operation * if a * e = a = e* a for all a ∈ N.
But this relation is not true for any a ∈ N.
Thus, the operation * does not have any identity in N.

Q23: Let * be a binary operation on the set Q of rational numbers as follows:
(i) a * b = a − b
(ii) a * b = a2 + b2
(iii) a * b = a + ab
(iv) a * b = (a − b)2
(v) a * b= ab/4

(vi) a * b = ab2
Find which of the binary operations are commutative and which are associative.

Ans: (i) On Q, the operation * is defined as a * b = a − b. It can be observed that:

NCERT Solutions Class 11 Maths Chapter 2 - Relations and Functions
NCERT Solutions Class 11 Maths Chapter 2 - Relations and Functions

NCERT Solutions Class 11 Maths Chapter 2 - Relations and Functions
Thus, the operation * is not commutative. It can also be observed that 

NCERT Solutions Class 11 Maths Chapter 2 - Relations and Functions

NCERT Solutions Class 11 Maths Chapter 2 - Relations and Functions

NCERT Solutions Class 11 Maths Chapter 2 - Relations and Functions

NCERT Solutions Class 11 Maths Chapter 2 - Relations and Functions
NCERT Solutions Class 11 Maths Chapter 2 - Relations and Functions
Thus the operation * is not associative.

(ii) On Q, the operation * is defined as a * b = a2 + b2.
For a, b ∈ Q. we have
a * b = a+ b2 = b2 + a2 = b * a
∴ a * b = b * a
Thus, the operation * is commutative.
It can be observed that
(1 * 2) * 3 = (12 + 22) * 3 = (1 + 4) * 3 = 5 * 3 = 52 + 32 = 34 and
1 * ( 2 * 3 ) = 1 * (22 + 32 ) = 1 * (4 + 9) = 1 * 13 = 12 + 132 =170
∴ (1 * 2) * 3 ≠ 1 * (2 * 3), where 1, 2, 3 ∈ Q
Thus, the operation * is not associative.

(iii) On Q, the operation * is defined as a * b = a + ab.
It can be observed that
1 * 2 = 1 + 1 × 2 = 1 + 2 = 3
2 * 1 = 2 + 2 × 1 = 2 + 2 = 4
∴ 1 * 2 ≠ 2 * 1, where 1, 2 ∈ Q
Thus, the operation * is not commutative.
It can also be observed that
(1 * 2) * 3 = (1 + 1 × 2) * 3 = (1 + 2) * 3 = 3 * 3 = 3 + 3 × 3 = 3 + 9 = 12 and
1 * (2 * 3) = 1 * (2 + 2 × 3) = 1 * (2 + 6) = 1 * 8 = 1 + 1 × 8 =1 + 8 = 9
∴ (1 * 2) * 3 ≠ 1 * (2 * 3), where 1, 2, 3 ∈ Q
Thus, the operation * is not associative.

(iv) On Q, the operation * is defined by a * b = (a − b)2.
For a, b ∈ Q, we have
a * b = (a - b)2 
b * a = (b - a)2 = [- (a - b)] 2 = (a - b)2 
∴ a* b = b* a
Thus, the operation * is commutative.
It can be observed that
(1 * 2) * 3 = (1 - 2)2 * 3 = ( - 1) 2 * 3 = 1 * 3 = (1 - 3)2 = (- 2)2
and 1 * (2 * 3) = 1 * (2 - 3)2 = 1 * (- 1)2 = 1 * 1 = (1 - 1)2 = 0
∴ (1 * 2) * 3 ≠ 1 * (2 * 3), where 1, 2, 3 ∈ Q
Thus, the operation * is not associative.

(v) On Q, the operation * is defined as a * b = ab/4
For a, b ∈ Q, we have
a * b = ab/4 = ba/4 =  b * a
∴ a * b = b * a
Thus, the operation * is commutative.
For a, b, c ∈ Q, we have

NCERT Solutions Class 11 Maths Chapter 2 - Relations and Functions

NCERT Solutions Class 11 Maths Chapter 2 - Relations and Functions
∴ (a * b) * c = a * (b * c), where a, b, c ∈ Q
Thus, the operation * is associative.

(vi) On Q, the operation * is defined as a * b = ab2
It can be observed that
NCERT Solutions Class 11 Maths Chapter 2 - Relations and Functions
Thus, the operation * is not commutative.
It can also be observed that

NCERT Solutions Class 11 Maths Chapter 2 - Relations and Functions

NCERT Solutions Class 11 Maths Chapter 2 - Relations and Functions
NCERT Solutions Class 11 Maths Chapter 2 - Relations and Functions
Thus, the operation * is not associative.
Hence, the operations defined in (ii), (iv), (v) are commutative and the operation defined in (v) is associative.

Q24: Find which of the operations given above has identity.  
Ans: An element e ∈ Q will be the identity element for the operation *
if a * e = a = e * a, for all a ∈ Q.
However, there is no such element e ∈ Q with respect to each of the six operations satisfying the above condition.
Thus, none of the six operations has identity.

Q25: Let A = N × N and * be the binary operation on A defined by (a, b) * (c, d) = (a + c, b + d) Show that * is commutative and associative. Find the identity element for * on A, if any. 
Ans: A = N × N and * is a binary operation on A and is defined by (a, b) * (c, d) = (a + c, b + d)
Let (a, b), (c, d) ∈ A
Then, a, b, c, d ∈ N
We have:
(a, b) * (c, d) = (a + c, b + d)
(c, d) * (a, b) = (c + a, d + b) = (a + c, b + d)
[Addition is commutative in the set of natural numbers]
∴ (a, b) * (c, d) = (c, d) * (a, b)
Therefore, the operation * is commutative.
Now, let (a, b), (c, d), (e, f) ∈ A
Then, a, b, c, d, e, f ∈ N
We have
[(a, b) ∗ (c, d)] ∗ (e, f) = (a + c, b + d) ∗ (e, f) = (a + c + e, b + d + f)
and (a, b) ∗ (c, d)] ∗ (e, f) ] =  (a + c + e, b + d + f)
∴ [(a, b) ∗ (c, d)] ∗ (e, f) = (a, b) ∗ [(c, d) ∗ (e, f)]
Therefore, the operation * is associative.
Let an element e=(e1, e2)∈ A will be an identity element for the operation *
if a * e = a = e * a for all a=(a1, a2)∈ A
i.e.,(a1 + e1, a2 + e2) = (a1, a2) = (e1 + a1, e2 + a2)
Which is not true for any element in A.
Therefore, the operation * does not have any identity element.

Q26: State whether the following statements are true or false. Justify.
(i) For an arbitrary binary operation * on a set N, a * a = a ∀ a ∈ N.
(ii) If * is a commutative binary operation on N, then a * (b * c) = (c * b) * a
Ans:
(i) Define an operation * on N as a * b = a + b ∀ a, b ∈ N
Then, in particular, for b = a = 3, we have
3 * 3 = 3 + 3 = 6 ≠ 3
Therefore, statement (i) is false.

(ii) R.H.S. = (c * b) * a
= (b * c) * a   [* is commutative]
= a * (b * c) [Again, as * is commutative]
= L.H.S.
∴ a * (b * c) = (c * b) * a
Therefore, statement (ii) is true.

Q27: Consider a binary operation * on N defined as a * b = a3 + b3. Choose the correct answer.
(a) Is * both associative and commutative?
(b) Is * commutative but not associative?
(c) Is * associative but not commutative?
(d) Is * neither commutative nor associative?

Ans: (b)
Solution: On N, the operation * is defined as a * b = a3 + b3.
For, a, b, ∈ N, we have
a * b = a3 + b3 = b3 + a3 = b * a [Addition is commutative in N]
Therefore, the operation * is commutative.
It can be observed that
(1 * 2) * 3 = (13 + 23) * 3 = (1 + 8) * 3 = 9 * 3 = 93 + 33 = 729 + 27 = 756
and 1* (2 * 3) = 1 * (23 + 33) = 1* (8 + 27) = 1 * 35 = 13 + 353 = 1 + 42875 = 42876
∴ (1 * 2) * 3 ≠ 1 * (2 * 3), where 1, 2, 3 ∈ N
Therefore, the operation * is not associative.
Hence, the operation * is commutative, but not associative.

The document NCERT Solutions Class 11 Maths Chapter 2 - Relations and Functions is a part of the JEE Course Mathematics (Maths) Class 12.
All you need of JEE at this link: JEE
223 videos|377 docs|167 tests

FAQs on NCERT Solutions Class 11 Maths Chapter 2 - Relations and Functions

1. What is the difference between a relation and a function?
Ans. A relation is a set of ordered pairs where the input values are related to output values. A function is a specific type of relation where each input value is related to exactly one output value.
2. How can you determine if a relation is a function?
Ans. To determine if a relation is a function, you can use the vertical line test. If a vertical line intersects the graph of the relation at more than one point, then the relation is not a function.
3. What is the domain of a function?
Ans. The domain of a function is the set of all possible input values (x-values) for which the function is defined. It is the set of all x-values that make the function output a real number.
4. How do you find the range of a function?
Ans. The range of a function is the set of all possible output values (y-values) that the function can produce. To find the range, you can analyze the behavior of the function and determine the set of y-values that it can reach.
5. What is the importance of relations and functions in mathematics?
Ans. Relations and functions are fundamental concepts in mathematics that help us understand how elements in one set are related to elements in another set. They are used to model real-world situations, analyze data, and solve problems in various fields such as science, engineering, and economics.
Related Searches

Sample Paper

,

Viva Questions

,

Extra Questions

,

NCERT Solutions Class 11 Maths Chapter 2 - Relations and Functions

,

study material

,

Semester Notes

,

past year papers

,

Objective type Questions

,

practice quizzes

,

NCERT Solutions Class 11 Maths Chapter 2 - Relations and Functions

,

shortcuts and tricks

,

ppt

,

NCERT Solutions Class 11 Maths Chapter 2 - Relations and Functions

,

mock tests for examination

,

Free

,

pdf

,

Summary

,

Exam

,

MCQs

,

Important questions

,

video lectures

,

Previous Year Questions with Solutions

;