Computer Science Engineering (CSE) Exam  >  Computer Science Engineering (CSE) Notes  >  Chapter-Development of EDM, PPT, Semester, Engineering

Chapter-Development of EDM, PPT, Semester, Engineering - Computer Science Engineering (CSE) PDF Download

Development of Empirical Dynamic Models from Step Response Data

Black box models

  • step response easiest to use but may upset the plant manager (size of input change? move to new steady-state?)
  • other methods
    • impulse - dye injection, tracer
    • random - PRBS (pseudo random binary sequences)
    • sinusoidal - theoretical approach
    • frequency response - modest usage (incl. pulse testing)
    • on-line (under FB control)

Development of Empirical Dynamic  Models from Step Response Data---------------Next Slide

 

Some processes too complicated to model using physical principles

  •  material, energy balances
  •  thermodynamics
  •  physical properties (often unknown)
  •  flow dynamics

Example 1: distillation column

50 plates

  • For a 50 plate column, dynamic models have many ODEs that require model simplification;  and physical properties must  be known; e.g., HYSYS
  • black box models (only good for fixed operating conditions) but requires operating plant (actual data)
  • theoretical models must be used prior to plant construction or for new process chemistry

 

Development of Empirical Dynamic  Models from Step Response Data---------------Next Slide

 

Chapter-Development of EDM, PPT, Semester, Engineering - Computer Science Engineering (CSE)

  • Need to minimize disturbances during a plant test

 

Development of Empirical Dynamic  Models from Step Response Data---------------Next Slide

 

Simple Process Models

Chapter-Development of EDM, PPT, Semester, Engineering - Computer Science Engineering (CSE)

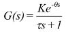
1st order system with gain K, dead time  θ and time constant τ; 3 parameters to be fitted.

Step response:

Chapter-Development of EDM, PPT, Semester, Engineering - Computer Science Engineering (CSE)

 

Development of Empirical Dynamic  Models from Step Response Data---------------Next Slide

 

For a 1st order model, we note the following characteristics (step response)

(1)  The response attains 63.2% of its final response at one time constant (t = τ+θ ).

(2)  The line drawn tangent to the response at maximum slope (t = θ) intersects the 100% 

line at (t = τ+θ ). [see Fig. 7.2]

K is found from the steady state response for an input change magnitude M.

There are 4 generally accepted graphical techniques for determining first order system parameters τ, θ:

  1. 63.2% response

  2. point of inflection

  3. S&K method

  4. semilog plot  Chapter-Development of EDM, PPT, Semester, Engineering - Computer Science Engineering (CSE)

 

Development of Empirical Dynamic  Models from Step Response Data---------------Next Slide

 

Chapter-Development of EDM, PPT, Semester, Engineering - Computer Science Engineering (CSE)

 

Development of Empirical Dynamic  Models from Step Response Data---------------Next Slide

Chapter-Development of EDM, PPT, Semester, Engineering - Computer Science Engineering (CSE)

Inflection point hard to find with noisy data.

Development of Empirical Dynamic  Models from Step Response Data---------------Next Slide

 

S & K Method for Fitting FOPTD Model

  • Normalize step response

(t = 0, y = 0; t →∞, y = 1)

  • Use 35 and 85% response times (t1 and t2)

θ = 1.3 t1 – 0.29 t2

τ = 0.67 (t2 – t1)

(based on analyzing many step responses)

K found from steady state response

  • Alternatively, use Excel Solver to fit θ and τ using y (t) = K [1– e –(t-θ)/τ] and data of y vs. t

Development of Empirical Dynamic  Models from Step Response Data---------------Next Slide

 

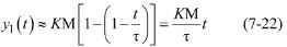
Fitting an Integrator Model to Step Response Data

In Chapter 5 we considered the response of a first-order process to a step change in input of magnitude M:

Chapter-Development of EDM, PPT, Semester, Engineering - Computer Science Engineering (CSE)

For short times, t < τ, the exponential term can be approximated by

Chapter-Development of EDM, PPT, Semester, Engineering - Computer Science Engineering (CSE)

so that the approximate response is:

Chapter-Development of EDM, PPT, Semester, Engineering - Computer Science Engineering (CSE)

(straight line with slope of y1(t=0))

 

Development of Empirical Dynamic  Models from Step Response Data---------------Next Slide

 

is virtually indistinguishable from the step response of the integrating element

Chapter-Development of EDM, PPT, Semester, Engineering - Computer Science Engineering (CSE)

matches the early ramp-like response to a step change in input.

 

Development of Empirical Dynamic  Models from Step Response Data---------------Next Slide

 

Chapter-Development of EDM, PPT, Semester, Engineering - Computer Science Engineering (CSE)

 

Figure 7.10. Comparison of step responses for a FOPTD model (solid line) and the approximate integrator plus time delay model (dashed line).

 

Development of Empirical Dynamic  Models from Step Response Data---------------Next Slide

 

Chapter-Development of EDM, PPT, Semester, Engineering - Computer Science Engineering (CSE)

 

Development of Empirical Dynamic  Models from Step Response Data---------------Next Slide

 

Chapter-Development of EDM, PPT, Semester, Engineering - Computer Science Engineering (CSE)

 

Development of Empirical Dynamic  Models from Step Response Data---------------Next Slide

 

Chapter-Development of EDM, PPT, Semester, Engineering - Computer Science Engineering (CSE)

 

Development of Empirical Dynamic  Models from Step Response Data---------------Next Slide

 

Chapter-Development of EDM, PPT, Semester, Engineering - Computer Science Engineering (CSE)

 

Development of Empirical Dynamic  Models from Step Response Data---------------Next Slide

 

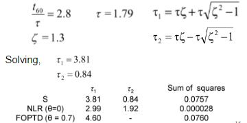
Smith’s Method

20% response:    t20 = 1.85

60% response:    t60 = 5.0

t20 / t60 = 0.37

Chapter-Development of EDM, PPT, Semester, Engineering - Computer Science Engineering (CSE)

 

Development of Empirical Dynamic  Models from Step Response Data---------------Next Slide

 

Using Excel Solver to Fit Transfer Function Models

  • use y (data) vs. y (predicted)

  • column 1 is data (taken at different times), or y1

  • column 2 is model prediction (same time values as above), or y2

  • target cell is Σ (y1 - y2)2 , to be minimized

  • specify parameters to be changed in reference cells (e.g. τ1 = 1, τ2 = 2)

  • open solver dialog box to check settings

  • click on < solve > (calls optimization program)

 

Development of Empirical Dynamic  Models from Step Response Data---------------Next Slide

 

Chapter-Development of EDM, PPT, Semester, Engineering - Computer Science Engineering (CSE)

 

Development of Empirical Dynamic  Models from Step Response Data---------------Next Slide

 

Chapter-Development of EDM, PPT, Semester, Engineering - Computer Science Engineering (CSE)

 

Development of Empirical Dynamic  Models from Step Response Data---------------Next Slide

 

Chapter-Development of EDM, PPT, Semester, Engineering - Computer Science Engineering (CSE)

 

The document Chapter-Development of EDM, PPT, Semester, Engineering - Computer Science Engineering (CSE) is a part of Computer Science Engineering (CSE) category.
All you need of Computer Science Engineering (CSE) at this link: Computer Science Engineering (CSE)

FAQs on Chapter-Development of EDM, PPT, Semester, Engineering - Computer Science Engineering (CSE)

1. What is EDM and how has it developed over time?
Ans. EDM stands for Electronic Dance Music, and it refers to a genre of music that is primarily produced and played by DJs. It originated in the 1980s and has since evolved into a global phenomenon. EDM incorporates various electronic music styles such as house, techno, trance, and dubstep. Its development has been shaped by advancements in technology, particularly in music production software and equipment, which have allowed artists to create new and innovative sounds.
2. How does EDM differ from other genres of music?
Ans. EDM differs from other genres of music in several ways. Firstly, it heavily relies on electronic instruments and synthesizers to create its distinctive sound, whereas other genres may use traditional instruments like guitars and drums. Secondly, EDM is often characterized by its repetitive beats and basslines, which are designed to keep the energy and momentum of the music constant. Lastly, EDM is closely tied to the culture of electronic dance festivals and club scenes, where DJs play live sets for large crowds of enthusiastic fans.
3. What role does technology play in the production of EDM?
Ans. Technology plays a crucial role in the production of EDM. With the advent of digital audio workstations (DAWs) and music production software, artists can create, edit, and arrange their tracks with ease. Additionally, virtual instruments and synthesizers offer a wide range of sounds and effects that can be manipulated to create unique compositions. DJ software and hardware have also revolutionized live performances, allowing DJs to mix and manipulate tracks in real-time, creating seamless transitions and mashups.
4. How has the popularity of EDM grown globally?
Ans. The popularity of EDM has grown exponentially on a global scale. One key factor in its rise to prominence is the accessibility of music streaming platforms, such as Spotify and SoundCloud, which have made it easier for artists to share their music with a wide audience. Moreover, the proliferation of music festivals dedicated to EDM, such as Tomorrowland and Ultra Music Festival, has attracted millions of fans from around the world. The use of social media platforms and online communities has also played a significant role in connecting fans and artists, fostering a sense of community and driving the genre's popularity.
5. What are some notable EDM artists and tracks that have shaped the genre?
Ans. There are numerous notable EDM artists and tracks that have shaped the genre. Some well-known artists include Swedish House Mafia, Avicii, Calvin Harris, Skrillex, and David Guetta. Tracks like "Levels" by Avicii, "Lean On" by Major Lazer & DJ Snake, and "Animals" by Martin Garrix have become iconic within the EDM scene. These artists and tracks have not only achieved commercial success but have also influenced the sound and direction of EDM, inspiring countless new artists to explore and contribute to the genre.
Download as PDF

Top Courses for Computer Science Engineering (CSE)

Related Searches

study material

,

Engineering - Computer Science Engineering (CSE)

,

Chapter-Development of EDM

,

Semester Notes

,

past year papers

,

Semester

,

PPT

,

Extra Questions

,

ppt

,

Semester

,

practice quizzes

,

Chapter-Development of EDM

,

Previous Year Questions with Solutions

,

Sample Paper

,

Chapter-Development of EDM

,

video lectures

,

Exam

,

Engineering - Computer Science Engineering (CSE)

,

MCQs

,

Free

,

PPT

,

mock tests for examination

,

Important questions

,

pdf

,

PPT

,

Semester

,

Viva Questions

,

shortcuts and tricks

,

Objective type Questions

,

Engineering - Computer Science Engineering (CSE)

,

Summary

;