Class 10 Exam  >  Class 10 Notes  >  NCERT Solution - Chapter 7: Coordinate Geometry, Class 10, Maths

NCERT Solutions for Class 10 Maths Chapter 7 - Chapter 7: Coordinate Geometry

Exercise 7.1

1. Find the distance between the following pairs of points:
 (i) (2, 3), (4, 1)

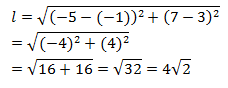
(ii) (−5, 7), (−1, 3) 

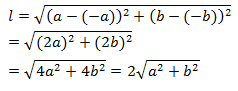
(iii) (a, b), (− a, − b)

Answer

(i) Distance between the points is given by

NCERT Solutions for Class 10 Maths Chapter 7 - Chapter 7: Coordinate Geometry

(ii) Distance between (−5, 7) and (−1, 3) is given by

NCERT Solutions for Class 10 Maths Chapter 7 - Chapter 7: Coordinate Geometry

(iii) Distance between (ab) and (− a, − b) is given by

NCERT Solutions for Class 10 Maths Chapter 7 - Chapter 7: Coordinate Geometry

2. Find the distance between the points (0, 0) and (36, 15). Can you now find the distance between the two towns A and B discussed in Section 7.2.

Answer

Distance between points (0, 0) and (36, 15)

NCERT Solutions for Class 10 Maths Chapter 7 - Chapter 7: Coordinate Geometry

Yes, Assume town A at origin point (0, 0).
Therefore, town B will be at point (36, 15) with respect to town A.
And hence, as calculated above, the distance between town A and B will be 39 km.

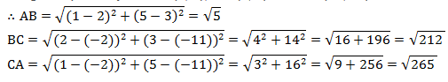
3. Determine if the points (1, 5), (2, 3) and (-2, -11) are collinear.

Answer

Let the points (1, 5), (2, 3), and (- 2,-11) be representing the vertices A, B, and C of the given triangle respectively.Let A = (1, 5), B = (2, 3) and C = (- 2,-11)

NCERT Solutions for Class 10 Maths Chapter 7 - Chapter 7: Coordinate Geometry

Since AB + BC ≠ CA
Therefore, the points (1, 5), (2, 3), and ( - 2, - 11) are not collinear.

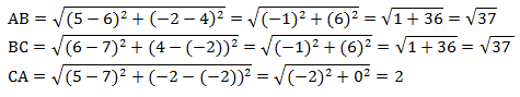
 4. Check whether (5, - 2), (6, 4) and (7, - 2) are the vertices of an isosceles triangle.

Answer

Let the points (5, - 2), (6, 4), and (7, - 2) are representing the vertices A, B, and C of the given triangle respectively.

NCERT Solutions for Class 10 Maths Chapter 7 - Chapter 7: Coordinate Geometry

Therefore, AB = BC
As two sides are equal in length, therefore, ABC is an isosceles triangle.

5. In a classroom, 4 friends are seated at the points A, B, C and D as shown in the following figure. Champa and Chameli walk into the class and after observing for a few minutes Champa asks Chameli, “Don't you think ABCD is a square?” Chameli disagrees.
 Using distance formula, find which of them is correct.

NCERT Solutions for Class 10 Maths Chapter 7 - Chapter 7: Coordinate Geometry

Answer

Clearly from the figure, the coordinates of points A, B, C and D are (3, 4), (6, 7), (9, 4) and (6, 1). 

By using distance formula, we get

NCERT Solutions for Class 10 Maths Chapter 7 - Chapter 7: Coordinate Geometry

It can be observed that all sides of this quadrilateral ABCD are of the same length and also the diagonals are of the same length.
Therefore, ABCD is a square and hence, Champa was correct

6. Name the type of quadrilateral formed, if any, by the following points, and give reasons for your answer:
 (i) (- 1, - 2), (1, 0), (- 1, 2), (- 3, 0)
 (ii) (- 3, 5), (3, 1), (0, 3), (- 1, - 4)
 (iii) (4, 5), (7, 6), (4, 3), (1, 2)

Answer

Let the points ( - 1, - 2), (1, 0), ( - 1, 2), and ( - 3, 0) be representing the vertices A, B, C, and D of the given quadrilateral respectively.

NCERT Solutions for Class 10 Maths Chapter 7 - Chapter 7: Coordinate Geometry

It can be observed that all sides of this quadrilateral are of the same length and also, the diagonals are of the same length. Therefore, the given points are the vertices of a square.

(ii) Let the points ( - 3, 5), (3, 1), (0, 3), and ( - 1, - 4) be representing the vertices A, B, C, and D of the given quadrilateral respectively.

NCERT Solutions for Class 10 Maths Chapter 7 - Chapter 7: Coordinate Geometry

It can be observed that all sides of this quadrilateral are of different lengths. Therefore, it can be said that it is only a general quadrilateral, and not specific such as square, rectangle, etc.

(iii) Let the points (4, 5), (7, 6), (4, 3), and (1, 2) be representing the vertices A, B, C, and D of the given quadrilateral respectively.

NCERT Solutions for Class 10 Maths Chapter 7 - Chapter 7: Coordinate Geometry

It can be observed that opposite sides of this quadrilateral are of the same length. However, the diagonals are of different lengths. Therefore, the given points are the vertices of a parallelogram.

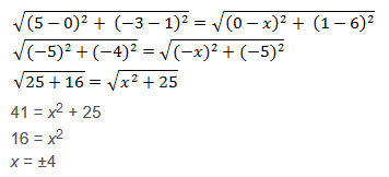
7. Find the point on the x-axis which is equidistant from (2, - 5) and (- 2, 9).

Answer
We have to find a point on x-axis. Therefore, its y-coordinate will be 0.
Let the point on x-axis be (x,0)

Distance between(x,0)and (2,-5) =  NCERT Solutions for Class 10 Maths Chapter 7 - Chapter 7: Coordinate Geometry

Distance between(x,0)and (-2,9) = NCERT Solutions for Class 10 Maths Chapter 7 - Chapter 7: Coordinate Geometry

By the Given Condition, these distances are equal to measure.

NCERT Solutions for Class 10 Maths Chapter 7 - Chapter 7: Coordinate Geometry

8. Find the values of y for which the distance between the points P (2, - 3) and Q (10, y) is 10 units.

Answer
It is given that the distance between (2, - 3) and (10, y) is 10.

NCERT Solutions for Class 10 Maths Chapter 7 - Chapter 7: Coordinate Geometry

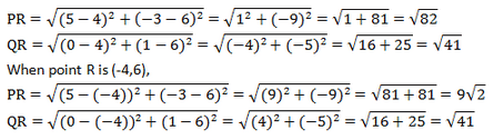
9. If Q (0, 1) is equidistant from P (5, - 3) and R (x, 6), find the values of x. Also find the distance QR and PR.

Answer

PQ = QR
NCERT Solutions for Class 10 Maths Chapter 7 - Chapter 7: Coordinate Geometry

Therefore, point R is (4, 6) or ( - 4, 6).
When point R is (4, 6),

NCERT Solutions for Class 10 Maths Chapter 7 - Chapter 7: Coordinate Geometry

10. Find a relation between x and y such that the point (x, y) is equidistant from the point (3, 6) and (- 3, 4).

Answer
Point (x, y) is equidistant from (3, 6) and ( - 3, 4).

NCERT Solutions for Class 10 Maths Chapter 7 - Chapter 7: Coordinate Geometry

Exercise 7.2

1. Find the coordinates of the point which divides the join of (- 1, 7) and (4, - 3) in the ratio 2:3.

Answer
Let P(x, y) be the required point. Using the section formula, we get

NCERT Solutions for Class 10 Maths Chapter 7 - Chapter 7: Coordinate Geometry

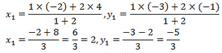
2. Find the coordinates of the points of trisection of the line segment joining (4, -1) and (-2, -3).

NCERT Solutions for Class 10 Maths Chapter 7 - Chapter 7: Coordinate Geometry

Let P (x1, y1) and Q (x2, y2) are the points of trisection of the line segment joining the given points i.e., AP = PQ = QB

Therefore, point P divides AB internally in the ratio 1:2.

NCERT Solutions for Class 10 Maths Chapter 7 - Chapter 7: Coordinate Geometry

NCERT Solutions for Class 10 Maths Chapter 7 - Chapter 7: Coordinate Geometry  

3. To conduct Sports Day activities, in your rectangular shaped school ground ABCD, lines have been drawn with chalk powder at a distance of 1 m each. 100 flower pots have been placed at a distance of 1 m from each other along AD, as shown in the following figure. Niharika runs 1/4th the distance AD on the 2nd line and posts a green flag. Preet runs 1/5th the distance AD on the eighth line and posts a red flag. What is the distance between both the flags? If Rashmi has to post a blue flagexactly halfway between the line segment joining the two flags, where should she post her flag?

NCERT Solutions for Class 10 Maths Chapter 7 - Chapter 7: Coordinate Geometry

Answer

It can be observed that Niharika posted the green flag at 1/4th of the distance AD i.e., (1×100/4)m = 25m from the starting point of 2nd line. Therefore, the coordinates of this point G is (2, 25).
Similarly, Preet posted red flag at 1/5 of the distance AD i.e., (1×100/5) m = 20m from the starting point of 8th line. Therefore, the coordinates of this point R are (8, 20).
Distance between these flags by using distance formula = GR

NCERT Solutions for Class 10 Maths Chapter 7 - Chapter 7: Coordinate Geometry

4. Find the ratio in which the line segment joining the points (-3, 10) and (6, - 8) is divided by (-1, 6).

Answer
Let the ratio in which the line segment joining ( -3, 10) and (6, -8) is divided by point ( -1, 6) be k : 1.Therefore, -1 = 6k-3/k+1
-k - 1 = 6k -3
7k = 2
k = 2/7
Therefore, the required ratio is 2:7.

5. Find the ratio in which the line segment joining A (1, - 5) and B (- 4, 5) is divided by the x-axis. Also find the coordinates of the point of division.

Answer
Let the ratio in which the line segment joining A (1, - 5) and B ( - 4, 5) is divided by x-axisbeNCERT Solutions for Class 10 Maths Chapter 7 - Chapter 7: Coordinate Geometry.
Therefore, the coordinates of the point of division is (-4k+1/k+1, 5k-5/k+1).

We know that y-coordinate of any point on x-axis is 0.

∴ 5k-5/k+1 = 0

Therefore, x-axis divides it in the ratio 1:1.

NCERT Solutions for Class 10 Maths Chapter 7 - Chapter 7: Coordinate Geometry

6. If (1, 2), (4, y), (x, 6) and (3, 5) are the vertices of a parallelogram taken in order, find and y.

Answer

NCERT Solutions for Class 10 Maths Chapter 7 - Chapter 7: Coordinate Geometry

NCERT Solutions for Class 10 Maths Chapter 7 - Chapter 7: Coordinate Geometry

Since the diagonals of a parallelogram bisect each other, the mid point of AC and BD are same.

x+1/2 = 7/2 and 4 = 5+y/2

x + 1 = 7 and 5 + y = 8

x = 6 and y = 3

7. Find the coordinates of a point A, where AB is the diameter of circle whose centre is (2, - 3) and B is (1, 4).

Answer

Let the coordinates of point A be (x, y).
Mid-point of AB is (2, - 3), which is the center of the circle.

NCERT Solutions for Class 10 Maths Chapter 7 - Chapter 7: Coordinate Geometry

8. If A and B are (–2, –2) and (2, –4), respectively, find the coordinates of P such that AP = 3/7 AB and P lies on the line segment AB.

Answer

NCERT Solutions for Class 10 Maths Chapter 7 - Chapter 7: Coordinate Geometry

The coordinates of point A and B are (-2,-2) and (2,-4) respectively.

Since AP = 3/7 AB

Therefore, AP:PB = 3:4

Point P divides the line segment AB in the ratio 3:4.

NCERT Solutions for Class 10 Maths Chapter 7 - Chapter 7: Coordinate Geometry

9. Find the coordinates of the points which divide the line segment joining A (- 2, 2) and B (2, 8) into four equal parts.

NCERT Solutions for Class 10 Maths Chapter 7 - Chapter 7: Coordinate Geometry

From the figure, it can be observed that points X, Y, Z are dividing the line segment in a ratio 1:3, 1:1, 3:1 respectively.

NCERT Solutions for Class 10 Maths Chapter 7 - Chapter 7: Coordinate Geometry

10. Find the area of a rhombus if its vertices are (3, 0), (4, 5), (-1, 4) and (-2,-1) taken in order. [Hint: Area of a rhombus = 1/2(product of its diagonals)]

NCERT Solutions for Class 10 Maths Chapter 7 - Chapter 7: Coordinate Geometry

Let (3, 0), (4, 5), ( - 1, 4) and ( - 2, - 1) are the vertices A, B, C, D of a rhombus ABCD.
NCERT Solutions for Class 10 Maths Chapter 7 - Chapter 7: Coordinate Geometry

Exercises 7.3

1. Find the area of the triangle whose vertices are:
 (i) (2, 3), (-1, 0), (2, -4)

(ii) (-5, -1), (3, -5), (5, 2)

Answer

(i) Area of a triangle is given by

Area of triangle = 1/2 {x1 (y2y3)+ x2 (y3y1)+ x3 (y1y2)}
Area of the given triangle = 1/2 [2 { 0- (-4)} + (-1) {(-4) - (3)} + 2 (3 - 0)] = 1/2 {8 + 7 + 6} = 21/2 square units.

(ii) Area of the given triangle = 1/2 [-5 { (-5)- (4)} + 3(2-(-1)) + 5{-1 - (-5)}] = 1/2{35 + 9 + 20} = 32 square units

2. In each of the following find the value of 'k', for which the points are collinear.
 (i) (7, -2), (5, 1), (3, -k

(ii) (8, 1), (k, -4), (2, -5)

Answer
(i) For collinear points, area of triangle formed by them is zero.
Therefore, for points (7, -2) (5, 1), and (3, k), area = 0
1/2 [7 { 1- k} + 5(k-(-2)) + 3{(-2) + 1}] = 0
7 - 7k + 5k +10 -9 = 0
-2k + 8 = 0
k = 4

(ii) For collinear points, area of triangle formed by them is zero.
Therefore, for points (8, 1), (k, - 4), and (2, - 5), area = 0
1/2 [8 { -4- (-5)} + k{(-5)-(1)} + 2{1 -(-4)}] = 0
8 - 6k + 10 = 0
6k = 18
k = 3

3. Find the area of the triangle formed by joining the mid-points of the sides of the triangle whose vertices are (0, -1), (2, 1) and (0, 3). Find the ratio of this area to the area of the given triangle.

Answer
NCERT Solutions for Class 10 Maths Chapter 7 - Chapter 7: Coordinate Geometry

 

Let the vertices of the triangle be A (0, -1), B (2, 1), C (0, 3).
Let D, E, F be the mid-points of the sides of this triangle. Coordinates of D, E, and F are given by

D = (0+2/2 , -1+1/2) = (1,0)

E = (0+0/2 , -3-1/2) = (0,1)

F = (2+0/2 , 1+3/2) = (1,2)

Area of a triangle = 1/2 {x1 (y2 - y3) + x2 (y3 - y1) + x3 (y1 - y2)}
Area of ΔDEF = 1/2 {1(2-1) + 1(1-0) + 0(0-2)} = 1/2 (1+1) = 1 square units
Area of ΔABC = 1/2 [0(1-3) + 2{3-(-1)} + 0(-1-1)] = 1/2 {8} = 4 square units
Therefore, the required ratio is 1:4.

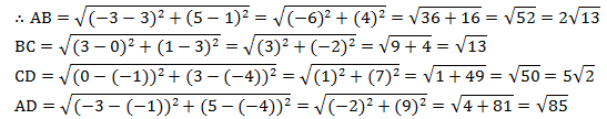
4. Find the area of the quadrilateral whose vertices, taken in order, are (-4, -2), (-3, -5), (3, -2) and (2, 3).

Answer

NCERT Solutions for Class 10 Maths Chapter 7 - Chapter 7: Coordinate Geometry

Let the vertices of the quadrilateral be A ( - 4, - 2), B ( - 3, - 5), C (3, - 2), and D (2, 3). Join AC to form two triangles ΔABC and ΔACD.

Area of a triangle = 1/2 {x1 (y2y3) + x2 (y3y1) + x3 (y1y2)}
Area of ΔABC = 1/2 [(-4) {(-5) - (-2)} + (-3) {(-2) - (-2)} + 3 {(-2) - (-5)}] =  1/2 (12+0+9) = 21/2 square units
Area of ΔACD = 1/2 [(-4) {(-2) - (3)} + 3{(3) - (-2)} + 2 {(-2) - (-2)}]  = 1/2 (20+15+0) = 35/2 square units
Area of ☐ABCD  = Area of ΔABC + Area of ΔACD = (21/2 + 35/2) square units = 28 square units

5. You have studied in Class IX that a median of a triangle divides it into two triangles of equal areas. Verify this result for ΔABC whose vertices are A (4, - 6), B (3, - 2) and C (5, 2).

Answer

NCERT Solutions for Class 10 Maths Chapter 7 - Chapter 7: Coordinate Geometry

Let the vertices of the triangle be A (4, -6), B (3, -2), and C (5, 2).
Let D be the mid-point of side BC of ΔABC. Therefore, AD is the median in ΔABC.

Coordinates of point D = (3+5/2, -2+2/2) = (4,0)

Area of a triangle = 1/2 {x1 (y2y3) + x2 (y3y1) + x3 (y1y2)}

Area of ΔABD = 1/2 [(4) {(-2) - (0)} + 3{(0) - (-6)} + (4) {(-6) - (-2)}] = 1/2 (-8+18-16) = -3 square units

However, area cannot be negative. Therefore, area of ΔABD is 3 square units.

Area of ΔABD = 1/2 [(4) {0 - (2)} + 4{(2) - (-6)} + (5) {(-6) - (0)}] = 1/2 (-8+32-30) = -3 square units

However, area cannot be negative. Therefore, area of ΔABD is 3 square units.

The area of both sides is same. Thus, median AD has divided ΔABC in two triangles of equal areas.

The document NCERT Solutions for Class 10 Maths Chapter 7 - Chapter 7: Coordinate Geometry is a part of Class 10 category.
All you need of Class 10 at this link: Class 10

FAQs on NCERT Solutions for Class 10 Maths Chapter 7 - Chapter 7: Coordinate Geometry

1. What is coordinate geometry?
Ans. Coordinate geometry is a branch of mathematics that deals with the study of geometric figures using a coordinate system. It involves representing points, lines, curves, and shapes on a plane using numerical values called coordinates.
2. How is the coordinate system used in coordinate geometry?
Ans. The coordinate system in coordinate geometry uses two perpendicular number lines called the x-axis and y-axis. Each point on the plane is represented by an ordered pair (x, y), where x is the distance along the x-axis and y is the distance along the y-axis. These coordinates help locate and describe the position of points and determine the equations of lines and curves.
3. How do we find the distance between two points in coordinate geometry?
Ans. The distance between two points (x1, y1) and (x2, y2) in coordinate geometry can be found using the distance formula: Distance = √((x2 - x1)^2 + (y2 - y1)^2) This formula calculates the square root of the sum of the squares of the differences in x-coordinates and y-coordinates of the two points.
4. How do we find the midpoint of a line segment in coordinate geometry?
Ans. The midpoint of a line segment with endpoints (x1, y1) and (x2, y2) can be found by taking the average of the x-coordinates and the average of the y-coordinates: Midpoint = ((x1 + x2)/2, (y1 + y2)/2) This formula calculates the average of the x-coordinates and the average of the y-coordinates of the endpoints.
5. How do we determine whether three points are collinear in coordinate geometry?
Ans. To determine whether three points (x1, y1), (x2, y2), and (x3, y3) are collinear in coordinate geometry, we can use the slope formula. Calculate the slopes of the line segments formed by the three pairs of points: Slope of (x1, y1) and (x2, y2) = (y2 - y1)/(x2 - x1) Slope of (x2, y2) and (x3, y3) = (y3 - y2)/(x3 - x2) Slope of (x1, y1) and (x3, y3) = (y3 - y1)/(x3 - x1) If the slopes are equal, then the three points are collinear. If the slopes are not equal, then the three points are not collinear.
Download as PDF

Top Courses for Class 10

Related Searches

Summary

,

shortcuts and tricks

,

NCERT Solutions for Class 10 Maths Chapter 7 - Chapter 7: Coordinate Geometry

,

practice quizzes

,

NCERT Solutions for Class 10 Maths Chapter 7 - Chapter 7: Coordinate Geometry

,

Semester Notes

,

Previous Year Questions with Solutions

,

Exam

,

pdf

,

Sample Paper

,

video lectures

,

past year papers

,

NCERT Solutions for Class 10 Maths Chapter 7 - Chapter 7: Coordinate Geometry

,

Important questions

,

study material

,

mock tests for examination

,

Objective type Questions

,

ppt

,

Viva Questions

,

MCQs

,

Free

,

Extra Questions

;