JEE Exam  >  JEE Notes  >  Mathematics (Maths) Main & Advanced  >  NCERT Solutions - Exercise 13.1: Probability

NCERT Solutions - Exercise 13.1: Probability

Question 1:

Given that E and F are events such that P(E) = 0.6, P(F) = 0.3 and P(E ∩ F) = 0.2, find P (E|F) and P(F|E).

Answer 1: 

It is given that P(E) = 0.6, P(F) = 0.3, and P(E ∩ F) = 0.2 

NCERT Solutions - Exercise 13.1: Probability

Question 2:

Compute P(A|B), if P(B) = 0.5 and P (A ∩ B) = 0.32

Answer 2: 

It is given that P(B) = 0.5 and P(A ∩ B) = 0.32

NCERT Solutions - Exercise 13.1: Probability

Question 3:

If P(A) = 0.8, P(B) = 0.5 and P(B|A) = 0.4, find

(i) P(A ∩ B) (ii) P(A|B) (iii) P(A ∪ B)

Answer 3: 

It is given that P(A) = 0.8, P(B) = 0.5, and P(B|A) = 0.4

(i) P (B|A) = 0.4

NCERT Solutions - Exercise 13.1: Probability
NCERT Solutions - Exercise 13.1: Probability

Question 4:

Evaluate P (A ∪ B), if 2P (A) = P (B) = 5/13 and P(A|B) = 2/5

Answer 4:

NCERT Solutions - Exercise 13.1: Probability
NCERT Solutions - Exercise 13.1: Probability

Question 5:

If P(A) = 6/11, P(B) =5/11 and P(A ∪ B) =7/11 , find

(i) P(A ∩ B) (ii) P(A|B) (iii) P(B|A)

Answer 5:  

It is given that NCERT Solutions - Exercise 13.1: Probability

NCERT Solutions - Exercise 13.1: Probability

NCERT Solutions - Exercise 13.1: Probability
NCERT Solutions - Exercise 13.1: Probability
NCERT Solutions - Exercise 13.1: Probability

Question 6:

A coin is tossed three times, where

(i) E: head on third toss, F: heads on first two tosses

(ii) E: at least two heads, F: at most two heads

(iii) E: at most two tails, F: at least one tail

Answer 6: 

If a coin is tossed three times, then the sample space S is

S = {HHH, HHT, HTH, HTT, THH, THT, TTH, TTT}

It can be seen that the sample space has 8 elements.

(i) E = {HHH, HTH, THH, TTH}

F = {HHH, HHT}

NCERT Solutions - Exercise 13.1: ProbabilityE ∩ F = {HHH}

NCERT Solutions - Exercise 13.1: Probability

(ii) E = {HHH, HHT, HTH, THH}

F = {HHT, HTH, HTT, THH, THT, TTH, TTT}

NCERT Solutions - Exercise 13.1: ProbabilityE ∩ F = {HHT, HTH, THH}

NCERT Solutions - Exercise 13.1: Probability

(iii) E = {HHH, HHT, HTT, HTH, THH, THT, TTH}

F = {HHT, HTT, HTH, THH, THT, TTH, TTT}

NCERT Solutions - Exercise 13.1: Probability

Question 7:

Two coins are tossed once, where

(i) E: tail appears on one coin, F: one coin shows head

(ii) E: not tail appears, F: no head appears

Answer 7: 

If two coins are tossed once, then the sample space S is

S = {HH, HT, TH, TT}

(i) E = {HT, TH}

F = {HT, TH}

NCERT Solutions - Exercise 13.1: Probability

(ii) E = {HH}

F = {TT}

∴ E ∩ F = Φ

P (F) = 1 and P (E ∩ F) = 0

∴ P(E|F) =  NCERT Solutions - Exercise 13.1: Probability

Question 8:

A die is thrown three times,

E: 4 appears on the third toss, F: 6 and 5 appears respectively on first two tosses

Answer 8: 

If a die is thrown three times, then the number of elements in the sample space will be 6 × 6 × 6 = 216

NCERT Solutions - Exercise 13.1: Probability
NCERT Solutions - Exercise 13.1: Probability

Question 9:

Mother, father and son line up at random for a family picture

E: son on one end, F: father in middle

Answer 9: 

If mother (M), father (F), and son (S) line up for the family picture, then the sample space will be

S = {MFS, MSF, FMS, FSM, SMF, SFM}

⇒ E = {MFS, FMS, SMF, SFM}

F = {MFS, SFM}

∴ E ∩ F = {MFS, SFM}

NCERT Solutions - Exercise 13.1: Probability  

Question 10:

A black and a red dice are rolled.

(a) Find the conditional probability of obtaining a sum greater than 9, given that the black die resulted in a 5.

(b) Find the conditional probability of obtaining the sum 8, given that the red die resulted in a number less than 4.

Answer 10: 

Let the first observation be from the black die and second from the red die.

When two dice (one black and another red) are rolled, the sample space S has 6 × 6 = 36 number of elements.
 Let A: Obtaining a sum greater than 9

= {(4, 6), (5, 5), (5, 6), (6, 4), (6, 5), (6, 6)}

B: Black die results in a 5.

= {(5, 1), (5, 2), (5, 3), (5, 4), (5, 5), (5, 6)}

∴ A ∩ B = {(5, 5), (5, 6)}

The conditional probability of obtaining a sum greater than 9, given that the black die resulted in a 5, is given by P (A|B).

NCERT Solutions - Exercise 13.1: Probability

(b) E: Sum of the observations is 8.

= {(2, 6), (3, 5), (4, 4), (5, 3), (6, 2)}

F: Red die resulted in a number less than 4.

NCERT Solutions - Exercise 13.1: Probability

The conditional probability of obtaining the sum equal to 8, given that the red die resulted in a number less than 4, is given by P (E|F). 

NCERT Solutions - Exercise 13.1: Probability

Question 11:

A fair die is rolled. Consider events E = {1, 3, 5}, F = {2, 3} and G = {2, 3, 4, 5}

Find (i) P (E|F) and P (F|E) (ii) P (E|G) and P (G|E) (ii) P ((E ∪ F)|G) and P ((E ∩ G)|G)

Answer 11: 

When a fair die is rolled, the sample space S will be

S = {1, 2, 3, 4, 5, 6}

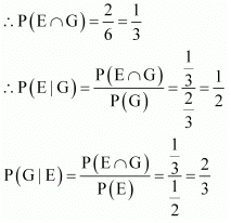
It is given that E = {1, 3, 5}, F = {2, 3}, and G = {2, 3, 4, 5}

NCERT Solutions - Exercise 13.1: Probability
NCERT Solutions - Exercise 13.1: Probability

(ii) E ∩ G = {3, 5}

NCERT Solutions - Exercise 13.1: Probability

(iii) E ∪ F = {1, 2, 3, 5}

(E ∪ F) ∩ G = {1, 2, 3, 5} ∩{2, 3, 4, 5} = {2, 3, 5}

E ∩ F = {3}

(E ∩ F) ∩ G = {3}∩{2, 3, 4, 5} = {3}

NCERT Solutions - Exercise 13.1: Probability
NCERT Solutions - Exercise 13.1: Probability

Question 12:

Assume that each born child is equally likely to be a boy or a girl. If a family has two children, what is the conditional probability that both are girls given that (i) the youngest is a girl, (ii) at least one is a girl?

Answer 12: 
 Let b and g represent the boy and the girl child respectively. If a family has two children, the sample space will be

S = {(b, b), (b, g), (g, b), (g, g)}

Let A be the event that both children are girls.

NCERT Solutions - Exercise 13.1: Probability

(i) Let B be the event that the youngest child is a girl.

NCERT Solutions - Exercise 13.1: Probability

The conditional probability that both are girls, given that the youngest child is a girl, is given by P (A|B).

NCERT Solutions - Exercise 13.1: Probability

Therefore, the required probability is (1/2).

(ii) Let C be the event that at least one child is a girl.

NCERT Solutions - Exercise 13.1: Probability

The conditional probability that both are girls, given that at least one child is a girl, is given by P(A|C).

NCERT Solutions - Exercise 13.1: Probability

Question 13:

An instructor has a question bank consisting of 300 easy True/False questions, 200 difficult True/False questions, 500 easy multiple choice questions and 400 difficult multiple choice questions. If a question is selected at random from the question bank, what is the probability that it will be an easy question given that it is a multiple choice question?

Answer 13: 

The given data can be tabulated as

 

True/False

Multiple choice

Total

Easy

300

500

800

Difficult

200

400

600

Total

500

900

1400

 

 

 

 

 

 

 

Let us denote E = easy questions, M = multiple choice questions, D = difficult questions, and T = True/False questions

Total number of questions = 1400

Total number of multiple choice questions = 900

Therefore, probability of selecting an easy multiple choice question is

P (E ∩ M) = 500/1400= 5/14

Probability of selecting a multiple choice question, P (M), is 900/1400= 9/14

P (E|M) represents the probability that a randomly selected question will be an easy question, given that it is a multiple choice question.

NCERT Solutions - Exercise 13.1: Probability

Therefore, the required probability is 5/9

Question 14:

Given that the two numbers appearing on throwing the two dice are different. Find the probability of the event 'the sum of numbers on the dice is 4'.

Answer 14: 
 When dice is thrown, number of observations in the sample space = 6 × 6 = 36

Let A be the event that the sum of the numbers on the dice is 4 and B be the event that the two numbers appearing on throwing the two dice are different.
 ∴ A = {(1, 3), (2, 2), (3, 1)}

NCERT Solutions - Exercise 13.1: Probability

Let P (A|B) represent the probability that the sum of the numbers on the dice is 4, given that the two numbers appearing on throwing the two dice are different.

Question 15:

Consider the experiment of throwing a die, if a multiple of 3 comes up, throw the die again and if any other number comes, toss a coin. Find the conditional probability of the event 'the coin shows a tail', given that 'at least one die shows a 3'.

Answer 15: 

The outcomes of the given experiment can be represented by the following tree diagram.

The sample space of the experiment is,

NCERT Solutions - Exercise 13.1: Probability

Let A be the event that the coin shows a tail and B be the event that at least one die shows 3.

NCERT Solutions - Exercise 13.1: Probability
NCERT Solutions - Exercise 13.1: Probability

Probability of the event that the coin shows a tail, given that at least one die shows 3, is given by P(A|B).

Therefore, 

NCERT Solutions - Exercise 13.1: Probability

Question 16:

If  NCERT Solutions - Exercise 13.1: Probability 
 (A) 0 (B) (1/2)

(C) not defined (D) 1

Answer 16:
NCERT Solutions - Exercise 13.1: Probability

Therefore, P (A|B) is not defined.

Thus, the correct answer is C.

Question 17:

If A and B are events such that P (A|B) = P(B|A), then

(A) A ⊂ B but A ≠ B (B) A = B

(C) A ∩ B = Φ (D) P(A) = P(B)

Answer 17: 

It is given that, P(A|B) = P(B|A) 

NCERT Solutions - Exercise 13.1: Probability

Thus, the correct answer is D.

The document NCERT Solutions - Exercise 13.1: Probability is a part of the JEE Course Mathematics (Maths) for JEE Main & Advanced.
All you need of JEE at this link: JEE

FAQs on NCERT Solutions - Exercise 13.1: Probability

1. What is probability?
Ans. Probability is a branch of mathematics that deals with the likelihood of an event occurring. It is a way to quantify uncertainty and measure the chances of different outcomes.
2. How is probability calculated?
Ans. Probability is calculated by dividing the number of favorable outcomes by the total number of possible outcomes. This can be represented as a ratio, a decimal, or a percentage.
3. What are the different types of probability?
Ans. There are three main types of probability: theoretical, empirical, and subjective. Theoretical probability is based on mathematical calculations, empirical probability is based on observed data, and subjective probability is based on personal judgment or beliefs.
4. How can probability be used in real-life situations?
Ans. Probability is used in various real-life situations, such as weather forecasting, insurance risk assessment, stock market analysis, sports predictions, and even medical diagnoses. It helps in making informed decisions by considering the chances of different outcomes.
5. What are the common misconceptions about probability?
Ans. One common misconception about probability is the belief that if an event is unlikely to happen, it will never occur. In reality, even unlikely events can happen. Another misconception is that probability can predict individual outcomes, whereas it actually deals with the likelihood of outcomes over a large number of trials.
Explore Courses for JEE exam
Get EduRev Notes directly in your Google search
Related Searches
pdf , practice quizzes, Summary, Free, MCQs, Objective type Questions, Extra Questions, NCERT Solutions - Exercise 13.1: Probability, past year papers, Important questions, shortcuts and tricks, study material, Semester Notes, Exam, mock tests for examination, Previous Year Questions with Solutions, Viva Questions, NCERT Solutions - Exercise 13.1: Probability, ppt, Sample Paper, NCERT Solutions - Exercise 13.1: Probability, video lectures;