| Table of contents | |
| Spherical flow through a well: | |
| Pumping-in tests: |
The specific yield of an unconfined aquifer is the ratio of the volume of water that will drain from the saturated material under gravity to the total volume of the aquifer. It is a dimensionless fraction and is a measure of the recoverable groundwater from an aquifer during drainage.
Symbolically,
Sy = VWY / V
where VWY is the volume of water yielded under gravity and V is the total volume of the aquifer.
The specific retention of an aquifer is the ratio of the volume of water retained in the aquifer against gravity to the total volume of the aquifer. This water is held by molecular attraction and capillarity and is not recoverable by gravity drainage alone.

Symbolically,
Sr = Vwr / V
where Vwr is the volume of water retained and V is the total aquifer volume.
Remember: Sy + Sr = n, where n is the porosity of the aquifer material.
For confined aquifers, specific yield is negligible and storage is governed by compressibility of water and aquifer skeleton.
The coefficient of transmissibility (also called transmissivity) is the rate at which groundwater is transmitted through an aquifer section of unit width under a unit hydraulic gradient.
T = k H
where k is the coefficient of permeability (hydraulic conductivity) and
For confined aquifer: H = constant saturated thickness
For unconfined aquifer: H varies with drawdown
The units of T are length2/time (e.g., m2/s).

For practical use, observed heads in observation wells are related as follows:
q = rate of pumping (m3/s)
h1 = initial height at observation well 1
h2 = initial height at observation well 2
s1, s2 = drawdowns at the two observation wells
r1 and r2 are radius of 1st and 2nd observation wells respectively.
The Theis solution describes transient (time-dependent) drawdown in a confined or unconfined aquifer due to constant-rate pumping from a fully penetrating well, using a non-equilibrium (non-steady) analytical solution based on the ground-water diffusivity equation.
The Theis drawdown solution is given by:
s(r,t) = (Q / 4πT) · W(u)
with
u = r² S / (4 T t)
For small values of u (u < 0.01), Theis well function can be approximated as:
W(u) ≈ -0.5772 - ln(u) + u - u²/2
where s(r,t) is the drawdown at radial distance r after time t, Q is the pumping rate, T is the transmissivity, S is the storativity (or storage coefficient), and W(u) is the Theis well function (exponential integral).


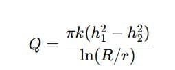
Dupuit assumptions (applied for radial flow to wells and for unconfined aquifers):
- Aquifer thickness is large
- Drawdown is small compared to saturated thickness
Under Dupuit assumptions for steady flow to a well in an unconfined aquifer, the discharge Q is related to the hydraulic heads by
where k is the permeability (hydraulic conductivity), h1 and h2 are water table heads at two radii, r is the well radius, and R is the radius of influence of pumping. Typical practical values for R often lie in the range 150 m ≤ R ≤ 300 m, but this is empirical and varies with aquifer properties and pumping rate.
Results based on Dupuit's theory are approximate because the theory neglects vertical flow components and uses simplified geometry. It is most accurate for moderate distances away from the well in relatively thick, homogeneous unconfined aquifers.


The Theis equation is widely used for transient analysis of drawdown in confined aquifers pumped at a constant rate. The same form of the Theis solution applies, with storativity S representing the confined aquifer storage coefficient and T equal to kH.

Under steady-state radial flow in a confined aquifer, the discharge for flow between two radii is
Q = 2 π k H (h1 - h2) / ln(R / r)
or using transmissivity T = k H,
Q = 2 π T (h1 - h2) / ln(R / r)
where h1 and h2 are hydraulic heads at radii R and r respectively, and R is the outer radius or radius of influence of the well.
Spherical (or partially spherical) flow occurs in some configurations close to the well where flowlines curve strongly in three dimensions. For simplified analyses a spherical flow expression is sometimes used.
Given relation: qs = 2 π k r s
where qs is the rate of flow through the spherical element, k is permeability, r is the radius at the sphere (or characteristic radius), and s is the drawdown across that spherical surface. Use such expressions only with caution and in contexts where spherical flow geometry is appropriate.
Pumping-in tests are mainly used to estimate local permeability and transmissivity.
Open-end test:
where, r = radius of pipe, h = head of water above the base of pipe, it may include gravity head and pressure head.
An open-end pumping-in test involves injecting water into the aquifer through a borehole or pipe and observing the resulting head distribution. For a vertical pipe of radius r, with water head h above the base of the pipe, the test records how the injected flow redistributes into the aquifer. The head h may include gravitational head plus any pressure head at the pipe base.
Instruments record pressures and heads at different distances and times to estimate transmissivity and storage properties from the observed response.

The Tacker test is a type of pumping-in or injection test using a perforated pipe or packer sections to allow injection along a length of borehole. The test geometry and injected volume allow estimation of local permeability over the perforated length.

where L is the length of perforated section, r the pipe radius, and h the head of water injected into the pipe.
Open well (recovery test):
Recovery (recuperation) tests on open wells measure the rise of water level after pumping stops, or the fall when water is removed, to estimate storage properties and specific yield in unconfined aquifers and to evaluate well performance.

For a simple open well, the volume of water corresponding to a change in water level H in the well is
Volume = A · H
where A is the cross-sectional area of the well and H is the change in water column height.
Specific capacity of a well is a commonly used index of well performance and is defined as the steady discharge per unit drawdown:
Specific capacity = Q / s
where Q is pumping rate and s is the resultant drawdown at the time of measurement. Specific capacity is influenced by aquifer transmissivity, well losses and well construction. In open-well recovery tests, plots of water level versus time during recovery are used to estimate aquifer parameters and specific yield in unconfined conditions.

Values of permeability:
The following typical ranges of hydraulic conductivity (permeability, k) are used for engineering estimates. Values are approximate and depend on grain size distribution, packing, and degree of saturation.
Confined vs Unconfined:
Aspect | Confined | Unconfined |
|---|---|---|
Storage | Storativity S (very small) | Specific yield Sy |
Thickness | Constant | Variable |
Dupuit Q ∝ | (h1 - h2) | (h1² - h2²) |
2 videos|160 docs|55 tests |
| 1. What is well hydraulics in civil engineering? | ![]() |
| 2. How does well hydraulics impact groundwater extraction? | ![]() |
| 3. What are the key parameters considered in well hydraulics analysis? | ![]() |
| 4. How is well efficiency calculated in well hydraulics? | ![]() |
| 5. What are the common challenges faced in well hydraulics analysis? | ![]() |