Class 10 Exam  >  Class 10 Notes  >  Introduction - Pair of Linear Equations in Two Variables, CBSE, Class 10, Mathematics

Introduction - Pair of Linear Equations in Two Variables, CBSE, Class 10, Mathematics PDF Download

PAIR OF LINEAR EQUATIONS IN TWO VARIABLES

INTRODUCTION
In class IX, we have read about linear equations in two variables. A linear equation is a rational and integral equation of the first degree.
For example, the equations : 3x + 2y = 7, 2x – √3y = √5, y – 4x = (√3) are linear equations in two variables, since in each case
(i) Neither x nor y is under a radical sign i.e., x and y are rational.
(ii) Neither x nor y is in the denominator.
(iii) The exponent of x and y in each term is one.

In general, ax + by +c = 0; a, b, c ∈ R ; a ≠ 0 and b ≠ 0 is a linear equation in two variables. A linear equation in two variables has an infinite number of solutions. The graph of a linear equaton in two variables is always a straight line.
In this chapter, we shall study about systems of linear equations in two variables, solution of a system of linear equations in two variables and graphical and algebraic methods of solving a system of linear equations in two variables. In the end of the chapter, we shall be discussing some applications of linear equations in two variables in solving simple problems from different areas.

HISTORICAL FACTS

Diophentus, the last genius of Alexandria and the best algebraic mathematician of the Greeko Roman Era, has made a unique contribution in the development of Algebra and history of mathematics. He was born in the 3rd century and lived for 84 years. Regarding his age it has been told in a VINODIKA of Greek collections. "He spent onesixth of his life in childhood, his beared grew after one twelfth more, after another one-seventh he married, five years later his son was born, the son lived to half the father's age, and Diophentus died four years after his son."
i.e.  Class X, Mathematics, NCERT, CBSE, Question and Answer, Q and A, Important
He was known as the father of Algebra. Arithimetica is his famous book.

RECALL
 (i) equation : 
A statement of equality of two algebraic expressions which involve one or more unknown quantities is known as an equation.
(ii) Linear equation : An equation in which the maximum power of variable is one is called a linear equation.
(iii) Linear equation in One Variable : An equation of the form ax + b = 0. where x is a variable, a,b are real numbers and a ≠ 0 is called a linear equation in one variable.
Any value of the variable that satisfies the given equation is called a solution or root of the equation. Ex. x = 3 is a solution of 3x +2 = 11.
(iv) Linear equation in Two Variables : An equation of the form ax + by + c = 0, where a,b,c are real numbers, a ≠ 0, b ≠ 0 and x, y are variables is called linear equation in two variables.
Any pair of values of x & y which satisfies the equation ax + by + c = 0 is called a root or solution of it. Ex.(x = 1, y = 1) is a solution of 4x – y – 3 = 0.

Remark : A linear equation in two variables have infinite number of solutions.
(v) Graph of a Linear equation in Two Variables : Assume y – x = 2 be a linear equation in two variables. The following table exhibits the abscissa and ordinates of points on the line represented by the equation, y – x = 2

Class X, Mathematics, NCERT, CBSE, Question and Answer, Q and A, Important

Plotting the points (1, 3), (2, 4) and (3, 5) on the graph paper and drawing the line joining them we obtain the graph of the line represented by the given equation as shown in fig.

Class X, Mathematics, NCERT, CBSE, Question and Answer, Q and A, Important

SIMULTANEOUS LINEAR EQUATIONS IN TWO VARIABLES
A pair of linear equations in two variables is said to form a system of simultaneous linear equations.
General Form : a1x + b1y + c1 = 0
and a2 x + b2 y + c2 = 0 
where a1,a2,b1,b2,c1 and c2 are real numbers;  Introduction - Pair of Linear Equations in Two Variables, CBSE, Class 10, Mathematics  and  x, y are variables.

Ex. Each of the following pairs of linear equations form a system of two simultaneous linear equations in two variables.
(i) x – 2y = 3, 2x + 5y = 5
(ii) 3x + 5y + 7 = 0, 5x + 2y + 9 = 0

SOLUTION OF THE SYSTEM OF eqUATIONS
Consider the system of simultaneous linear equations : a1x + b1y + c1 = 0 and a2 x + b2 y + c2 = 0 
A pair of values of the variables x and y satisfying each one of the equations in a given system of two simultaneous linear equations in x and y is called a solution of the system.
Ex. x = 2, y = 3 is a solution of the system of simultaneous linear equations.
2x + y = 7, 3x + 2y = 12
The given equations are 2x + y = 7 ........(i)
3x + 2y = 12 .......(ii)
Put x = 2, y = 3 in LHS of equation (i), we get
LHS = 2 × 2 + 3 = 7 = RHS
Put x = 2, y = 3 in LHS of equation (ii), we get
LHS = 3 × 2 + 2 × 3 = 12 = RHS
The value x = 2, y = 3 satisfy both equations (i) and (ii).
Hence x = 2, y = 3 is a solution of the given system.

Introduction - Pair of Linear Equations in Two Variables, CBSE, Class 10, Mathematics
Introduction - Pair of Linear Equations in Two Variables, CBSE, Class 10, Mathematics

Introduction - Pair of Linear Equations in Two Variables, CBSE, Class 10, Mathematics
Introduction - Pair of Linear Equations in Two Variables, CBSE, Class 10, Mathematics

Remark : An equation involving two variables cannot give value of both the variables. For values of both the variables we require two equations. Similarly for three variables we require three equations and so on, i.e. to find n variables we need n equations.

HOMOGENEOUS SYSTEM OF EQUATIONS
A system of simultaneous equations is said to be homogenous, if all of the constant terms are zero.
General Form : a1x + b1y + c1 = 0 and a2 x + b2 y + c2 = 0 
Homogeneous equation of the form ax + by = 0 is a line passing through the origin.
Therefore, the system is always consistent.
Class X, Mathematics, NCERT, CBSE, Question and Answer, Q and A, Important

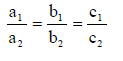
Ex.1 On comparing the ratios Class X, Mathematics, NCERT, CBSE, Question and Answer, Q and A, Important,find out whether the following points of linear equations are consistent or inconsistent.
(i) 3x + 2y = 5, 2x – 3y = 7

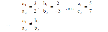
(ii) 2x – 3y = 8, 4x – 6y = 9
Sol. (i) We have, 3x + 2y = 5 ⇒ 3x + 2y – 5 = 0 and 2x – 3y = 7 ⇒ 2x – 3y – 7 = 0

Class X, Mathematics, NCERT, CBSE, Question and Answer, Q and A, Important

Therefore, the given pair of linear equations is consistent.

(ii) We have, 2x – 3y = 8 ⇒ 2x – 3y – 8 = 0 and 4x – 6y = 9 ⇒4x – 6y – 9 = 0

Class X, Mathematics, NCERT, CBSE, Question and Answer, Q and A, Important

Therefore, the given pair of linear equations is inconsistent.

Ex.2 For what value of k, the system of equations x + 2y = 5, 3x + ky + 15 = 0 has
 (i) a unique solution (ii) No solution?
 Sol. 
We have,x + 2y = 5 ⇒ x + 2y – 5 = 0 and 3x + ky + 15 = 0.

Class X, Mathematics, NCERT, CBSE, Question and Answer, Q and A, Important

Hence, for all real values of k except 6, the given system of equations will have a unique solution.

Class X, Mathematics, NCERT, CBSE, Question and Answer, Q and A, Important

Hence the given system of equations will have no solution when k = 6.

Ex.3 Find the value of k for which the system of equations 4x + 5y = 0, kx + 10y = 0 has infinitely many solutions.
 Sol.
The given system is of the form a1x + b1y = 0, a2x + b2y = 0
a1= 4, a2 = k, b1 = 5, b2 = 10
a1/a2 =b1/b , the system has infinitely many solutions.
4/k = 5 /10 ⇒ k = 8

Ex.4 Find the value of a and b for which the given system of equations has an infinite number of solutions :
 2x + 3y = 7 ; (a + b + 1) x + (a + 2b + 2)y = 4 (a + b) + 1
 Sol.
We have 2x + 3y = 7 ⇒ 2x + 3y – 7 = 0
and (a + b + 1) x + (a + 2b + 2)y = 4 (a + b) + 1

⇒ (a + b + 1) x + (a + 2b + 2)y – {4 (a + b) + 1} = 0
The required condition for an infinite number of solutions is  Class X, Mathematics, NCERT, CBSE, Question and Answer, Q and A, Important

Introduction - Pair of Linear Equations in Two Variables, CBSE, Class 10, Mathematics
Introduction - Pair of Linear Equations in Two Variables, CBSE, Class 10, Mathematics

Put a = 3 in (i), we get 3 – b = 1 ⇒ b = 2

Hence, the given system of equations will have infinite number of solutions when a = 3 and b = 2.

GRAPHICAL METHOD OF SOLVING A SYSTEM OF SIMULTANEOUS LINEAR EQUATIONS
To solve a system of two linear equations graphically,
(i) Draw graph of the first equation.
(ii) On the same pair of axes, draw graph of the second equation.
(iii) (a) If the two lines intersect at a point, read the coordinates of the point of intersection to obtain the solution and verify your answer.
(b) If the two lines are parallel, there is no point of intersection, write the system as inconsistent. Hence, no solution
(c) If the two lines have the same graph, then write the system as consistent with infinite number of solutions.

Ex.5 Which of the following pairs of linear equations are consistent/inconsistent? If consistent, obtain the solution graphically.
 (i) x + 2y – 3 = 0, 4x + 3y = 2 (ii) 3x + y = 1, 2y = 2 – 6x (iii) 2x – y = 2, 2y – 4x = 2

Class X, Mathematics, NCERT, CBSE, Question and Answer, Q and A, Important

Class X, Mathematics, NCERT, CBSE, Question and Answer, Q and A, Important

the graph, we see that the two lines intersect at a point (–1,2).
So the solution of the pair of linear equations is x = – 1, y = 2
i.e., the given pair of equations is consistent.

Class X, Mathematics, NCERT, CBSE, Question and Answer, Q and A, Important

Class X, Mathematics, NCERT, CBSE, Question and Answer, Q and A, Important

The two equations have the same graph. Thus system is consistent with infinite number of solutions, i.e. the system is dependent.

Class X, Mathematics, NCERT, CBSE, Question and Answer, Q and A, Important

Class X, Mathematics, NCERT, CBSE, Question and Answer, Q and A, Important

The graph of the system consists of two parallel lines. Thus, the system is inconsistent. It has no solution.

COMPETITION WINDOW
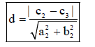
 DISTANCE BETWEEN TWO PARALLEL LINES

Introduction - Pair of Linear Equations in Two Variables, CBSE, Class 10, Mathematics
Introduction - Pair of Linear Equations in Two Variables, CBSE, Class 10, Mathematics
Introduction - Pair of Linear Equations in Two Variables, CBSE, Class 10, Mathematics
Introduction - Pair of Linear Equations in Two Variables, CBSE, Class 10, Mathematics
Introduction - Pair of Linear Equations in Two Variables, CBSE, Class 10, Mathematics
Introduction - Pair of Linear Equations in Two Variables, CBSE, Class 10, Mathematics

Clearly in equation (ii) and (iii), coefficients of x and y are same but the constant term is different in both the equations.
The perpendicular distance (d) between the two lines can be calculated by using the following formula :

Class X, Mathematics, NCERT, CBSE, Question and Answer, Q and A, Important

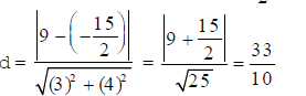
e.g, The distance between the parallel lines 3x – 4y + 9 = 0 and 6x – 8y – 15 = 0 can be calculated as follows:
3x – 4y + 9 = 0 ...(i),

6x – 8y – 15 = 0 or 3x – 4y – 15/2 = 0 ...(ii)

Required perpendicular distance,

Class X, Mathematics, NCERT, CBSE, Question and Answer, Q and A, Important

The document Introduction - Pair of Linear Equations in Two Variables, CBSE, Class 10, Mathematics is a part of Class 10 category.
All you need of Class 10 at this link: Class 10

FAQs on Introduction - Pair of Linear Equations in Two Variables, CBSE, Class 10, Mathematics

1. What is a pair of linear equations in two variables?
Ans. A pair of linear equations in two variables is a set of two equations that involve two variables and the highest power of both variables is 1. These equations can be represented in the form of Ax + By = C, where A, B, and C are constants.
2. How can we solve a pair of linear equations in two variables?
Ans. There are various methods to solve a pair of linear equations in two variables, such as substitution method, elimination method, and graphical method. In the substitution method, we solve one equation for one variable and substitute it into the other equation. In the elimination method, we eliminate one variable by adding or subtracting the equations. In the graphical method, we plot the equations on a graph and find the point of intersection.
3. Can a pair of linear equations have more than one solution?
Ans. Yes, a pair of linear equations can have more than one solution. If the two equations represent the same line, they have infinitely many solutions. If the two equations represent parallel lines, they have no common solution. If the two equations represent intersecting lines, they have a unique solution.
4. How can we determine the solution of a pair of linear equations graphically?
Ans. To determine the solution of a pair of linear equations graphically, we plot the two lines on a graph. The point of intersection of the two lines represents the solution of the equations. If the lines are parallel, they do not intersect and hence have no common solution. If the lines coincide, they intersect at every point and have infinitely many solutions.
5. What is the importance of solving a pair of linear equations in two variables?
Ans. Solving a pair of linear equations in two variables is important in various real-life situations. It helps in finding the value of unknown quantities, determining the point of intersection of two lines, solving optimization problems, and analyzing the relationship between different variables. It is widely used in fields such as physics, engineering, economics, and finance.
Download as PDF

Top Courses for Class 10

Related Searches

video lectures

,

MCQs

,

Semester Notes

,

Mathematics

,

Important questions

,

past year papers

,

Viva Questions

,

Exam

,

Class 10

,

CBSE

,

Introduction - Pair of Linear Equations in Two Variables

,

Mathematics

,

study material

,

Free

,

Objective type Questions

,

Summary

,

Introduction - Pair of Linear Equations in Two Variables

,

pdf

,

CBSE

,

CBSE

,

Class 10

,

Introduction - Pair of Linear Equations in Two Variables

,

mock tests for examination

,

Mathematics

,

Extra Questions

,

shortcuts and tricks

,

Previous Year Questions with Solutions

,

practice quizzes

,

Sample Paper

,

Class 10

,

ppt

;