Class 10 Exam  >  Class 10 Notes  >  Collinearity of Three Points, Section Formula and Areas of Triangles, Class 10, Science

Collinearity of Three Points, Section Formula and Areas of Triangles, Class 10, Science PDF Download

COLLINEARITY OF THREE POINTS

Let A, B and C three given points. Point A, B and C will be collinear, if the sum of lengths of any two linesegments is equal to the length of the third line-segment.

In the adjoining fig. there are three point A, B and C.

Three points A, B and C are collinear if and only if
(i) AB + BC = AC
or (ii) AB + AC = BC
or (iii) AC + BC = AB

SECTION FORMULA

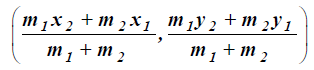
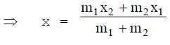
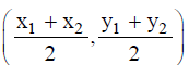
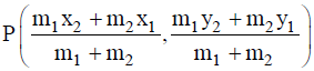
Coordinates of the point, dividing the line-segment joining the points (x1, y1 ) and (x2, y2) internally in the ratio m1 : m2 are given by

Coordinate Geometry, class X, NCERT CBSE, Question and Answers, Q and A, Important, with solutions, Mathematics

Proof. Let P (x, y) be the point dividing the line-segment joining A (x1, y1 ) and B (x2, y2) internally in the ratio
m1 : m2. We draw the perpendiculars AL, BM and PQ on the x-axis from the points A, B and P respectively.
L, M and Q are the points on the x-axis where these perpendiculars meet the x-axis.

We draw AC ⊥ PQ and PD ⊥  BM. Here AC || x-axis and PD || x-axis.

Coordinate Geometry, class X, NCERT CBSE, Question and Answers, Q and A, Important, with solutions, Mathematics

Coordinate Geometry, class X, NCERT CBSE, Question and Answers, Q and A, Important, with solutions, Mathematics

Collinearity of Three Points, Section Formula and Areas of Triangles, Class 10, Science

Collinearity of Three Points, Section Formula and Areas of Triangles, Class 10, Science

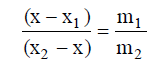
AC = LQ = OQ – OL = (x - x1)
PD = QM = OM – OQ = (x2 – x)
Putting in (1), we get

Coordinate Geometry, class X, NCERT CBSE, Question and Answers, Q and A, Important, with solutions, Mathematics

Coordinate Geometry, class X, NCERT CBSE, Question and Answers, Q and A, Important, with solutions, Mathematics m2x – m2x1 = m1x2 – m1x
Coordinate Geometry, class X, NCERT CBSE, Question and Answers, Q and A, Important, with solutions, Mathematics m1x + m2x = m1x2 + m2x ⇒ (m1 + m2)x = m1x2 + m2x1

Coordinate Geometry, class X, NCERT CBSE, Question and Answers, Q and A, Important, with solutions, Mathematics

Now, PC = PQ – CQ = PQ – AL = (y – y1)
BD = BM – DM = BM – PQ = (y2 – y)

Putting in (2), we get

Coordinate Geometry, class X, NCERT CBSE, Question and Answers, Q and A, Important, with solutions, Mathematics

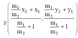
Therefore, the coordinates of the point P are

Coordinate Geometry, class X, NCERT CBSE, Question and Answers, Q and A, Important, with solutions, Mathematics

Remark : To remember the section formula, the diagram given below is helpful:

Coordinate Geometry, class X, NCERT CBSE, Question and Answers, Q and A, Important, with solutions, Mathematics

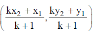
Point Dividing a Line Segment in the Ratio k : 1 

if Coordinate Geometry, class X, NCERT CBSE, Question and Answers, Q and A, Important, with solutions, Mathematics :divides the line-segment, joining A (x1, y1) and B (x2, y2) internally in the ratio m1 : m2 we can express it as below :

Coordinate Geometry, class X, NCERT CBSE, Question and Answers, Q and A, Important, with solutions, Mathematics {By dividing the numerator and the denominator by m2]

Putting Coordinate Geometry, class X, NCERT CBSE, Question and Answers, Q and A, Important, with solutions, Mathematics the ratio becomes k : 1 and the coordinates of P are expressed in the form

Coordinate Geometry, class X, NCERT CBSE, Question and Answers, Q and A, Important, with solutions, Mathematics

Therefore, the coordinates of the point P, which divides the line-segment joining A (x1, y1) and B (x2, y2) internally in the ratio k : 1, are given by 

Coordinate Geometry, class X, NCERT CBSE, Question and Answers, Q and A, Important, with solutions, Mathematics

Mid-point Formula : Coordinates of the mid-point of the line-segment joining (x1, y1) and (x2, y2) are  Coordinate Geometry, class X, NCERT CBSE, Question and Answers, Q and A, Important, with solutions, Mathematics The mid-point M (x, y) of the line-segment joining A (x1, y1) and B(x2, y2) divides the line-segment AB in the ratio 1 : 1. Putting m1 = m2 = 1 in the section formula, we get the coordinates of the mid-point asCoordinate Geometry, class X, NCERT CBSE, Question and Answers, Q and A, Important, with solutions, Mathematics

Collinearity of three points :


Three given points A(x1, y1), B(x2, y2), C(x3, y3) are said to be collinear if one of them must divide the line segment joining the other two points in the same ratio.

Coordinate Geometry, class X, NCERT CBSE, Question and Answers, Q and A, Important, with solutions, Mathematics

Remark : Three points are called non-collinear if one of them divides the line segment joining the other two points in different ratios

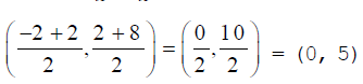
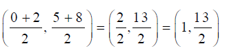
Ex.5 Find the co-ordinates of the points which divide the line segment joining A(–2, 2) and B(2, 8) into four equal parts.

Coordinate Geometry, class X, NCERT CBSE, Question and Answers, Q and A, Important, with solutions, Mathematics  

It is given that AB is divided into four equal parts : AP = PQ = QR = RB

Q is the mid-point of AB, then co-ordinates of Q are : Coordinate Geometry, class X, NCERT CBSE, Question and Answers, Q and A, Important, with solutions, Mathematics

P is the mid-point of AQ, then co-ordinates of P are:Coordinate Geometry, class X, NCERT CBSE, Question and Answers, Q and A, Important, with solutions, Mathematics

Also, R is the mid-point of QB, then co-ordinates of R are: Coordinate Geometry, class X, NCERT CBSE, Question and Answers, Q and A, Important, with solutions, Mathematics

Hence, required co-ordinates of the points are:

Coordinate Geometry, class X, NCERT CBSE, Question and Answers, Q and A, Important, with solutions, Mathematics

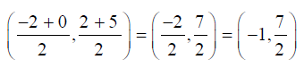
Ex.6  If the point C(–1,2) divides the lines segment AB in the ratio 3 : 4, where the co-ordinates of A are (2, 5), find the coordinates of B.
 Sol.
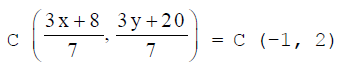
Let C (–1, 2) divides the line joining A (2, 5) and B (x, y) in the ratio 3 : 4. Then,

Coordinate Geometry, class X, NCERT CBSE, Question and Answers, Q and A, Important, with solutions, Mathematics

Coordinate Geometry, class X, NCERT CBSE, Question and Answers, Q and A, Important, with solutions, Mathematics

The coordinates of B are : B (–5, – 2)

Ex.6 Find the ratio in which the line segment joining the points (1, – 7) and (6, 4) is divided by x-axis.
Sol. Let C (x, 0) divides AB in the ratio k : 1.
By section formula, the coordinates of C are given by :

Coordinate Geometry, class X, NCERT CBSE, Question and Answers, Q and A, Important, with solutions, Mathematics

But C (x, 0) = Coordinate Geometry, class X, NCERT CBSE, Question and Answers, Q and A, Important, with solutions, Mathematics

Coordinate Geometry, class X, NCERT CBSE, Question and Answers, Q and A, Important, with solutions, Mathematics

Coordinate Geometry, class X, NCERT CBSE, Question and Answers, Q and A, Important, with solutions, Mathematics

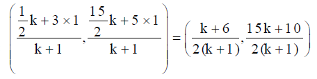
Ex.7  Find the value of m for which coordinates (3,5), (m,6) and Coordinate Geometry, class X, NCERT CBSE, Question and Answers, Q and A, Important, with solutions, Mathematicsare collinear

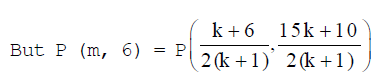
Sol. Let P (m, 6) divides the line segment AB joining A (3,5), BCoordinate Geometry, class X, NCERT CBSE, Question and Answers, Q and A, Important, with solutions, Mathematicsin the ratio k : 1.

Coordinate Geometry, class X, NCERT CBSE, Question and Answers, Q and A, Important, with solutions, Mathematics

Applying section formula, we get the co-ordinates of P :

Coordinate Geometry, class X, NCERT CBSE, Question and Answers, Q and A, Important, with solutions, Mathematics

Coordinate Geometry, class X, NCERT CBSE, Question and Answers, Q and A, Important, with solutions, Mathematics

Coordinate Geometry, class X, NCERT CBSE, Question and Answers, Q and A, Important, with solutions, Mathematics

Coordinate Geometry, class X, NCERT CBSE, Question and Answers, Q and A, Important, with solutions, Mathematics

Coordinate Geometry, class X, NCERT CBSE, Question and Answers, Q and A, Important, with solutions, Mathematics 15k + 10 = 12(k + 1)
Coordinate Geometry, class X, NCERT CBSE, Question and Answers, Q and A, Important, with solutions, Mathematics15k + 10 = 12k + 12

Coordinate Geometry, class X, NCERT CBSE, Question and Answers, Q and A, Important, with solutions, Mathematics 15k – 12k = 12 – 10  
Coordinate Geometry, class X, NCERT CBSE, Question and Answers, Q and A, Important, with solutions, Mathematics 3k = 2
Coordinate Geometry, class X, NCERT CBSE, Question and Answers, Q and A, Important, with solutions, MathematicsCoordinate Geometry, class X, NCERT CBSE, Question and Answers, Q and A, Important, with solutions, Mathematics

Coordinate Geometry, class X, NCERT CBSE, Question and Answers, Q and A, Important, with solutions, Mathematics

Ex.8 The two opposite vertices of a square are (–1, 2) and (3, 2). Find the co-ordinates of the other two vertices.
 Sol.
Let ABCD be a square and two opposite vertices of it are A(–1, 2) and C(3, 2). ABCD is a square.
Coordinate Geometry, class X, NCERT CBSE, Question and Answers, Q and A, Important, with solutions, Mathematics AB = BC
Coordinate Geometry, class X, NCERT CBSE, Question and Answers, Q and A, Important, with solutions, Mathematics AB2 = BC2
Coordinate Geometry, class X, NCERT CBSE, Question and Answers, Q and A, Important, with solutions, Mathematics (x + 1)2 + (y – 2)2 = (x – 3)2 + (y – 2)2
Coordinate Geometry, class X, NCERT CBSE, Question and Answers, Q and A, Important, with solutions, Mathematics x2 + 2x + 1 = x2 – 6x + 9
Coordinate Geometry, class X, NCERT CBSE, Question and Answers, Q and A, Important, with solutions, Mathematics 2x + 6x = 9 – 1 = 8
Coordinate Geometry, class X, NCERT CBSE, Question and Answers, Q and A, Important, with solutions, Mathematics 8x = 8 Coordinate Geometry, class X, NCERT CBSE, Question and Answers, Q and A, Important, with solutions, Mathematicsx = 1
ABC is right Δ at B, then
AC2 = AB2+ BC2(Pythagoras theorem)

Coordinate Geometry, class X, NCERT CBSE, Question and Answers, Q and A, Important, with solutions, Mathematics(3 + 1)2 + (2 – 2)2 = (x + 1)2 + (y – 2)2 + (x – 3)2 + (y – 2)2

Coordinate Geometry, class X, NCERT CBSE, Question and Answers, Q and A, Important, with solutions, Mathematics16 = 2(y – 2)2 + (1 + 1)2 + (1 – 3)2

Coordinate Geometry, class X, NCERT CBSE, Question and Answers, Q and A, Important, with solutions, Mathematics16 = 2(y – 2)2 + 4 + 4 Coordinate Geometry, class X, NCERT CBSE, Question and Answers, Q and A, Important, with solutions, Mathematics2(y – 2)2 = 16 – 8 = 8

Coordinate Geometry, class X, NCERT CBSE, Question and Answers, Q and A, Important, with solutions, Mathematics(y – 2)2 = 4 Coordinate Geometry, class X, NCERT CBSE, Question and Answers, Q and A, Important, with solutions, Mathematics y – 2 = Coordinate Geometry, class X, NCERT CBSE, Question and Answers, Q and A, Important, with solutions, Mathematics 2 Coordinate Geometry, class X, NCERT CBSE, Question and Answers, Q and A, Important, with solutions, Mathematics y = 4 and 0

i.e. when x = 1 then y = 4 and 0
Co-ordinates of the opposite vertices are : B(1, 0) or D(1, 4)

Coordinate Geometry, class X, NCERT CBSE, Question and Answers, Q and A, Important, with solutions, Mathematics

AREA OF A TRIANGLE

In your previous classes, you have learnt to find the area of a triangle in terms of its base and corresponding altitude as below:

Coordinate Geometry, class X, NCERT CBSE, Question and Answers, Q and A, Important, with solutions, Mathematics

In case, we know the lengths of the three sides of a triangle, then the area of the triangle can be obtained by using the Heron's formula. In this section, we will find the area of a triangle when the coordinates of its three vertices are given. The lengths of the three sides can be obtained by using distance formula but we will not prefer the use of Heron's formula.

Some times, the lengths of the sides are obtained as irrational numbers and the application of Heron's formula becomes tedious. Let us develop some easier way to find the area of a triangle when the coordinates of its vertices are given.
Let A(x1, y1), B(x2, y2) and C(x3, y3) be the given three points. Through A draw AQ ⊥OX, through B draw

BP ⊥ OX and through C draw CR ⊥ OX.

From the fig. AQ = y1, BP = y2 and CR = y3, OP = x2, OQ = x1 and OR = x3

Coordinate Geometry, class X, NCERT CBSE, Question and Answers, Q and A, Important, with solutions, MathematicsPQ = X1 X2 ; QR = X3 – X1 and PR = X3–-X2

Collinearity of Three Points, Section Formula and Areas of Triangles, Class 10, Science
Collinearity of Three Points, Section Formula and Areas of Triangles, Class 10, Science
Collinearity of Three Points, Section Formula and Areas of Triangles, Class 10, Science

Coordinate Geometry, class X, NCERT CBSE, Question and Answers, Q and A, Important, with solutions, Mathematics

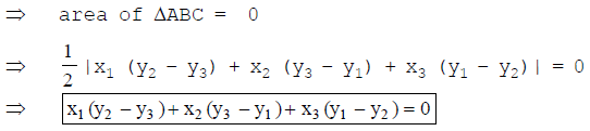
Condition of collinearity of three points :
The given points A(x1, y1), B(x2, y2) and C(x3, y3) will be collinear if the area of the triangle formed by them must be zero because triangle can not be formed.

Coordinate Geometry, class X, NCERT CBSE, Question and Answers, Q and A, Important, with solutions, Mathematics

is the required condition for three points to be collinear.

Ex.9 The co-ordinates of the vertices of ΔABC are A(4, 1), B(–3, 2) and C(0, k). Given that the area of ΔABC is 12 unit2. Find the value of k.
Sol. Area of ΔABC formed by the given-points A(4, 1), B(–3, 2) and C(0, k) is

Coordinate Geometry, class X, NCERT CBSE, Question and Answers, Q and A, Important, with solutions, Mathematics

But area of ΔABC = 12 unit2 ............ (given)

Collinearity of Three Points, Section Formula and Areas of Triangles, Class 10, Science
Collinearity of Three Points, Section Formula and Areas of Triangles, Class 10, Science
Collinearity of Three Points, Section Formula and Areas of Triangles, Class 10, Science  

Coordinate Geometry, class X, NCERT CBSE, Question and Answers, Q and A, Important, with solutions, Mathematics  

Ex.10  Find the value of p for which the points (–1, 3), (2, p), (5, –1) are collinear.
Sol. The given points A (–1, 3), B (2, p), C (5, – 1) are collinear.

Coordinate Geometry, class X, NCERT CBSE, Question and Answers, Q and A, Important, with solutions, Mathematics Area ΔABC formed by these points should be zero.
Coordinate Geometry, class X, NCERT CBSE, Question and Answers, Q and A, Important, with solutions, Mathematics The area of ΔABC = 0

Coordinate Geometry, class X, NCERT CBSE, Question and Answers, Q and A, Important, with solutions, Mathematics

Hence the value of p is 1.

The document Collinearity of Three Points, Section Formula and Areas of Triangles, Class 10, Science is a part of Class 10 category.
All you need of Class 10 at this link: Class 10

FAQs on Collinearity of Three Points, Section Formula and Areas of Triangles, Class 10, Science

1. What is collinearity of three points?
Ans. Collinearity of three points refers to the property where three points lie on the same straight line. In other words, if three points A, B, and C are collinear, then the line segment AB added to the line segment BC will result in a straight line.
2. What is the section formula?
Ans. The section formula is a mathematical formula used to find the coordinates of a point that divides a line segment joining two given points in a given ratio. It helps in determining the coordinates of the point which divides the line segment into two parts in a specific ratio.
3. How can we find the area of a triangle using the coordinates of its vertices?
Ans. To find the area of a triangle using the coordinates of its vertices, we can use the shoelace formula. The shoelace formula involves assigning coordinates to the vertices of the triangle and then using a specific formula to calculate the area based on these coordinates.
4. Can three collinear points form a triangle?
Ans. No, three collinear points cannot form a triangle. For a set of points to form a triangle, they must not lie on the same straight line. Since collinear points already lie on the same line, it is not possible for them to form a triangle.
5. How can we determine if three points are collinear?
Ans. To determine if three points are collinear, we can use the slope formula. If the slopes of the lines formed by connecting the three points are equal, then the points are collinear. Alternatively, we can also calculate the area of the triangle formed by the three points. If the area is zero, then the points are collinear.
Download as PDF

Top Courses for Class 10

Related Searches

Section Formula and Areas of Triangles

,

Class 10

,

past year papers

,

Objective type Questions

,

Science

,

Viva Questions

,

Collinearity of Three Points

,

practice quizzes

,

pdf

,

Section Formula and Areas of Triangles

,

study material

,

mock tests for examination

,

Semester Notes

,

MCQs

,

Collinearity of Three Points

,

Exam

,

Section Formula and Areas of Triangles

,

Science

,

video lectures

,

Free

,

Science

,

Sample Paper

,

Collinearity of Three Points

,

Extra Questions

,

Important questions

,

ppt

,

Summary

,

Class 10

,

shortcuts and tricks

,

Previous Year Questions with Solutions

,

Class 10

;