Class 10 Exam  >  Class 10 Notes  >  Mean - Statistics, CBSE, Class 10, Mathematics

Mean - Statistics, CBSE, Class 10, Mathematics PDF Download

INTRODUCTION

In class IX, we have studied about the presentation of given data in the form of ungrouped as well as grouped frequency distributions. We have also studied how to represent the statistical data in the form of various graphs such as bar graphs, histograms and frequency polygons. In addition, we have studied the measure of central tendencies such as mean, median and mode of ungrouped data.

In this chapter, we shall discuss about mean, median and mode of grouped data. We shall also discuss the concept of cumulative frequency, cumulative frequency distribution and cumulative frequency curve (ogive).

MEAN OF UNGROUPED DATA

We know that the mean of observations is the sum of the values of all the observations divided by the total number of observations i.e., Class X, Mathematics, CBSE, NCERT, Syllabus, Question and Answer, Q and A, with Solutions are n observations, then
mean, Class X, Mathematics, CBSE, NCERT, Syllabus, Question and Answer, Q and A, with Solutions

 or  Class X, Mathematics, CBSE, NCERT, Syllabus, Question and Answer, Q and A, with Solutions  denotes the sum Class X, Mathematics, CBSE, NCERT, Syllabus, Question and Answer, Q and A, with Solutions

The arithmetic mean of grouped data may also be calculated by any one of the following methods :
1. Direct method

2. Short-cut method or Assumed-mean method

3.Step-deviation method.

MEAN OF GROUPED DATA

DIRECT METHOD

Class X, Mathematics, CBSE, NCERT, Syllabus, Question and Answer, Q and A, with Solutions are observations with respective frequencies Class X, Mathematics, CBSE, NCERT, Syllabus, Question and Answer, Q and A, with Solutions then mean, Class X, Mathematics, CBSE, NCERT, Syllabus, Question and Answer, Q and A, with Solutions defined by

Class X, Mathematics, CBSE, NCERT, Syllabus, Question and Answer, Q and A, with Solutions 

or

 Class X, Mathematics, CBSE, NCERT, Syllabus, Question and Answer, Q and A, with Solutions

To find mean of grouped Data

The following steps should be followed in finding the arithmetic mean of grouped data by direct method.

STEP - 1 :Find the class mark (xi) of each class using, Class X, Mathematics, CBSE, NCERT, Syllabus, Question and Answer, Q and A, with Solutions

STEP - 2 : Calculate fixi for each i

STEP - 3 : Use the Formula : mean,  Class X, Mathematics, CBSE, NCERT, Syllabus, Question and Answer, Q and A, with Solutions

SHORTCUT METHOD OR ASSUMED MEAN METHOD

In this case, to calculate the mean, we follow the following steps :

STEP-1 :Find the class mark xi of each class using


Class X, Mathematics, CBSE, NCERT, Syllabus, Question and Answer, Q and A, with Solutions

STEP-2 :Choose a suitable value of xi in the middle as the assumed mean and denote it by 'a'.

STEP-3 :Find di = xi – a for each i

STEP-4 :Find fi × di for each i

STEP-5 :Find  Class X, Mathematics, CBSE, NCERT, Syllabus, Question and Answer, Q and A, with Solutions fi

STEP-6 :Calculate the mean, (x) by using the formula Class X, Mathematics, CBSE, NCERT, Syllabus, Question and Answer, Q and A, with Solutions

 

STEP-DEVIATION METHOD
Sometimes, the values of x and f are so large that the calculation of mean by assumed mean method becomes quite inconvenient. In this case, we follow the following steps:

STEP-1 :Find the class mark xi of each class by using Class X, Mathematics, CBSE, NCERT, Syllabus, Question and Answer, Q and A, with Solutions

STEP-2 :Choose a suitable values of xi in the middle as the assumed mean and denote it by 'a'.

STEP-3 :Find h = (upper limit –lower limit) for each class.

STEP-4 :Find Class X, Mathematics, CBSE, NCERT, Syllabus, Question and Answer, Q and A, with Solutions for each class.

STEP-5 :Find fiui for each i.

STEP-6 :Calculate, the mean by using the formula Class X, Mathematics, CBSE, NCERT, Syllabus, Question and Answer, Q and A, with Solutions


Ex.1 Find the mean of the following data :
Class X, Mathematics, CBSE, NCERT, Syllabus, Question and Answer, Q and A, with Solutions


Sol. We may prepare the table as given below :
Class X, Mathematics, CBSE, NCERT, Syllabus, Question and Answer, Q and A, with Solutions

Class X, Mathematics, CBSE, NCERT, Syllabus, Question and Answer, Q and A, with Solutions

Ex.2 The following distribution shows the daily pocket allowance of children of a locality. The mean pocket allowance is Rs. 18. Find the missing frequency f. Mean - Statistics, CBSE, Class 10, Mathematics

Sol. We may prepare the table as given below :
Class X, Mathematics, CBSE, NCERT, Syllabus, Question and Answer, Q and A, with Solutions

Mean - Statistics, CBSE, Class 10, Mathematics

Mean - Statistics, CBSE, Class 10, Mathematics =  2f = 40 ⇒ f = 20


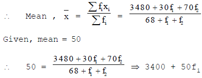
Ex.3 Find the missing frequencies f1 and f2 in the table given below, it is being given that the mean of the given frequency distribution is 50.

Class X, Mathematics, CBSE, NCERT, Syllabus, Question and Answer, Q and A, with Solutions

Sol. We may prepare the table as given below :
Class X, Mathematics, CBSE, NCERT, Syllabus, Question and Answer, Q and A, with Solutions

Class X, Mathematics, CBSE, NCERT, Syllabus, Question and Answer, Q and A, with Solutions+ 50f2 = 3480 + 30f1 + 70f2

Class X, Mathematics, CBSE, NCERT, Syllabus, Question and Answer, Q and A, with Solutions

Hence, the missing frequencies f1 and f2 are 28 and 24 respectively.


Ex.4 The following table gives the marks scored by 100 students in a class test :
Class X, Mathematics, CBSE, NCERT, Syllabus, Question and Answer, Q and A, with Solutions

Find the mean marks scored by a student in class test.

Sol. We may prepare the table with assumed mean, a = 35 as given below :

Class X, Mathematics, CBSE, NCERT, Syllabus, Question and Answer, Q and A, with Solutions

Class X, Mathematics, CBSE, NCERT, Syllabus, Question and Answer, Q and A, with Solutions

 

Ex.5 Thirty women were examined in a hospital by a doctor and the number of heart beats per minute, were recorded and summarised as follows. Find the mean heart beats per minute for these women, by using assumed mean method.

Mean - Statistics, CBSE, Class 10, Mathematics

Sol. We may prepare the table with assumed mean, a = 75.5 as given below :

Mean - Statistics, CBSE, Class 10, Mathematics

Class X, Mathematics, CBSE, NCERT, Syllabus, Question and Answer, Q and A, with Solutions

 

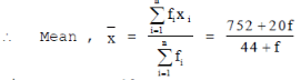
Ex.6 Find the mean of the following distribution by step-deviation method :

Class X, Mathematics, CBSE, NCERT, Syllabus, Question and Answer, Q and A, with Solutions

Sol. We may prepare the table with assumed mean a = 120 and h = 20 as given below :

Class X, Mathematics, CBSE, NCERT, Syllabus, Question and Answer, Q and A, with Solutions

Class X, Mathematics, CBSE, NCERT, Syllabus, Question and Answer, Q and A, with SolutionsClass X, Mathematics, CBSE, NCERT, Syllabus, Question and Answer, Q and A, with Solutions

 

Ex.7 Find the mean marks from the following data :

Class X, Mathematics, CBSE, NCERT, Syllabus, Question and Answer, Q and A, with Solutions

Sol. We may prepare the table as given below :

Class X, Mathematics, CBSE, NCERT, Syllabus, Question and Answer, Q and A, with Solutions

Class X, Mathematics, CBSE, NCERT, Syllabus, Question and Answer, Q and A, with Solutions

 

Ex.8 Find the mean marks of students from the adjoining frequency distribution table.

Class X, Mathematics, CBSE, NCERT, Syllabus, Question and Answer, Q and A, with Solutions

Sol. We may prepare the table as given below :

Class X, Mathematics, CBSE, NCERT, Syllabus, Question and Answer, Q and A, with Solutions Class X, Mathematics, CBSE, NCERT, Syllabus, Question and Answer, Q and A, with Solutions

 

Ex.9 Find the arithmetic mean of the following frequency distribution.

Mean - Statistics, CBSE, Class 10, Mathematics

Sol. The given series is in inclusive form. We may prepare the table in exclusive form with assumed mean a = 42 as given below :

Class X, Mathematics, CBSE, NCERT, Syllabus, Question and Answer, Q and A, with Solutions

Class X, Mathematics, CBSE, NCERT, Syllabus, Question and Answer, Q and A, with Solutions

Class X, Mathematics, CBSE, NCERT, Syllabus, Question and Answer, Q and A, with Solutions

The document Mean - Statistics, CBSE, Class 10, Mathematics is a part of Class 10 category.
All you need of Class 10 at this link: Class 10

FAQs on Mean - Statistics, CBSE, Class 10, Mathematics

1. What is the definition of mean in statistics?
Ans. Mean, also known as average, is a measure of central tendency in statistics. It is calculated by summing up all the values in a dataset and then dividing the sum by the total number of values.
2. How is the mean calculated in statistics?
Ans. To calculate the mean, you need to add up all the values in a dataset and then divide the sum by the total number of values. For example, if you have a dataset {2, 4, 6, 8, 10}, the mean would be (2+4+6+8+10)/5 = 6.
3. What is the purpose of calculating the mean in statistics?
Ans. Calculating the mean helps in finding the average value of a dataset. It provides a single value that represents the central tendency of the data. Mean is commonly used in analyzing data, making comparisons, and drawing conclusions.
4. Can the mean be affected by extreme values in a dataset?
Ans. Yes, the mean can be influenced by extreme values in a dataset. If there are outliers or extreme values, they can significantly affect the mean value. It is important to consider the presence of outliers and their impact on the mean when interpreting the results.
5. How does the mean differ from the median and mode in statistics?
Ans. While mean represents the average value, median is the middle value in a dataset when arranged in ascending or descending order. Mode, on the other hand, is the value that appears most frequently in a dataset. Mean is sensitive to extreme values, whereas median and mode are not affected by outliers.
Download as PDF

Top Courses for Class 10

Related Searches

Class 10

,

MCQs

,

past year papers

,

practice quizzes

,

Mathematics

,

study material

,

ppt

,

pdf

,

shortcuts and tricks

,

Extra Questions

,

Semester Notes

,

Exam

,

CBSE

,

Class 10

,

Important questions

,

Viva Questions

,

mock tests for examination

,

Previous Year Questions with Solutions

,

CBSE

,

Summary

,

Class 10

,

CBSE

,

Mean - Statistics

,

Mathematics

,

Sample Paper

,

Objective type Questions

,

Mathematics

,

Mean - Statistics

,

Mean - Statistics

,

Free

,

video lectures

;